Книга Квантовая вселенная. Как устроено то, что мы не можем увидеть, страница 65 – Брайан Кокс, Джефф Форшоу

Авторы: А Б В Г Д Е Ж З И Й К Л М Н О П Р С Т У Ф Х Ч Ш Ы Э Ю Я
Книги: А Б В Г Д Е Ж З И Й К Л М Н О П Р С Т У Ф Х Ц Ч Ш Щ Ы Э Ю Я
Бесплатная онлайн библиотека LoveRead.ec

Онлайн книга «Квантовая вселенная. Как устроено то, что мы не можем увидеть»

📃 Cтраница 65

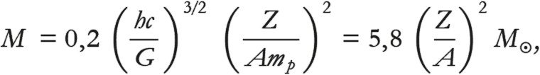
Если бы мы более тщательно вычисляли импульс электрона и выкатили бы на сцену высшую математику для подсчета отсутствующих цифр (опять же легкая задача для персонального компьютера), можно было бы сделать точное предсказание максимальной массы белого карлика. Она равна:

Иллюстрация к книге — Квантовая вселенная. Как устроено то, что мы не можем увидеть [i_090.jpg]

где мы выражаем множество физических констант через массу нашего Солнца (M). Заметьте, кстати, что весь дополнительный тяжкий труд, от которого мы отказались, дает в результате всего лишь константу пропорциональности со значением 0,2. Это уравнение и выражает вожделенный предел Чандрасекара: 1,4 солнечной массы, если Z / A = ½.

Итак, наше путешествие подошло к концу. Расчеты в эпилоге имели более высокий математический уровень, чем во всей остальной книге, но это, на наш взгляд, одно из самых наглядных доказательств всей мощи современной физики. Это не просто какая-то «полезная вещь» – это один из величайших триумфов человеческого разума. Мы использовали теорию относительности, квантовую механику и последовательные математические рассуждения для точного вычисления максимального размера материального шара, который с помощью принципа Паули может противостоять гравитации. Значит, наука права: квантовая механика, какой бы странной она ни казалась, – это теория для описания реального мира. И на этом месте стоит поставить точку.

Для дальнейшего чтения

При подготовке этой книги мы использовали многие другие работы, и некоторые из них заслуживают особого упоминания и рекомендаций.

Два основных источника по истории квантовой механики – это две великолепные книги Абрахама Пайса: Inward Bound («Связанные изнутри») и Subtle Is the Lord… («Господь изощрен»). Обе они носят довольно технический характер, но по историческим подробностям им нет равных.

Книга Ричарда Фейнмана QED: «КЭД – странная теория света и вещества» [62] написана на том же уровне изложения, что и наша, и в наибольшей степени, как можно понять из названия, сосредоточена на теории квантовой электродинамики. Читать ее одно удовольствие, как и большинство работ Фейнмана.

Для тех, кто интересуется более подробным описанием, на наш взгляд, лучшей книгой по основам квантовой механики все еще остается книга Поля Дирака «Принципы квантовой механики» [63]. Для овладения излагаемым в ней материалом потребуется высокий уровень математической подготовки.

Мы хотели бы порекомендовать и два доступных онлайн лекционных курса, которые можно найти в iTunes University: курс Леонарда Сасскинда Modern Physics: The Theoretical Minimum – Quantum Mechanics («Современная физика: Теоретический минимум – квантовая механика») и более продвинутый курс Джеймса Бинни из Оксфордского университета «Квантовая механика». Приличной математической базы требуют оба курса.

Вход
Поиск по сайту
Ищем:
Календарь