Онлайн книга «Ваш ребенок и его успех»
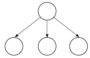
![]() После того как ребенок четко определил цель, поговорите с ним о результатах ее достижения, о тех событиях, к которым приведет осуществление его желания. Ребенок должен учиться осознавать последствия своих поступков . Пусть ваш подопечный подумает над следующими вопросами. • Что произойдет, если он достигнет этой цели? • Что он приобретет, что потеряет? • Как это может повлиять на его будущее? • Это важно только для него или есть еще люди, которым это тоже важно? • Как они могут помочь или помешать добиться этой цели?Дальше наступает один из самых важных моментов – составление плана действий. Тут уместным будет вспомнить мудрое изречение: «Чтобы двигаться вперед, нужно иногда посмотреть назад». Помогите ребенку найти в его прошлом те шаги, которые могут стать основой для его действий в настоящем или будущем . Для составления детального плана можно использовать хорошо зарекомендовавший себя метод «дерево целей». Ценность его в том, что он дает возможность разложить любую цель пошагово на конкретные задачи. Ничего сложного в нем нет; как и все гениальное, метод прост в применении, а эффект от него весьма и весьма значителен. Рассмотрим его на следующем примере. Допустим, ваш ребенок определил свою цель: «Хочу стать суперменом». Обозначьте ее так: ![]() Теперь определите те задачи, которые необходимо выполнить для достижения этой цели. В нашем случае это может звучать так: «Пошить костюм. Стать физически выносливым. Помогать людям». У вас получится следующая картинка:
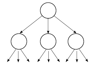
Для выполнения каждой из этих задач необходимо предпринять какие-то определенные шаги. Для подготовки костюма надо: 1) нарисовать его; 2) покопаться в бабушкином сундуке; 3) купить материал. Для физического развития необходимо: 1) делать зарядку; 2) закаляться; 3) записаться в секцию карате. Для реализации пункта «помощь людям» можно: 1) дома выносить мусор; 2) покупать хлеб бабушке-соседке; 3) помочь по математике Маше Ивановой. Ваше дерево разрастается и уже имеет вот такой вид (см. рис. на стр. 221). ![]() Дерево целей имеет массу очевидных достоинств. Наряду с наглядностью и простотой важно и то, что ребенок учится записывать свои цели на бумаге. Как показывают исследования, одно из них проводил профессор из Алабамы Гарднер МакКолум (G. McCollum) еще в 1986 году (!), наиболее успешными в жизни оказываются люди, которые записывают свои цели. Для пущей наглядности приведу цифры из этого исследования: 84 % опрошенных студентов вообще не имели каких-либо четких целей в жизни, 13 % эти цели имели, но не доверяли их бумаге, и только 3 % студентов не просто имели четкое представление, в каком направлении они хотят двигаться, но и записывали свои цели и желания. Как я уже сказала, удача была на стороне этих 3 %. Через десять лет после окончания университета они зарабатывали в среднем в десять раз больше, чем все остальные 97 % отвечавших! Согласитесь, цифры впечатляют. Так что, может, вместе с ребенком и вы начнете рисовать свое дерево целей? ☺ Поверьте, хуже не будет.... Этот же метод, но немного в другом варианте, предлагают подросткам американские специалисты. Для этого они активно используют школьный дневник. Например, в дневнике для восьмиклассников (о нем я уже неоднократно писала, этот удивительный документ моя дочь получила в школе штата Миннесота) в приложении, где рассказывается о 30 чертах характера, отмечается, что мотивированный человек имеет цель на каждую неделю, каждый год, на всю жизнь. Утверждается, что такой человек каждый день делает маленькие шаги к достижению