Онлайн книга «Жизнь замечательных веществ»
|
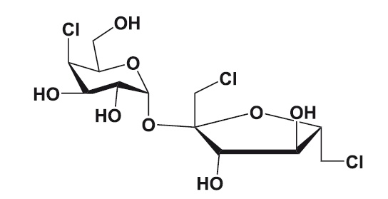
Свою роль случайности сыграли и при разработке химических процессов, связанных с фотографией. К 1835 году француз Луи Дагер разработал такое светочувствительное устройство, как покрытая серебром и обработанная парами йода медная пластина. Дагер подверг пластинку действию света и положил её на шкаф, а когда через некоторое время он вернулся к ней, на пластинке проявилось изображение. Расследование показало, что в шкафу лежал разбитый ртутный термометр, и пары ртути проявили изображение. ![]() В 1837 году Дагер запатентовал фотографическую систему, получившую название «дагеротип», для получения изображения с помощью которой необходимо было подвергнуть металлическую пластинку воздействию света, обработать пластинку парами ртути и закрепить его соленой водой. Метод Дагера, ставший началом современной фотографии, был небезопасен для здоровья, долог и трудоемок, но по тем временам дагеротипы были прорывом в области создания изображений. Благодаря счастливой случайности был открыт и состав нержавеющей стали. Примерно в 1910 году британский металлург Гарри Брирли (Harry Brearley) пытался создать новый сплав для ружейных стволов, способный выдержать стрельбу патронами большей мощности, однако каждый из образцов полученных сплавов проваливал тесты, не обладая достаточной прочностью, и Брирли свалил все неудачные образцы в сыром углу своей лаборатории, где те лежали и ржавели. ![]() В один прекрасный день, глядя на плоды своих неудачных экспериментов, Брирли с удивлением обнаружил, что один образец так и не был тронут ржавчиной. Металлург взял этот кусок сплава и проанализировал его – это был первый образец нержавеющей стали. Обратив конфузию в викторию, Брирли, не получивший господдержки на производство оружейной стали, быстро сориентировался и скооперировался с производителем посуды, получив подряд на изготовление материала для столовых приборов. В наши дни мы настолько привыкли к столовым приборам из нержавейки, что даже не можем оценить, каких огромных усилий и какого везения стоило Брирли его изобретение. Хотя к концу ХIХ века химия накопила достаточное количество теорий и обобщений, чтобы посматривать на своего предка – алхимию – с легким пренебрежением и чувством собственного превосходства, случайные открытия не прекратились, а можно даже сказать, что участились. Так, до целенаправленной разработки и открытия компанией NutraSweet подсластителя неотама (Е-961) в 2002 году каждый из подсластителей-заменителей сахара находили неожиданно – если кто-то случайно пробовал на вкус какое-то вещество. ![]() Неотам Очевидно, что первооткрывателем первого сахарозаменителя был какой-то римский винодел, обнаруживший сладкий вкус белых кристаллов, образующихся в результате воздействия на свинец уксуса. Однако первый в истории сахарозаменитель – ацетат свинца или свинцовый сахар – сыграл дурную роль для Рима: римляне не знали о токсичности и тератогенности соединений свинца (собственно говоря, они не имели и понятия о том, что такое «тератогенность»), и помимо социальных процессов Рим подкосила в том числе и практика сластить вино свинцовым сахаром, вызывавшая хронические отравления свинцом. ![]() Сахарин Практика обнаружения подсластителей «на вкус» была продолжена в 19 веке Константином Фальбергом, тогда работавшим в лаборатории Айры Ремзена. После долгого дня, проведенного в лаборатории над синтезом производных толуола, Фальберг отправился обедать, не помыв руки. ![]() Взяв хлеб этими самыми немытыми руками, Фальберг обнаружил, что этот хлеб необычно сладок на вкус, и связал это с остатками