Онлайн книга «Лорд Кельвин. Классическая термодинамика»
|
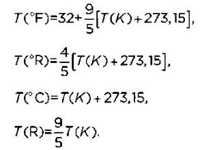
Машина Карно — это идеальная машина, представляющая собой цилиндр, заполненный идеальным газом, который приводит в действие поршень. Машина работает между двумя источниками постоянной температуры. Как видно, она работает между двумя кривыми «давление - объем» для двух различных температур, Т1 > Т2. Эти кривые иллюстрируют закон, который связывает давление (Р), объем (V), число молей (n) и температуру (T) идеального газа: PV = nRT, где R = 8, 314472 м3 Па К-1 моль-1 — константа. Кроме того, чем выше температура газа, тем больше его кинетическая энергия, то есть энергия, вызванная скоростью его молекул. Четыре этапа цикла Карно На первом этапе газ испытывает изотермическое расширение, вступая в контакт с полюсом температуры Т1 (обозначен белой структурой, окружающей поршень); его давление уменьшается с Р1 до Р2, объем увеличивается с V1 до V2 и он приобретает тепло от этого полюса. Однако температура газа не меняется, и его кинетическая энергия остается прежней, а все переданное газу тепло используется для совершения механической работы в поршне (который толкается газом вверх). Следующий этап — это адиабатическое расширение, то есть без теплообмена с внешней средой. Температура газа уменьшается с Т1 до Т2, его объем увеличивается до V3, а давление уменьшается до Р3. Работа поршня осуществляется за счет кинетической энергии газа, которая уменьшилась, поскольку это же произошло с температурой. Третий этап — это изотермическое сжатие. Газ вступает в контакт с источником температуры Т2, его объем уменьшается до V4, давление увеличивается до Р4. Поскольку температура не меняется, то не меняется и кинетическая энергия газа, и работа производится благодаря теплу, переданному газом источнику низкой температуры. Последний этап — это адиабатическое сжатие. Объем газа сокращается, его давление и температура растут до первоначальных значений, и за счет увеличения кинетической энергии осуществляется работа. Машина может работать, извлекая тепло из теплого источника (при этом получается тепловой насос) или из холодного (тогда получается охлаждающая машина). Производительность (то есть частное между произведенной работой и теплом, поглощенным из теплового полюса Т1 машины Карно равна ![]() Формула устанавливает максимальный предел производительности любой тепловой машины, работающей между Т± и Т2. Здесь W— произведенная работа, Q — тепло, переданное от источника тепла газу. ![]() АБСОЛЮТНАЯ ТЕМПЕРАТУРНАЯ ШКАЛА Существовал один вопрос, связанный с опытами Джоуля и теорией Карно, который имел для Томсона большое значение — как теоретическое, так и практическое: измерение температуры и, конкретнее, установление температурной шкалы, основанной на известных физических законах, а не на тепловых свойствах материалов, из которых производили термометры. Точка зрения Томсона отличалась от общепринятой. ТЕМПЕРАТУРНЫЕ ШКАЛЫ Температуру измеряют с помощью термометров — инструментов, в которых используются свойства веществ, способных достаточно сильно менять свою температуру. В 1592 году Галилей сконструировал термоскоп, в котором использовалось свойство воздуха (давящего на столбик воды) сжиматься или расширяться при охлаждении или нагревании. В 1612 году итальянский врач Санкториус Санторио добавил ктермоскопу шкалу. В 1714 году немецкий физик Даниель Габриель Фаренгейт изобрел ртутный термометр. Относительные температурные шкалы присваивают заданные значения двум неподвижным отправным точкам. Фаренгейт воспользовался смесью воды и хлорида аммония и установил О °F и 212 °F для замерзания и кипения смеси. В 1730 году французский физик и энтомолог Рене Антуан Фершо Реомюр изобрел спиртовой термометр со шкалой в 80 градусов: 0°R — для замерзания воды, и 80°R — для ее кипения. ![]() В 1742 году шведский физик и астроном Андерс Цельсий установил шкалу, носящую его имя, назначив 0 и 100 градусов температуре замерзания и кипения чистой воды. Шкала была инвертирована в 1743 году Жаном Кристеном, французским эрудитом, и в 1745 году — Карлом Линнеем, шведским натуралистом. Абсолютные шкалы основаны на единственной точке — абсолютном нуле — и не зависят от свойств веществ. В 1852 году Томсон предложил одну из таких шкал, в которой использовал градус Цельсия. В 1859 году шотландский физик Уильям Джон Макуорн Ранкин предложил абсолютную шкалу, основанную на градусе Фаренгейта. Следующие выражения (они соответствуют шкалам Фаренгейта, Реомюра, Цельсия и Ранкина) связывают эти исторические шкалы со шкалой Кельвина: ![]() Кельвин, единица измерения температуры в Международной системе, определяется как 1/273, 16 части температуры тройной точки воды. В тройной точке вещества одновременно существуют в равновесии при заданном давлении три состояния этого вещества. В случае с водой это происходит при 273, 16 К при парциальном давлении пара в 611, 73 Па. Важность тройной точки — в том, что ее можно установить экспериментально с большей точностью, чем другие, и это облегчает калибровку приборов. С помощью тройных точек различных веществ в 1990 году была установлена международная шкала МТШ-90, позволяющая сравнить измерения температуры, осуществленные в любой лаборатории. В первые годы XVIII века французский физик Гийом Амонтон (1663-1705) понял, что при охлаждении газов при поддержании постоянного давления их объем уменьшается в линейной зависимости от температуры. Это уменьшение температуры не может дойти до предела, в котором объем газа был бы равен нулю, поскольку любая реальная физическая система должна иметь объем. Следовательно, можно сделать вывод о существовании минимальной температуры - абсолютного нуля, ниже которого температура не сможет опуститься. Амонтон с помощью воздушного термометра при постоянном давлении сделал вывод, что абсолютный ноль должен соответствовать примерно 230-240 °С ниже точки таяния льда. Позже проблемой заинтересовались другие исследователи. Швейцарский математик и физик Иоганн Генрих Ламберт ( 1728-1777), пользуясь термометром постоянного объема, получил значение, равное -270, 3 °С. На конгрессе в Кембридже 1845 года Джоуль, основываясь на собственных экспериментах, привел значение минимальной температуры, равное приблизительно 250 °С ниже точки замерзания воды. В 1847 году опубликовал свою оценку и Реньо: -272, 75 °С. |
![Иллюстрация к книге — Лорд Кельвин. Классическая термодинамика [img_33.jpg] Иллюстрация к книге — Лорд Кельвин. Классическая термодинамика [img_33.jpg]](img/book_covers/076/76391/img_33.jpg)
![Иллюстрация к книге — Лорд Кельвин. Классическая термодинамика [img_34.jpg] Иллюстрация к книге — Лорд Кельвин. Классическая термодинамика [img_34.jpg]](img/book_covers/076/76391/img_34.jpg)
![Иллюстрация к книге — Лорд Кельвин. Классическая термодинамика [img_35.jpg] Иллюстрация к книге — Лорд Кельвин. Классическая термодинамика [img_35.jpg]](img/book_covers/076/76391/img_35.jpg)
![Иллюстрация к книге — Лорд Кельвин. Классическая термодинамика [img_36.jpg] Иллюстрация к книге — Лорд Кельвин. Классическая термодинамика [img_36.jpg]](img/book_covers/076/76391/img_36.jpg)