Книга Разгневанный клиент, я люблю тебя, страница 42 – Виталий Антощенко

Авторы: А Б В Г Д Е Ж З И Й К Л М Н О П Р С Т У Ф Х Ч Ш Ы Э Ю Я
Книги: А Б В Г Д Е Ж З И Й К Л М Н О П Р С Т У Ф Х Ц Ч Ш Щ Ы Э Ю Я
Бесплатная онлайн библиотека LoveRead.ec

Онлайн книга «Разгневанный клиент, я люблю тебя»

📃 Cтраница 42

Вспомните о том, что вложение в Систему компенсации является более эффективной инвестицией, чем в нового Клиента. Самое время еще раз напомнить и про более высокий процент вероятности повторной покупки, и про внушительные затраты для получения нового Клиента, и про устойчивую прибыль от покупателя, остающегося с компанией много лет.

Познакомьтесь с основными параметрами использования такой важной черты корпоративного характера, как щедрость, при создании Системы компенсации.


• Ориентироваться на свой размер бизнеса и на покупателей.

Не существует универсального понятия щедрости. Согласитесь, что возможности по ее проявлению у индивидуального предпринимателя, ремонтирующего обувь, и у крупной международной корпорации разные. Более того, в одной и той же компании тоже по-разному представляют, что будет для их организации щедрым поступком.

Для того чтобы прийти к общему мнению, нужно организовать обсуждение среди сотрудников. Оно станет эффективнее, если включить в него информацию от финансового подразделения и портрет целевого покупателя.

Финансовая информация поможет адекватно оценить возможности компании и размер средств, получаемых от Клиентов. Портрет целевого покупателя нужен для понимания его психологического профиля и того, что для него считается щедростью. Ожидания Клиентов относительно щедрости сапожника и газового гиганта будут абсолютно разными.

• Показывать усилие.

Фраза «Мы не жадные и не бедные» применяется только для внутреннего использования и в качестве ориентира.

Клиент же, наоборот, должен чувствовать, что компания ради него идет на жертвы. Вспомните фразу Кота Матроскина: «У нас этого гуталина завались. Вот мы его и шлем куда попало». Сомневаюсь, что такой безразличный и снисходительный подход способен создать у покупателя восхищение и уважение.

Клиент должен видеть, что у компании нет лишних средств, но ради него она готова их изыскать, тем самым показывая, кто для нее является ценным.

• Удивлять.

Если лица сотрудников будут суровыми и скорбными, то их действия вызовут лишь сочувствие. Если же они приветливы и доброжелательны и к тому же идут на жертвы ради помощи покупателю, это уже достойно удивления.

Удивляет всегда то, чего мы не ожидаем. То, что отличается от привычного.

Способность компании постоянно удивлять своих покупателей зависит от творческого потенциала сотрудников. Руководители, ценящие и развивающие творческий подход в работе, имеют серьезное преимущество перед теми, кто недооценивает эту составляющую в использовании Системы компенсации.

• Менять.

Этот параметр является следствием предыдущего. Компенсация не константа, единожды принятая много лет назад. Она обязана постоянно пересматриваться и обновляться. Как только Клиенты перестали удивляться усилиям компании, или привыкли к ним, или конкуренты внедрили у себя похожие программы, придумывайте новые удивительные проявления заботы.

• Контролировать злоупотребления.

Поле компенсации является привлекательной мишенью для злоумышленников, желающих незаслуженно обогатиться за чужой счет. Многие руководители не спешат внедрять программы компенсации из-за страха, что выделенные средства на исправление ошибок будут просто-напросто разворованы.

Подобные опасения небеспочвенны, но единственный союзник руководителя – его сотрудники. Только они могут контролировать расходование средств так, чтобы ими не воспользовались профессиональные мошенники или родственники и знакомые работников компании.

Что же касается моральной чистоплотности самих сотрудников, то их лояльность всегда равна лояльности к ним руководителя.

Быстрая

В работе с жалобами критическим фактором является скорость. Виртуальный секундомер запускается в тот момент, когда покупатель озвучил свою жалобу первому попавшемуся на его пути представителю компании.

Именно это время является реальным, а не срок поступления жалобы в клиентский отдел. Истинная точка отсчета находится всегда в восприятии Клиента.

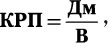
В разделе ВМС есть специальная формула, показывающая зависимость воспринимаемого Клиентом уровня качества от времени, истраченного на решение его претензии.

Иллюстрация к книге — Разгневанный клиент, я люблю тебя [_21.jpg]

где КРП – качество работы с претензией (впечатление Клиента);

Дм – действие на месте, решившее претензию Клиента;

В – затраченное время на решение претензии Клиента.

В соответствии с законами математики значение дроби обратно пропорционально ее знаменателю. Следовательно, большое время, потраченное компанией, чтобы решить проблему Клиента, не позволит ей воспользоваться шансом и сделать из него Страстного Поклонника.

Чем дольше компания принимает решение, тем дольше Клиент находится в ситуации неопределенности и психологического напряжения. Последствия этой «травмы» бывает невозможно «вылечить» даже самой щедрой компенсацией. Про такие случаи еще говорят, как в известном анекдоте: «Ложечки нашлись, а осадочек остался».

Чтобы произвести достойное впечатление на Клиента, ваша Система компенсации должна обеспечивать сотрудникам возможность действовать молниеносно и слаженно.

Простая

Важным признаком корпоративной Системы компенсации является ее простота. Она обеспечивается в двух плоскостях.


• Клиент – жалуется.

В большинстве компаний вы наблюдаете инфантильность, которую можно выразить словами сотрудников: «Если бы Клиент пожаловался, мы бы сделали все, чтобы он остался доволен. Но он же ничего не сказал».

Уважаемый читатель, вы уже знаете, что только один из 4–5 покупателей решается пожаловаться. Следовательно, компания должна занять активную и доброжелательную позицию, чтобы Клиенты хотели и не боялись высказывать свои претензии. Лучший способ – показать на примере, как это работает и приносит положительные плоды.

Например, магазин может продемонстрировать на информационной доске подлинный интерес к покупателям и их реальное влияние: «Теперь по субботам мы открыты на час дольше, потому что наши Клиенты об этом попросили. Спасибо, что помогаете лучше работать для вас!»

Нужно непрерывно «охотиться» за негативными эмоциями своих Клиентов, благодарить и поощрять их за это, в том числе финансово. Вы можете даже провести удивительную акцию под названием «Мы покупаем ваши жалобы!».

• Сотрудник – применяет.

Поскольку в реакции на претензию важна скорость, Система компенсации должна давать максимальную возможность принять решение «на месте». Оценить, насколько компания продвинулась в работе с Разгневанным Клиентом, можно в течение трех минут.

Реклама
Вход
Поиск по сайту
Ищем:
Календарь