Онлайн книга «Рискуя собственной шкурой. Скрытая асимметрия повседневной жизни»
|
Б. Вероятностная устойчивость и эргодичность
Динамическое принятие риска. Если вы принимаете риск – любой риск – повторно, следует учитывать количество моментов риска на продолжительность жизни: такие риски уменьшают оставшийся срок жизни. Свойства катастрофы. Вероятность катастрофы для отдельного агента лежит в области времени и никак не соотносится с хвостовыми вероятностями пространства состояний (или ансамбля). Ожидания между этими областями не взаимозаменяемы. Таким образом, утверждения о «переоценке» агентами хвостовых событий (включая катастрофу), основанные на оценках пространства состояний, неверны. Многие теории «рациональности» агентов базируются на операторах и/или вероятностных мерах, связанных с ложной оценкой. Это основной аргумент в пользу стратегии штанги. Это особый случай, когда мы путаем случайную переменную – и отдачу, выраженную функцией от времени и пути. В переводе на человеческий язык: никогда не переходите реку, которая в среднем метровой глубины [124]. Упрощенный общий случай
Рассмотрим чрезвычайно упрощенный пример: дана последовательность независимых случайных переменных
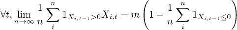
Теперь рассмотрим последовательность
Определим вероятность по времени как эволюцию во времени для отдельного агента i. В присутствии конечной, то есть необратимой катастрофы всякое последующее наблюдение зависит от некоего свойства предыдущего: то, что происходит в момент t, зависит от t – 1, то, что происходит в момент t – 1, зависит от t – 2 и так далее. Мы установили зависимость от пути. Теперь сформулируем исчезновение эргодичности: Теорема 1 (неравенство континуума состояний). Пусть
![]() Доказательство:
где
На деле мы можем доказать и расхождение. ![]() Как можно видеть, если T < ∞, по закону повторных ожиданий мы получаем неравенство для всех Т. |
![Иллюстрация к книге — Рискуя собственной шкурой. Скрытая асимметрия повседневной жизни [i_057.jpg] Иллюстрация к книге — Рискуя собственной шкурой. Скрытая асимметрия повседневной жизни [i_057.jpg]](img/book_covers/076/76284/i_057.jpg)
![Иллюстрация к книге — Рискуя собственной шкурой. Скрытая асимметрия повседневной жизни [i_058.jpg] Иллюстрация к книге — Рискуя собственной шкурой. Скрытая асимметрия повседневной жизни [i_058.jpg]](img/book_covers/076/76284/i_058.jpg)
![Иллюстрация к книге — Рискуя собственной шкурой. Скрытая асимметрия повседневной жизни [i_059.jpg] Иллюстрация к книге — Рискуя собственной шкурой. Скрытая асимметрия повседневной жизни [i_059.jpg]](img/book_covers/076/76284/i_059.jpg)
![Иллюстрация к книге — Рискуя собственной шкурой. Скрытая асимметрия повседневной жизни [i_060.jpg] Иллюстрация к книге — Рискуя собственной шкурой. Скрытая асимметрия повседневной жизни [i_060.jpg]](img/book_covers/076/76284/i_060.jpg)
![Иллюстрация к книге — Рискуя собственной шкурой. Скрытая асимметрия повседневной жизни [i_061.jpg] Иллюстрация к книге — Рискуя собственной шкурой. Скрытая асимметрия повседневной жизни [i_061.jpg]](img/book_covers/076/76284/i_061.jpg)
![Иллюстрация к книге — Рискуя собственной шкурой. Скрытая асимметрия повседневной жизни [i_062.jpg] Иллюстрация к книге — Рискуя собственной шкурой. Скрытая асимметрия повседневной жизни [i_062.jpg]](img/book_covers/076/76284/i_062.jpg)
![Иллюстрация к книге — Рискуя собственной шкурой. Скрытая асимметрия повседневной жизни [i_063.jpg] Иллюстрация к книге — Рискуя собственной шкурой. Скрытая асимметрия повседневной жизни [i_063.jpg]](img/book_covers/076/76284/i_063.jpg)
![Иллюстрация к книге — Рискуя собственной шкурой. Скрытая асимметрия повседневной жизни [i_064.jpg] Иллюстрация к книге — Рискуя собственной шкурой. Скрытая асимметрия повседневной жизни [i_064.jpg]](img/book_covers/076/76284/i_064.jpg)
![Иллюстрация к книге — Рискуя собственной шкурой. Скрытая асимметрия повседневной жизни [i_065.jpg] Иллюстрация к книге — Рискуя собственной шкурой. Скрытая асимметрия повседневной жизни [i_065.jpg]](img/book_covers/076/76284/i_065.jpg)
![Иллюстрация к книге — Рискуя собственной шкурой. Скрытая асимметрия повседневной жизни [i_066.jpg] Иллюстрация к книге — Рискуя собственной шкурой. Скрытая асимметрия повседневной жизни [i_066.jpg]](img/book_covers/076/76284/i_066.jpg)
![Иллюстрация к книге — Рискуя собственной шкурой. Скрытая асимметрия повседневной жизни [i_067.jpg] Иллюстрация к книге — Рискуя собственной шкурой. Скрытая асимметрия повседневной жизни [i_067.jpg]](img/book_covers/076/76284/i_067.jpg)
![Иллюстрация к книге — Рискуя собственной шкурой. Скрытая асимметрия повседневной жизни [i_068.jpg] Иллюстрация к книге — Рискуя собственной шкурой. Скрытая асимметрия повседневной жизни [i_068.jpg]](img/book_covers/076/76284/i_068.jpg)
![Иллюстрация к книге — Рискуя собственной шкурой. Скрытая асимметрия повседневной жизни [i_018.jpg] Иллюстрация к книге — Рискуя собственной шкурой. Скрытая асимметрия повседневной жизни [i_018.jpg]](img/book_covers/076/76284/i_018.jpg)
![Иллюстрация к книге — Рискуя собственной шкурой. Скрытая асимметрия повседневной жизни [i_069.jpg] Иллюстрация к книге — Рискуя собственной шкурой. Скрытая асимметрия повседневной жизни [i_069.jpg]](img/book_covers/076/76284/i_069.jpg)
![Иллюстрация к книге — Рискуя собственной шкурой. Скрытая асимметрия повседневной жизни [i_070.jpg] Иллюстрация к книге — Рискуя собственной шкурой. Скрытая асимметрия повседневной жизни [i_070.jpg]](img/book_covers/076/76284/i_070.jpg)
![Иллюстрация к книге — Рискуя собственной шкурой. Скрытая асимметрия повседневной жизни [i_071.jpg] Иллюстрация к книге — Рискуя собственной шкурой. Скрытая асимметрия повседневной жизни [i_071.jpg]](img/book_covers/076/76284/i_071.jpg)
![Иллюстрация к книге — Рискуя собственной шкурой. Скрытая асимметрия повседневной жизни [i_019.jpg] Иллюстрация к книге — Рискуя собственной шкурой. Скрытая асимметрия повседневной жизни [i_019.jpg]](img/book_covers/076/76284/i_019.jpg)