Онлайн книга «Путеводитель для влюблённых в математику»
|
Двоичная система тоже позволяет записывать дробные значения. Каждую следующую цифру после запятой [36] мы умножаем на предыдущую степень двойки. Например, 101,0112 означает: ![]() Непривычный способ записать одну вторую: 0,12! Есть и другие системы счисления, помимо десятичной, единичной и двоичной [37]. В третичной системе мы пользуемся цифрами 0, 1 и 2, здесь все строится на степенях тройки. Скажем, 11023 означает: 1 × 27 + 1 × 9 + 0 × 3 + 2 × 1 = 38. В дробях первая позиция справа от запятой означает умножение на одну третью, вторая позиция – на одну девятую и т. д.: ![]() Ответ на задачу в разделе «Компромисс» Если представить 42 в виде суммы степеней двойки, мы увидим, что это 1010102. А число 110112 можно представить как 16 + 8 + 2 + 1 = 27. Глава 3
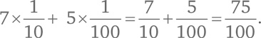
0,99999999999… Безусловно, простейший способ записать число один – это цифра 1. Но вы можете столкнуться с тем фактом, что уходящая в бесконечность десятичная дробь 0,999999… представляет собой другой способ записи того же числа. В главе 3 мы присмотримся к этому обстоятельству повнимательнее. Что означают десятичные числа? Привычная нам десятичная система счисления удобна и работает отменно, почти без перебоев. Она хорошо подходит для записи целых чисел. 235 – это компактный способ сказать «две сотни, три десятка и пять единиц». Или, на языке математики: 235 = 2 × 100 + 3 × 10 + 5 × 1. Для некоторых дробных величин десятичная система счисления также чрезвычайно эффективна. Возьмем число 3/4. В десятичной системе его можно записать так: 0,75. Эта запись означает: ![]() Десятичная дробь 0,75 в точности равна 3/4. Тем не менее если мы предпримем попытку записать 2/7 в виде десятичной дроби, то потерпим фиаско. Если мы попробуем разделить два на семь с помощью калькулятора, то получим неприглядное 0,28571429, причем это будет лишь приближенное значение, не равное в точности 2/7. Такие числа, как 3/8, могут быть представлены в виде десятичной дроби, потому что знаменатель в них легко представить в виде одной из степеней десятки: 3/8 = 375/1000. Но нельзя найти целое число A, для которого выполнялось бы условие: ![]() так как это подразумевает 2 × 10ⁿ = 7 × A. Ни одно целое число A не подходит в качестве решения уравнения, потому что левая сторона не делится на 7, а правая сторона делится. Представить 2/7 в качестве десятичной дроби невозможно. Если только не… Десятичные дроби с бесконечным числом символов Идея десятичной дроби с бесконечным числом символов содержит в себе один подвох, и сейчас мы выясним, какой именно. Вернемся к началу главы: что означает 0,99999… и почему оно равно 1? Для начала давайте представим 0,999999… не как одно число, а как ряд чисел, где каждое следующее – это предыдущее с приделанной справа цифрой 9. Вот как выглядит такой ряд: 0,9 0,99 0,999 0,9999 … (*) и так далее ad infinitum [38]. Ясно, что элементы ряда (*) постоянно возрастают. Каждый следующий элемент пусть ненамного, но больше предыдущего. Докажем два факта: 1. Все элементы возрастающего ряда (*) меньше 1. 2. Тем не менее для любого числа x, которое меньше 1, рано или поздно отыщется элемент ряда (*), превышающий x. Представим элементы ряда (*) в виде обыкновенных дробей: ![]() Есть компактный способ записать эти дроби. Знаменатели представляют собой степени десяти: 101, 10², 10³ и т. д. Каждый числитель на единицу меньше соответствующего ему знаменателя. Перепишем ряд снова: ![]() Очевидно, что n-ный элемент ряда будет выглядеть так: ![]() Легко убедиться, что все члены ряда (*) меньше 1, потому что числитель всякий раз оказывается меньше знаменателя. Теперь докажем второе утверждение: если число x меньше 1, рано или поздно найдется элемент ряда (*), превышающий x. Так как x меньше 1, разность (1 – x) положительна. Даже если x невероятно близок к единице, разница между ними будет мизерная, но положительная. Умножим (1 – x) на одну из степеней десяти: 10ⁿ × (1 – x). Так как разность (1 – x) положительна, это произведение будет больше 1, если 10ⁿ достаточно велико [39]: 10ⁿ × (1 – x) > 1. Раскроем скобки: 10ⁿ – 10ⁿx > 1, перенесем 1 в левую часть, а 10ⁿx в правую: |
![Иллюстрация к книге — Путеводитель для влюблённых в математику [i_023.jpg] Иллюстрация к книге — Путеводитель для влюблённых в математику [i_023.jpg]](img/book_covers/075/75623/i_023.jpg)
![Иллюстрация к книге — Путеводитель для влюблённых в математику [i_024.jpg] Иллюстрация к книге — Путеводитель для влюблённых в математику [i_024.jpg]](img/book_covers/075/75623/i_024.jpg)
![Иллюстрация к книге — Путеводитель для влюблённых в математику [i_025.jpg] Иллюстрация к книге — Путеводитель для влюблённых в математику [i_025.jpg]](img/book_covers/075/75623/i_025.jpg)
![Иллюстрация к книге — Путеводитель для влюблённых в математику [i_026.jpg] Иллюстрация к книге — Путеводитель для влюблённых в математику [i_026.jpg]](img/book_covers/075/75623/i_026.jpg)
![Иллюстрация к книге — Путеводитель для влюблённых в математику [i_027.jpg] Иллюстрация к книге — Путеводитель для влюблённых в математику [i_027.jpg]](img/book_covers/075/75623/i_027.jpg)
![Иллюстрация к книге — Путеводитель для влюблённых в математику [i_028.jpg] Иллюстрация к книге — Путеводитель для влюблённых в математику [i_028.jpg]](img/book_covers/075/75623/i_028.jpg)
![Иллюстрация к книге — Путеводитель для влюблённых в математику [i_029.jpg] Иллюстрация к книге — Путеводитель для влюблённых в математику [i_029.jpg]](img/book_covers/075/75623/i_029.jpg)