вещества на своих руках. Вместе с Ремзеном Фальберг очистил сладкое вещество, которым были загрязнены его руки, и написал статью «Об окислении орто-толуолсульфонимида». Спустя несколько лет Фальберг оптимизировал условия синтеза, запатентовал его и начал промышленное производство сахарина, уже не включив Ремзена в соавторы и патентообладатели. Именно с того момента началась история сахарина, который известен ещё и тем, что это первый продукт, продававшийся компанией «Монсанто». ![]() Синтез сахарина по Ремзену – Фальбергу ![]() Аспартам Спустя почти столетие почти по такому же сценарию произошло открытие очередного сахарозаменителя – аспартама, сделанное Джеймсом Шлаттером. ![]() В процессе синтеза гормона гастрина содержимое колбы с метанольным раствором аспартама пролилось Шлаттеру на руки, однако он как ни в чем не бывало продолжил работу. Чуть позже ему потребовался кусочек бумаги. Чтобы подхватить кусочек бумаги, Шлаттер облизнул пальцы и почувствовал сладкий вкус. Первая мысль Шлаттера была о том, что ему на руки попал сахар, однако он быстро сообразил, что дело в аспартаме. ![]() Сукралоза Ну и совсем уже анекдотический случай произошел при обнаружении сукралозы. Аспирант Шашикант Пхандис (Shashikant Phadnis) получил хлорированную сахарозу в рамках проекта по разработке новых пестицидов, и его научный руководитель Лесли Хью (Leslie Hough) дал ему задание протестировать препарат (test), однако шотландский акцент Хью и неродной для Пхандиса английский привели к тому, что аспирант понял, что шеф требует от него попробовать новое вещество на вкус (taste), что он тут же и сделал, сунув небольшую порцию порошка прямо в рот, и сообщил шефу о сладком вкусе. На следующее утро, убедившись в том, что за ночь с аспирантом ничего не случилось, Хью и сам добавил сукралозу в кофе. Вообще химики ничуть не отстают от врачей-подвижников, которые, чтобы доказать безопасность и эффективность вакцинации, в первую очередь делали прививки от смертельных болезней. Даже в ХХ веке, спустя полтора столетия после смерти Шееле, описавшего вкус синильной кислоты, находились люди, испытывавшие результаты своих экспериментов на себе. |
![Иллюстрация к книге — Жизнь замечательных веществ [i_013.jpg] Иллюстрация к книге — Жизнь замечательных веществ [i_013.jpg]](img/book_covers/076/76393/i_013.jpg)
![Иллюстрация к книге — Жизнь замечательных веществ [i_014.jpg] Иллюстрация к книге — Жизнь замечательных веществ [i_014.jpg]](img/book_covers/076/76393/i_014.jpg)
![Иллюстрация к книге — Жизнь замечательных веществ [i_015.jpg] Иллюстрация к книге — Жизнь замечательных веществ [i_015.jpg]](img/book_covers/076/76393/i_015.jpg)
![Иллюстрация к книге — Жизнь замечательных веществ [i_016.jpg] Иллюстрация к книге — Жизнь замечательных веществ [i_016.jpg]](img/book_covers/076/76393/i_016.jpg)
![Иллюстрация к книге — Жизнь замечательных веществ [i_017.jpg] Иллюстрация к книге — Жизнь замечательных веществ [i_017.jpg]](img/book_covers/076/76393/i_017.jpg)
![Иллюстрация к книге — Жизнь замечательных веществ [i_018.jpg] Иллюстрация к книге — Жизнь замечательных веществ [i_018.jpg]](img/book_covers/076/76393/i_018.jpg)
![Иллюстрация к книге — Жизнь замечательных веществ [i_019.jpg] Иллюстрация к книге — Жизнь замечательных веществ [i_019.jpg]](img/book_covers/076/76393/i_019.jpg)
![Иллюстрация к книге — Жизнь замечательных веществ [i_020.jpg] Иллюстрация к книге — Жизнь замечательных веществ [i_020.jpg]](img/book_covers/076/76393/i_020.jpg)
![Иллюстрация к книге — Жизнь замечательных веществ [i_021.jpg] Иллюстрация к книге — Жизнь замечательных веществ [i_021.jpg]](img/book_covers/076/76393/i_021.jpg)