Книга Суперобъекты. Звезды размером с город, страница 12 – Сергей Попов

Авторы: А Б В Г Д Е Ж З И Й К Л М Н О П Р С Т У Ф Х Ч Ш Ы Э Ю Я
Книги: А Б В Г Д Е Ж З И Й К Л М Н О П Р С Т У Ф Х Ц Ч Ш Щ Ы Э Ю Я
Бесплатная онлайн библиотека LoveRead.ec

Онлайн книга «Суперобъекты. Звезды размером с город»

📃 Cтраница 12

Поле будет потихоньку пробираться наружу. Согласно расчетам, это может занять несколько тысяч или десятков тысяч лет (в зависимости от того, каким было поле и сколько вещества выпало на поверхность). То есть антимагнитары должны исчезнуть, превратившись во что-то другое. Пока неясно, могут ли они потом включиться как радиопульсары или магнитары. Ответ в конечном счете должны дать наблюдения.

Тепловая эволюция

Нейтронные звезды рождаются горячими и начинают остывать. Первые расчеты этого процесса появились еще до открытия самих компактных объектов. Наверное, просто потому, что с этим связаны сложные и интересные физические явления

В процессе образования компактного объекта рождается огромное количество нейтрино. Пока идет коллапс, нейтрино могут покидать быстро сжимающееся ядро звезды. Но потом там станет слишком тесно и жарко. Первую минуту своего существования протонейтронная звезда непрозрачна для нейтрино. Она постепенно сжимается, начиная с размера в пару сотен километров, испуская нейтрино с поверхности, пока при возрасте несколько десятков секунд не достигнет своего окончательного радиуса и не станет прозрачной для этих частиц. Вот теперь можно считать, что нейтронная звезда окончательно родилась!

Пока компактный объект очень молод, главным процессом в тепловой истории является остывание. У нейтронной звезды оно происходит довольно причудливым образом, и все благодаря нейтрино. Предметы вокруг нас остывают снаружи (мы постоянно сталкиваемся с этим во время еды, например, беря печеную картошку из углей). А нейтронные звезды остывают изнутри. Нейтрино очень эффективно уносят энергию, а возникают они с большим темпом при высокой плотности вещества. Поэтому поток тепла направлен внутрь, а не наружу. Недра более холодные. По звезде наружу как бы бежит волна охлаждения. Эта стадия продолжается несколько десятков лет, пока температура внутри нейтронной звезды не выравнивается.

Итак, недра становятся изотермичными, но тут надо сделать два замечания. Во-первых, изотермичность не распространяется на самые внешние слои – кору. А наблюдаем-то мы именно их! Пока регистрация нейтрино из недр остывающих нейтронных звезд остается далеко за пределами наших технических возможностей (мы можем лишь регистрировать нейтринную вспышку при коллапсе, что однажды удалось сделать, когда в 1987 году наблюдалась сверхновая в Большом Магеллановом облаке). Поверхность типичной нейтронной звезды гораздо холоднее ядра. Например, если внутри может быть под миллиард градусов, то снаружи будет всего лишь около миллиона. Связано это с тем, что во внешних слоях есть относительно тонкая прослойка, работающая как прекрасный теплоизолятор.

Второе замечание связано с эффектом Общей теории относительности. Температура выравнивается благодаря теплообмену. Но вспомним о гравитационном красном смещении: сигнал, распространяющийся из области с большой гравитацией в область с меньшей будет покрасневшим (в том числе меньшей будет энергия каждого отдельного фотона). Из-за этого внутренние части будут горячее, но поток тепла не возникает, так как внешние слои воспринимают внутренние «покрасневшими», т. е. более холодными, чем они есть.

