Книга Рождение сложности. Эволюционная биология сегодня. Неожиданные открытия и новые вопросы, страница 15 – Александр Марков

Авторы: А Б В Г Д Е Ж З И Й К Л М Н О П Р С Т У Ф Х Ч Ш Ы Э Ю Я
Книги: А Б В Г Д Е Ж З И Й К Л М Н О П Р С Т У Ф Х Ц Ч Ш Щ Ы Э Ю Я
Бесплатная онлайн библиотека LoveRead.ec

Онлайн книга «Рождение сложности. Эволюционная биология сегодня. Неожиданные открытия и новые вопросы»

📃 Cтраница 15

Молекулы ДНК (как и РНК) способны к самокопированию, правда, для этого нужны катализаторы — белки или рибозимы. Наследственная информация, хранящаяся в ДНК в виде последовательности нуклеотидов, может «переписываться» на РНК (так создаются матричные РНК, мРНК) и обратно. Точность копирования обеспечивается в значительной мере автоматически — благодаря особому свойству нуклеотидов, которое называют свойством комплементарности: против каждого нуклеотида исходной молекулы (матрицы) в синтезируемой копии (реплике) может встать только один, строго определенный нуклеотид из четырех возможных. Напротив гуанина (Г) всегда становится цитозин (Ц), напротив урацила (У) или замещающего его в молекуле ДНК тимина (Т) — только аденин (А). Когда на этой реплике синтезируется новая реплика, она окажется точной копией исходной молекулы.


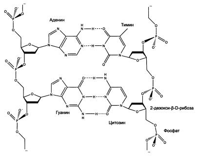
Иллюстрация к книге — Рождение сложности. Эволюционная биология сегодня. Неожиданные открытия и новые вопросы [i_007.jpg]

Фрагмент двойной цепи ДНК. По краям — «скелеты» одиночных цепей, составленные из остатков дезоксирибозы и фосфорной кислоты. В центре — две пары азотистых оснований, соединенных друг с другом по принципу комплементарности. Между аденином (А) и тимином (Т) образуются две водородные связи, между гуанином (Г) и цитозином (Ц) — три. Поэтому аденин может склеиться только с тимином, а гуанин — только с цитозином.

—————

«Взаимовыгодное сотрудничество» РНК и белков (пептидов), вероятно, складывалось постепенно. Можно предположить, что изначально химические циклы с участием РНК и пептидов формировались порознь, возможно, в несколько разных условиях. Об этом свидетельствует химический состав этих веществ. В РНК много фосфора: остатки фосфорной кислоты вместе с остатками рибозы составляют «скелет» молекулы. Сера в состав РНК не входит. В белках, наоборот, нет фосфора, зато имеется сера, которая играет весьма важную роль в поддержании пространственной структуры белковой молекулы.

Поначалу синтез белков, осуществлявшийся РНК-организмами, скорее всего, не был строго специфичным: последовательности аминокислот из раза в раз воспроизводились не точно, а лишь приблизительно. Поскольку точность в данном случае резко повышала жизнеспособность организмов, естественный отбор способствовал выработке все более точных методов синтеза белка. Дело кончилось возникновением универсальной системы очень точного синтеза любого требуемого пептида. Это и был генетический код вкупе с рибосомами «современного» типа.

—————

Генетический код — универсальный для всех живых существ способ, посредством которого первичная структура белковой молекулы (последовательность аминокислот) «кодируется» в молекуле ДНК (или РНК). Каждая аминокислота кодируется тремя нуклеотидами (кодоном, или триплетом). Нуклеотидов в ДНК всего 4, поэтому они могут образовывать 64 разных триплета. Аминокислот в белках всего 20, поэтому генетический код «избыточен»: многие аминокислоты кодируются не одним, а несколькими взаимозаменимыми кодонами. Считывание генетической информации происходит в два этапа. Сначала информация «переписывается» с ДНК на РНК (транскрипция). Эту операцию осуществляет специальный фермент — ДНК-зависимая РНК-полимераза. Полученная в результате транскрипции молекула РНК, содержащая «инструкцию» по синтезу белка, называется матричной РНК (мРНК). Выполнение этой «инструкции», то есть синтез белка (трансляция), осуществляется рибосомами.

