Онлайн книга «Кому нужна математика? Понятная книга о том, как устроен цифровой мир»
|
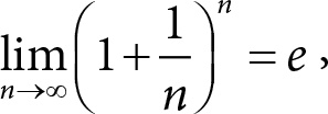
Вспомните один известный замечательный предел ![]() где е – основание натурального логарифма. Интуитивно результат следует из похожего предельного перехода: ![]() Давайте посмотрим, о чем нам говорит эта формула. Если c < 1, то в среднем число вершин, у которых нет ни одного ребра, стремится к бесконечности. В этом случае таких вершин будет очень много, связность сети с большой вероятностью будет потеряна. Если c > 1, то в среднем число вершин, у которых нет ни одного ребра, стремится к нулю. Значит, с большой вероятностью таких вершин не будет и связность сети сохранится. Таким образом, мы видим, откуда появляется фазовый переход! Наконец, если c = 1, то в среднем число вершин, у которых нет ни одного ребра, равно единице. Заметим, что единица – это среднее значение, а в реальности таких вершин может быть 0, 1, 2… Можно доказать, что соответствующее распределение вероятности близко к закону Пуассона с параметром 1: ![]() Соответственно, вероятность того, что таких вершин не будет, то есть связность сети сохранится, равна е–1. Добавим, что это еще не строгое доказательство, потому что мы проанализировали только среднее количество вершин, у которых нет ни одного ребра. Для завершения доказательства нужно еще показать, что в случае c < 1 и c > 1 число вершин без ребер относительно мало отклоняется от среднего значения. Для этого разработаны стандартные методы, в частности, основанные на неравенствах Маркова и Чебышева. Эти неравенства названы в честь замечательных русских математиков, стоявших у истоков теории вероятностей. Назад к Главе 4 Приложение к главе 5
Анализ метода выбора из двух
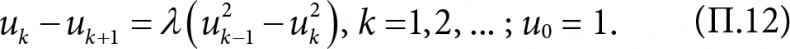
Допустим, у нас n серверов. Заявки (или задания) поступают с интенсивностью λn в единицу времени, и каждый сервер в среднем обрабатывает одно задание в единицу времени, то есть загрузка системы равна λ < 1 (если λ ≥1, то система перегружена, очередь будет расти до бесконечности). Рассмотрим случай, когда n очень велико и стремится к бесконечности. Обозначим через fk долю серверов, у которых ровно k заявок (заявка, которая находится на обслуживании в данный момент, тоже учитывается). Обозначим через uk долю серверов, у которых заявок k или больше. Значения uk можно легко получить через fk и наоборот: ![]() Понятно, что u0 = 1. Представим, что система находится в равновесии. Тогда у нас в среднем ![]() серверов, на которых ровно k заданий. Все эти серверы обрабатывают задания со скоростью одно задание в единицу времени. Другими словами, количество серверов с k заявками или больше уменьшается на n(uk − uk+1) в единицу времени. Теперь давайте посмотрим, на сколько количество серверов с k заявками или больше увеличивается в единицу времени. Чтобы увеличить число таких серверов, заявки должны поступать на серверы, у которых в данный момент k − 1 заявка. При методе выбора из двух вероятность того, что новое задание попадет на сервер с k или больше заявками, равна ![]() потому что в этом случае оба случайно и независимо выбранных сервера должны иметь k или больше заявок, и для каждого из двух серверов эта вероятность иk [26] . Значит, вероятность того, что новая заявка поступит на сервер, у которого ровно k − 1 заявка, равна ![]() Поскольку заявок в единицу времени поступает λп, то получается, что число серверов с k или больше заявками в единицу времени в среднем увеличивается на ![]() Так как система находится в равновесии, число серверов с k или больше заявками должно оставаться неизменным, то есть (П.9) равняется (П.11). Отсюда получаем уравнение баланса: ![]() Результат, приведенный в работе {34} , говорит, что при определенных общепринятых предположениях о законе поступления заданий и времени их выполнения, в пределе для бесконечного количества серверов, уравнение (П.12) действительно описывает равновесное состояние системы. Это достаточно сложный технический результат. Нетрудно проверить или даже догадаться, что решение уравнения (П.12) задается формулами: |
![Иллюстрация к книге — Кому нужна математика? Понятная книга о том, как устроен цифровой мир [i_061.jpg] Иллюстрация к книге — Кому нужна математика? Понятная книга о том, как устроен цифровой мир [i_061.jpg]](img/book_covers/076/76260/i_061.jpg)
![Иллюстрация к книге — Кому нужна математика? Понятная книга о том, как устроен цифровой мир [i_062.jpg] Иллюстрация к книге — Кому нужна математика? Понятная книга о том, как устроен цифровой мир [i_062.jpg]](img/book_covers/076/76260/i_062.jpg)
![Иллюстрация к книге — Кому нужна математика? Понятная книга о том, как устроен цифровой мир [i_063.jpg] Иллюстрация к книге — Кому нужна математика? Понятная книга о том, как устроен цифровой мир [i_063.jpg]](img/book_covers/076/76260/i_063.jpg)
![Иллюстрация к книге — Кому нужна математика? Понятная книга о том, как устроен цифровой мир [i_064.jpg] Иллюстрация к книге — Кому нужна математика? Понятная книга о том, как устроен цифровой мир [i_064.jpg]](img/book_covers/076/76260/i_064.jpg)
![Иллюстрация к книге — Кому нужна математика? Понятная книга о том, как устроен цифровой мир [i_065.jpg] Иллюстрация к книге — Кому нужна математика? Понятная книга о том, как устроен цифровой мир [i_065.jpg]](img/book_covers/076/76260/i_065.jpg)
![Иллюстрация к книге — Кому нужна математика? Понятная книга о том, как устроен цифровой мир [i_066.jpg] Иллюстрация к книге — Кому нужна математика? Понятная книга о том, как устроен цифровой мир [i_066.jpg]](img/book_covers/076/76260/i_066.jpg)
![Иллюстрация к книге — Кому нужна математика? Понятная книга о том, как устроен цифровой мир [i_067.jpg] Иллюстрация к книге — Кому нужна математика? Понятная книга о том, как устроен цифровой мир [i_067.jpg]](img/book_covers/076/76260/i_067.jpg)
![Иллюстрация к книге — Кому нужна математика? Понятная книга о том, как устроен цифровой мир [i_068.jpg] Иллюстрация к книге — Кому нужна математика? Понятная книга о том, как устроен цифровой мир [i_068.jpg]](img/book_covers/076/76260/i_068.jpg)
![Иллюстрация к книге — Кому нужна математика? Понятная книга о том, как устроен цифровой мир [i_069.jpg] Иллюстрация к книге — Кому нужна математика? Понятная книга о том, как устроен цифровой мир [i_069.jpg]](img/book_covers/076/76260/i_069.jpg)