своей глобальной цели. Исходя из этого тезиса, авторы дневника на каждой страничке, где начинается новая неделя, отводят специальное место, на котором школьник может записать «Мои цели на эту неделю». Для того чтобы подросток мог лучше разобраться в себе, ему предлагается честно ответить на следующие вопросы: «Есть ли у меня четкие цели? Заканчиваю ли я дела, которые начал, без напоминания со стороны других? Пытаюсь ли я решать проблему самостоятельно, перед тем как просить помощи у других? Учусь ли я на своих ошибках?» Каждый раз, просматривая этот дневник, я мысленно снимаю шляпу перед его составителями. Конечно же, мы все понимаем, что 100 % школьников не бросятся отвечать на эти вопросы. Более того, далеко не все будут записывать свои цели. Но зерно брошено – глаза увидели информацию, мозг усвоил, а ростки… они зависят от многих факторов и у каждого в жизни всходят в свое время. А теперь давайте подведем итоги. Постановка цели. Шаг за шагом. 1. Старт. «Чего ты хочешь достичь?» Цель должна быть достигаемой, измеряемой и соотносящейся с предыдущим опытом. ![]() 2. Измерение. «Где ты сейчас находишься и какой твой следующий шаг?» Для того чтобы поставить реалистичную цель, ребенок должен осознавать свои способности в данной области, как в прошлом, так и в настоящем. Цель не должна быть завышенной или заниженной. 3. План. «Как ты достигнешь своей цели?» Поощряйте ребенка думать на протяжении всего процесса постановки цели. Ребенок должен сам определить те важные источники, которые помогут ему достичь цели. Предложите ребенку визуализировать (нарисовать) весь процесс постановки цели – от начала до конца. 4. Написание. «Как твоя цель выглядит на бумаге?» Ребенок коротко и четко записывает цель, начиная предложение со слова «я». 5. Время. «Сколько времени тебе необходимо для достижения цели?» Обучение процессу целеполагания лучше начинать с близлежащих целей, которые могут быть достигнуты быстро. Это вселяет в ребенка веру в себя. 6. Действовать. «Каким образом ты поймешь, что цель достигнута?» Единственный путь достичь цели – действовать. Поощряйте ребенка перечитывать время от времени записи о его цели и визуализировать себя, достигающего ее. Постоянно отмечайте прогресс. 7. Оценка. «Как ты оцениваешь свои действия? Как продвигается процесс достижения цели?» Ребенку, который достиг цели, предложите проанализировать результаты своего труда. Пусть он обязательно похвалит себя, а также поблагодарит тех, кто ему помогал. Ребенку, который не достиг поставленной цели, предложите проанализировать причины неудачи. Пусть он подумает над тем, что он должен сделать по-другому, чтобы достичь своей цели в следующий раз. |
![Иллюстрация к книге — Ваш ребенок и его успех [autogen_ebook_id45.jpg] Иллюстрация к книге — Ваш ребенок и его успех [autogen_ebook_id45.jpg]](img/book_covers/076/76483/autogen_ebook_id45.jpg)
![Иллюстрация к книге — Ваш ребенок и его успех [autogen_ebook_id46.jpg] Иллюстрация к книге — Ваш ребенок и его успех [autogen_ebook_id46.jpg]](img/book_covers/076/76483/autogen_ebook_id46.jpg)
![Иллюстрация к книге — Ваш ребенок и его успех [autogen_ebook_id47.jpg] Иллюстрация к книге — Ваш ребенок и его успех [autogen_ebook_id47.jpg]](img/book_covers/076/76483/autogen_ebook_id47.jpg)
![Иллюстрация к книге — Ваш ребенок и его успех [autogen_ebook_id48.jpg] Иллюстрация к книге — Ваш ребенок и его успех [autogen_ebook_id48.jpg]](img/book_covers/076/76483/autogen_ebook_id48.jpg)
![Иллюстрация к книге — Ваш ребенок и его успех [autogen_ebook_id49.jpg] Иллюстрация к книге — Ваш ребенок и его успех [autogen_ebook_id49.jpg]](img/book_covers/076/76483/autogen_ebook_id49.jpg)