Книга Жизнь замечательных веществ, страница 65 – Аркадий Курамшин

Авторы: А Б В Г Д Е Ж З И Й К Л М Н О П Р С Т У Ф Х Ч Ш Ы Э Ю Я
Книги: А Б В Г Д Е Ж З И Й К Л М Н О П Р С Т У Ф Х Ц Ч Ш Щ Ы Э Ю Я
Бесплатная онлайн библиотека LoveRead.ec

Онлайн книга «Жизнь замечательных веществ»

📃 Cтраница 65
Иллюстрация к книге — Жизнь замечательных веществ [i_372.jpg]

С точки зрения химии этот вещество не имеет никакого отношения к альдегидам – в нем есть сложноэфирная и эпоксидная функциональные группы, при этом и прилагательное «земляничный» тоже оказывается совершенно не в тему – ни из ягод лесной, ни из ягод садовой земляники это вещество не было выделено, возможно, оно там вообще не содержится, а название определяется только земляничным запахом.

Гиппопопотная кислота
Иллюстрация к книге — Жизнь замечательных веществ [i_373.jpg]

Гиппосудоровая кислота представляет собой ярко-красное вещество с отвратительным запахом, выделенное из пота гиппопотама. Его название на русский язык действительно можно перевести как «гиппопопотная» – она происходит от слов hippo – гиппопотам и sudor (пот – по латыни), поэтому ее действительно можно назвать «кислота из пота бегемота», или «гиппопопотная кислота».

Иллюстрация к книге — Жизнь замечательных веществ [i_374.jpg]

Гиппосудоровая кислота поглощает ультрафиолет, поэтому бегемотам не нужно бегать в косметические лавки за мазью для загара, также она проявляет и бактерицидные свойства. Красный цвет гиппосудоровой кислоты послужил основой формирования мифа о том, что бегемоты потеют кровью.

Иллюстрация к книге — Жизнь замечательных веществ [i_375.jpg]

Большую часть кленового сиропа получают из сока сахарного клена (Acer saccharum), при этом около 80 % кленового сиропа производят в провинции Квебек, поэтому вполне естественно, что когда из сиропа было выделено ранее неизвестное соединение – полифенол со спиртовой группой, это соединение получило название «квебекол» (систематическое название – 2,3,3-три-(3-метокси-4-гидроксифенил)-1-пропанол).

Квебекол
Иллюстрация к книге — Жизнь замечательных веществ [i_376.jpg]

Полный синтез квебекола был осуществлен в 2013 году. Предполагается, что в самом кленовом соке его нет и он образуется в процессе переработки сока в кленовый сироп. В 2014 году на встрече американского химического общества было сделано сообщение о том, что квебекол, как и некоторые другие полифенолы кленового сиропа, обладают противовоспалительной и антиоксидантной активностью.

Иллюстрация к книге — Жизнь замечательных веществ [i_377.jpg]
Мегатомная кислота

Молекула не имеет ничего общего ни с мегатоннами и ядерными взрывами, ни мегаатомами, она даже не может превратить обычного человека в мегагероя. Такое меганазвание кислота заслужила в честь жука – коврового кожееда (Attagenus megatoma), который приноровился использовать эту кислоту в качестве полового аттрактанта. Номенклатурное название этого вещества – (3E,5Z)-3,5– тетрадекановая кислота.

Иллюстрация к книге — Жизнь замечательных веществ [i_378.jpg]
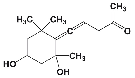
Кетон кузнечика

Возможно, в данном случае народ просто решил не утруждаться и не выдумывать ничего лишнего. Кетон кузнечика выделен из защитных секреторных выделений нелетающего кузнечика Romalea microptera.

Иллюстрация к книге — Жизнь замечательных веществ [i_379.jpg]

Возможно, после долгой полевой работы, ловли кузнечиков, «дойки» их и сбору секреторных выделений химики были настолько утомлены, что на построение номенклатурного названия (а оно звучит так: 5-(2,4-дигидрокси-2,6,6-триметилциклогексилиден)пент-4-ен-2-он) у них просто не осталось ни сил, ни мотивации, после чего, особо не заморачиваясь, они назвали это вещество «кетоном кузнечика».

Иллюстрация к книге — Жизнь замечательных веществ [i_380.jpg]
Берберин
Иллюстрация к книге — Жизнь замечательных веществ [i_381.jpg]

Берберин – алкалоид катионного ряда, который был впервые выделен в 1917 году из желтокорня канадского (Hydrastis canadensis), североамериканского растения. Это соединение локализуется в корнях, стеблях и коры многих растений, включая барбарис (растущий по всему миру), желтокорень (растущий в юго-западных штатах США) и амурское пробковое дерево. Обычно берберин существует в форме соли-хлорида, однако в 1969 году был получен йодид.

Иллюстрация к книге — Жизнь замечательных веществ [i_382.jpg]

Интенсивная жёлтая окраска берберина и его способность к флуоресценции позволяли использовать его в качестве красителя в период становления текстильной промышленности (в Индии им до сих пор красят шерсть), также его применяют в гистологии для введения флуоресцентных меток.

Самым широким примером использования берберина, однако, является его применение в качестве растительной добавки к пище. Он обладает противомикробной и противовоспалительной активостью, исследовался в качестве препарата для лечения диабетов, рака, гиперлипидемии, сердечно-сосудистых заболеваний и даже ВИЧ. Клинические испытания показывают, что берберин в общем безопасен, однако может взаимодействовать с рядом лекарств, прописываемых беременным и кормящим.

Дракулин
Иллюстрация к книге — Жизнь замечательных веществ [i_383.jpg]

Дракулин (вещество названо, естественно, в честь графа Дракулы) – гликопротеид (соединение, в котором содержатся белковая цепь из остатков аминокислот и углеводный фрагмент), который содержится в слюне летучих мышей – вампиров. Он состоит из 411 остатков аминокислот и весит около 88 500 Дальтон (атомных единиц массы). Дракулин работает как антикоагулянт, ингибируя факторы свертываемости крови, тем самым не давая крови укушенной жертвы свернуться, пока довольный вампир питается.


В течение периода в четверо суток (между периодами питания) слюна вампира постепенно понижает свою антикоагуляционную активность, хотя за это время не наблюдается значительного понижения содержания белка в слюне. Через четверо суток (независимо от того, поел вампир или нет) способность его слюны препятствовать свертыванию крови возрастает. Исследования показывают, что образцы чистого дракулина, выделенного из слюны с высокой и низкой активностью различаются строение углеводного фрагмента, именно который и определяет способность белка к свертыванию крови.

Вход
Поиск по сайту
Ищем:
Календарь