Книга Простая одержимость. Бернхард Риман и величайшая нерешенная проблема в математике, страница 38 – Джон Дербишир

Авторы: А Б В Г Д Е Ж З И Й К Л М Н О П Р С Т У Ф Х Ч Ш Ы Э Ю Я
Книги: А Б В Г Д Е Ж З И Й К Л М Н О П Р С Т У Ф Х Ц Ч Ш Щ Ы Э Ю Я
Бесплатная онлайн библиотека LoveRead.ec

Онлайн книга «Простая одержимость. Бернхард Риман и величайшая нерешенная проблема в математике»

📃 Cтраница 38

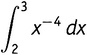
Если производные годятся для того, чтобы выражать наклон функции — т.е. скорость, с которой функция изменяется в данной точке, — то для чего же годятся интегралы? Ответ: для нахождения площадей под графиками.

Иллюстрация к книге — Простая одержимость. Бернхард Риман и величайшая нерешенная проблема в математике [i_056.jpg]

Рисунок 7.3. Для чего пригодно интегрирование.

Функция, показанная на рисунке 7.3, а это в действительности функция 1/x4, т.е., другими словами, x−4, — ограничивает собой некоторую площадь между аргументами x = 2 и x = 3. Чтобы найти эту площадь, сначала надо найти интеграл от x−4. Согласно приведенному выше общему правилу, этот интеграл равен −1/3x−3, т.е. −1/(3x3). Эта функция, как и всякая другая, имеет значение для каждого x из своей области определения. Чтобы найти площадь между аргументами 2 и 3, надо вычислить значение интеграла при аргументе 3, затем вычислить значение интеграла при аргументе 2, а потом вычесть второе значение из первого.

При x = 3 значение функции −1/(3x3) равно −1/81, при x = 2 оно составляет −1/24. Вычитаем, не забывая, что вычесть отрицательное число — это все равно что прибавить соответствующее положительное: −1/81 − (−1/24) = 1/241/81, что равно 19/648, т.е. примерно 0,029321.

У математиков есть специальный способ для записи всей этой процедуры:

Иллюстрация к книге — Простая одержимость. Бернхард Риман и величайшая нерешенная проблема в математике [i_057.jpg]
, что читается как «интеграл от икс в минус четвертой степени по дэ-икс от двух до трех». (Не слишком озадачивайтесь этим самым «по » — назначение этих слов состоит в указании, что именно x является основной переменной, с которой мы работаем, и именно ее интеграл надо найти. Если под знаком интеграла окажутся еще другие переменные, то они будут там присутствовать праздно, интегрирование ведется не по ним. В главе 19 у нас появится такой пример.)

Далее. Иногда оказывается возможным отправить правый конец интегрирования на бесконечность, но при этом получить конечную площадь. Это напоминает ситуацию с бесконечными суммами: если значения ведут себя должным образом, такие суммы могут сходиться к конечному значению. То же и здесь. У функций, которые ведут себя должным образом, площадь под кривой может оказаться конечной, несмотря даже на то, что область бесконечно длинная. Интегралы связаны с суммами на глубинном уровне. Даже знак интеграла, впервые использованный Лейбницем в 1675 году, представляет собой вытянутое S, обозначающее «сумму».

Смотрите: предположим, что вместо того, чтобы останавливаться на тройке, мы бы продолжили интегрирование до x = 100. Тогда, поскольку куб числа 100 равен 1 000 000, наше вычисление приобрело бы вид:

(−1/3 000 000) − (−1/24) = 1/241/3 000 000.

Ясно, что если бы мы пошли еще дальше, то второе слагаемое стало бы еще меньше. По мере того как мы спешим к бесконечности, оно постепенно угасает, стремясь к нулю, и у нас есть полное право написать:

Иллюстрация к книге — Простая одержимость. Бернхард Риман и величайшая нерешенная проблема в математике [i_058.jpg]

Стоит заметить, что, когда интеграл используется для вычисления площади, x исчезает из ответа: вместо x подставляются числа и в ответе получается число.

Вот и все. Клянусь, это все, что нам понадобится из дифференциального и интегрального исчисления. И поскольку ничего нового вводиться не будет, пользоваться дифференциальным и интегральным исчислением мы начнем прямо сейчас. С их помощью мы определим новую функцию, которая чрезвычайно важна в теории простых чисел и дзета-функции.


VIII.

Сначала рассмотрим функцию 1/ln t. Ее график показан на рисунке 7.4. Обозначение для аргумента заменено с x на t по той причине, что букве x отведена другая роль, чем просто быть бессловесной переменной.

На рисунке затемнена некоторая область под графиком, поскольку мы сейчас устроим небольшое интегрирование. Как только что объяснялось, интегрирование — это способ вычислить площадь под графиком функции. Сначала надо найти интеграл от интересующей нас функции, а потом взять калькулятор. Итак, каков же интеграл от функции 1/ln t?

К сожалению, в домашнем хозяйстве нет обычной функции, которая позволила бы выразить интеграл от 1/ln t. Но интеграл этот весьма важен. Он снова и снова появляется в исследованиях, связанных с Гипотезой Римана. Поскольку нежелательно писать

Иллюстрация к книге — Простая одержимость. Бернхард Риман и величайшая нерешенная проблема в математике [i_059.jpg]
всякий раз, как потребуется эта монструозная конструкция, мы попросту определим новую функцию, выражаемую этим интегралом, и выдадим ей свидетельство, что это добропорядочная и уважаемая функция, ни в чем не уступающая другим своим коллегам.

Иллюстрация к книге — Простая одержимость. Бернхард Риман и величайшая нерешенная проблема в математике [i_060.jpg]

Рисунок 7.4. Функция 1/ln t.

У этой новой функции есть имя: ее зовут интегральный логарифм. Для нее обычно используется обозначение Li(x). (Иногда пишут li(х).) Она определена как функция, выражающая площадь под кривой — то есть под графиком функции 1/ln t — от нуля до x. [59]

Реклама
Вход
Поиск по сайту
Ищем:
Календарь