Нейтронная звезда может остывать за счет излучения фотонов с поверхности или нейтрино из недр. Продолжим наш разговор о нейтрино. Они могут рождаться в нескольких процессах взаимодействия элементарных частиц. Самым главным из них является так называемый прямой урка-процесс. Своим названием он обязан Георгию Гамову (с Гамовом вообще связано много мифологических событий, как и многие другие легенды, история урка-процесса описана в его книге «Моя мировая линия»). Будучи в Бразилии, он со своим коллегой Марио Шёнбергом посетил казино Urca. Обсуждая проблему уноса энергии при взрывах сверхновых, Шёнберг заметил Гамову, что в процессе превращения нейтрона в протон и электрон, а затем обратного превращения протона с электроном в нейтрон энергия уносится нейтрино так же быстро, как исчезают деньги в казино. Гамов решил назвать процесс в честь казино, что стало его очередной красивой шуткой. Правда, на всякий случай (если бы придрались редакторы; нас, скажем, один раз в академическом журнале попросили или убрать термин «урка», или расшифровать аббревиатуру) Гамов даже придумал расшифровку: unrecordable cooling agent. Но она не понадобилась и не стала популярной.

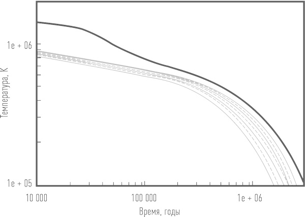
Иллюстрация к книге — Суперобъекты. Звезды размером с город [i_015.jpg]

Остывание нейтронных звезд разной массы. Более легкие нейтронные звезды остывают медленнее. Рисунок основан на расчетах исследовательской группы из ФТИ им. Иоффе. Благодарю Петра Штернина и Дмитрия Яковлева за предоставленные данные.


Такой процесс, если речь идет об отдельных протонах и нейтронах, запускается только при достаточно высокой плотности (при участии ядер, например натрия и неона, процесс может запускаться и в белых карликах). Даже такие экстремалы, как нейтронные звезды, не всегда могут его себе позволить. Только в достаточно массивных объектах охлаждение происходит за счет прямого урка-процесса, да и то лишь в центральных областях. Правда, и этого достаточно. Если хотя бы несколько тысячных массы Солнца в центре компактного объекта охвачено прямым урка-процессом, то энергия теряется очень быстро. Кстати, если в плотных недрах нейтроны и протоны превращаются в другие частицы, то в большинстве случаев существуют аналоги прямого урка-процесса. Так что массивные компактные объекты должны остывать довольно быстро, даже если нейтронов в центре нет, а вместо них появились другие частицы.

Что же делать более худосочным? Для них природа придумала модифицированный урка-процесс. (Здесь уместно отметить остроумие сотрудников ФТИ им. Иоффе, которые не только являются одной из самых сильных научных групп в мире по изучению физики недр нейтронных звезд, но еще ввели в научный обиход – зарубежные коллеги, возможно, ничего не подозревают – наименования DURCA и MURCA для прямого (direct) и модифицированного процесса). В нем участвует лишняя частица, поэтому он не столь эффективен. Зато всегда работает.

Кроме урка-процесса нейтрино могут рождаться в результате взаимодействия частиц без превращений (например, при рассеянии частиц друг на друге). Плюс – есть еще одна экзотическая возможность.

Недра нейтронных звезд сверхтекучи. И это несмотря на температуру в сотни миллионов градусов! Просто плотность настолько высока, что даже при столь высокой температуре вещество считается холодным. То есть тепловая энергия частиц несущественна для их основных взаимодействий. Чтобы протоны или нейтроны стали сверхтекучими, необходимо, чтобы они образовывали пары – из фермионов (частиц с полуцелым спином, как у протонов и нейтронов) получаются бозоны (частицы с целым спином). На тепловую эволюцию это влияет двумя способами. Во-первых, наличие сверхтекучести подавляет прямой урка-процесс. Таким образом, сверхтекучесть помогает сохранить тепло. Однако пары могут рождаться и разрушаться. А при этом испускаются нейтрино. Так что, во-вторых, сверхтекучесть запускает новый канал остывания. Правда, более слабый.

Тепловая эволюция зависит от свойств недр: состава, плотности и т. д. Поэтому изучение зависимости температуры от возраста нейтронных звезд помогает продвинуться в понимании устройства их недр. Кроме того, измерение температуры дает независимую оценку возраста, если мы доверяем расчетам остывания. Как правило, им можно верить при возрастах от сотен до сотен тысяч лет при условии, что звезда довольно горячая (не запустился прямой урка-процесс) и не было дополнительного подогрева.

Вход
Поиск по сайту
Ищем:
Календарь