—————

Вторым крупным усовершенствованием РНК-организмов было приобретение ДНК. Молекулы ДНК более устойчивы, чем РНК, и потому являются более надежными хранителями наследственной информации. Платой за стабильность стала неспособность молекул ДНК сворачиваться в сложные трехмерные структуры и выполнять какие-либо активные действия. Изначально ДНК, скорее всего, была чем-то вроде покоящейся фазы в жизненном цикле самовоспроизводящихся колоний РНК, и лишь много позднее она стала основным носителем наследственной информации.

—————

Формы существования наследственной информации. Наследственная (генетическая) информация может существовать в двух формах — в виде ДНК и РНК. Копированием и переписыванием этой информации занимаются особые ферменты — НК-полимеразы. Существует четыре типа НК-полимераз:

1. ДНК-зависимые ДНК-полимеразы — осуществляют репликацию ДНК, то есть синтезируют ДНК на матрице ДНК. Эти ферменты просто копируют молекулы ДНК, как на ксероксе.

2. ДНК-зависимые РНК-полимеразы — осуществляют транскрипцию, то есть синтезируют РНК на матрице ДНК.

3. РНК-зависимые РНК-полимеразы — осуществляют репликацию РНК, то есть синтезируют РНК на матрице РНК.

4. РНК-зависимые ДНК-полимеразы (обратные транскриптазы, ревертазы) — осуществляют обратную транскрипцию, то есть синтезируют ДНК на матрице РНК.

—————

Есть веские основания полагать, что первыми появились ферменты третьего типа, а от них потом произошли все остальные типы НК-полимераз.

Наследие РНК-мира

В последние годы одним из самых быстро развивающихся направлений в молекулярной биологии стало исследование разнообразных маленьких молекул РНК, которые, как выяснилось, играют огромную роль в жизни клетки. В результате этих исследований представления о молекулярных основах жизни сильно изменились. Еще лет 10–15 назад казалось, что РНК играет в клетке все-таки второстепенную роль. Сегодня стало ясно, что молекулы РНК являются активными участниками множества жизненно важных процессов. Постоянно открываются новые функциональные молекулы РНК и новые «роли», выполняемые этими молекулами в клетке. Эти открытия очень хорошо согласуются с теорией РНК-мира. Действительно, если древнейшие живые организмы умели обходиться вообще без белков и ДНК и все функции в них выполнялись молекулами РНК, то можно ожидать, что и в современных организмах эти многофункциональные молекулы не остались без работы (см. также главу «На подступах к неведомому»).

Одним из явных отголосков эпохи РНК-мира являются недавно открытые удивительные структуры, получившие название РНК-переключателей.

РНК-переключатели впервые были обнаружены в 2002 году Рональдом Брейкером и его коллегами из Йельского университета. С тех пор число публикаций, посвященных этому странному и очень древнему механизму генной регуляции, стремительно растет.

Работа гена начинается с транскрипции — создания молекулы мРНК на матрице ДНК. Транскрибируется не только та часть ДНК, которая кодирует белок, но и кое-что «лишнее», в том числе участок перед началом кодирующей области. Здесь-то и располагаются РНК-переключатели. Они представляют собой последовательности нуклеотидов, которые сразу после транскрипции сворачиваются в замысловатые трехмерные структуры. Сворачивание осуществляется на основе принципа комплементарности (так же, как это происходит, например, с транспортными и рибосомными РНК). Самое важное, что область, где находятся РНК-переключатели, транскрибируется первой. РНК-переключатели приходят в рабочее состояние — то есть принимают нужную конфигурацию — сразу, как только их транскрибировали, и задолго до того, как закончится транскрипция всего гена. Это позволяет им прервать транскрипцию и тем самым фактически выключить ген.

Реклама
Вход
Поиск по сайту
Ищем:
Календарь