Онлайн книга «Путеводитель для влюблённых в математику»
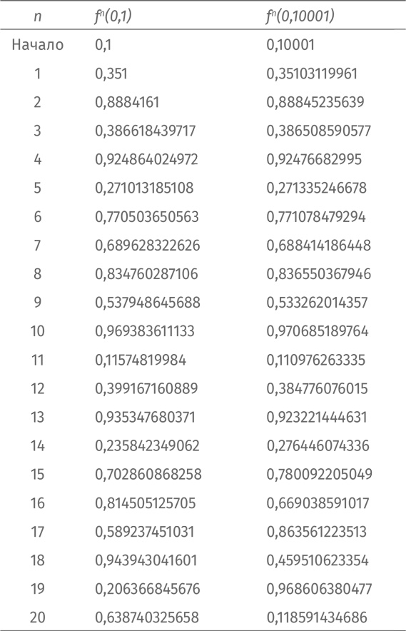
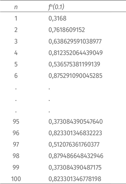
![]() А вот таблица итераций: ![]() Долгосрочное поведение функции занятно, но по-прежнему стабильно. Система идет по циклу из четырех величин ad infinitum, как показано на иллюстрации. ![]() От порядка к хаосу Мы проследили долгосрочное поведение итераций логистического отображения f(x) = m x (1 – x). Итерации всегда приводили нас к стабильности. В некоторых случаях (m = 2,5 и m = 2,8) система сходилась к одной величине: неподвижной точке функции f. В других случаях (m = 3,2 и m = 3,52) она приобретала стабильный, предсказуемый ритм. Жизнь хороша. Мы знаем исходную величину: x = 0,1. И мы знаем правило, по которому переходим от одного шага к другому: f(x) = m x (1 – x). Разумеется, мы можем предвидеть поведение функции на любом шаге до бесконечности. Верно? Настало время для последнего примера: m = 3,9. Доверим подсчет первых 10 итераций компьютеру: ![]() Что происходит? Неясно. Попробуем изобразить на графике первые 30 итераций: ![]() Хм… Ритм не прослеживается. Спокойствие, только спокойствие! Изобразим на графике первые 100 итераций. ![]() Колебания величин выглядят случайными. Разумеется, на самом деле это не так! Значение функции на каждом шаге можно точно подсчитать по формуле f(x) = 3,9 x (1 – x). Но итерации логистического отображения никогда не приведут к стабильности. Хаос будет длиться вечно. Великолепно: итерации беспорядочны, но система предсказуема на 100 %! • Мы знаем исходную величину: x = 0,1. • Мы знаем правило перехода от одного шага к другому: x → f(x) = 3,9 x (1 – x). Следовательно, мы можем вычислить состояние системы, скажем, на тысячной итерации. Верно? Неверно. Мы загнаны в угол стечением двух обстоятельств: ошибок округления и чувствительности системы к исходному состоянию. Обсудим каждое из них. Когда мы проводим вычисления на калькуляторе или на компьютере, результат зачастую оказывается приблизительным. Например, если мы делим 1 на 3, наши приборы выдают десятичную дробь 0,3333333. В ней, скажем, семь знаков после запятой. На самом деле троек после запятой бесконечно много, но калькулятор ограничивается конечным количеством цифр. После нескольких итераций функции f(x) = 3,9 x (1 – x) количество знаков после запятой достигает дюжины. Рано или поздно компьютер выдает лишь приблизительный, а не точный результат. Обычно мы не придаем значения таким ошибкам. Если мы подсчитываем, сколько картин уместится на пустой стене, нас не волнует ошибка на одну триллионную. Почему ошибки округления имеют значение в данном случае? Они ведут нас к загвоздке – чувствительности системы к исходному состоянию. Посчитаем итерации нашей функции, начиная с двух почти что равных величин: х = 0,1 и х = 0,10001. Интуитивно мы предполагаем, что скромная разница между исходными величинами не играет роли. Так ли это? Что произойдет? ![]() Замечу, что первые десять итераций или около того не приводят к значительным отличиям. Но затем траектории начинают расходиться. Это можно проиллюстрировать на графиках эволюции той и другой системы. Сплошная линия соответствует итерированию системы с исходным значением 0,1. Пунктирная линия иллюстрирует итерирование системы с исходным значением 0,10001. ![]() Каково значение f1000 (0,1)? К чему мы придем, если мы проделаем тысячу итераций функции f(x) = 3,9 x (1 – x)? Разумеется, мы доверяем вычисления компьютеру, но получается какая-то чепуха. Проиллюстрируем этот факт, проделав вычисления трижды с разным уровнем точности (заданным количеством знаков после запятой). Мы получим следующие результаты: ![]() Ни одна из этих величин не равна f 1000 (0,1) в точности. Мы будем биться до последней капли крови. Компьютер может работать с произвольной точностью. Он может не округлять полученное значение. К чему это приведет? ![]() Точное значение f ⁶ (0,1) имеет длину 127 знаков после запятой, а точное значение f ⁷ (0,1) растягивается после запятой на 255 знаков. Количество знаков после запятой увеличится примерно вдвое на каждой итерации. Нет настолько мощного компьютера, чтобы вычислить точное значение f1000 (0,1). К чему мы пришли? Несмотря на то что мы знаем исходное состояние системы и правило перехода от одного шага к другому, мы не в силах в точности предугадать ее состояние на 1000-м шаге. Можно доказать, что точное значение f1000 (0,1) лежит между 0 и 1, и задаться вопросом: какова вероятность того, что f1000 (0,1), скажем, больше 0,5? Ответ: либо 0, либо 1, потому что здесь нет ничего случайного. Либо f1000 (0,1) > 0,5, либо f1000 (0,1) ≤ 0,5, третьего не дано. Никаких «может быть», ничего случайного. Даже настолько простая система способна оказаться хаотичной. Она абсолютно детерминирована и в то же время непредсказуема. |
![Иллюстрация к книге — Путеводитель для влюблённых в математику [i_387.jpg] Иллюстрация к книге — Путеводитель для влюблённых в математику [i_387.jpg]](img/book_covers/075/75623/i_387.jpg)
![Иллюстрация к книге — Путеводитель для влюблённых в математику [i_388.jpg] Иллюстрация к книге — Путеводитель для влюблённых в математику [i_388.jpg]](img/book_covers/075/75623/i_388.jpg)
![Иллюстрация к книге — Путеводитель для влюблённых в математику [i_389.jpg] Иллюстрация к книге — Путеводитель для влюблённых в математику [i_389.jpg]](img/book_covers/075/75623/i_389.jpg)
![Иллюстрация к книге — Путеводитель для влюблённых в математику [i_390.jpg] Иллюстрация к книге — Путеводитель для влюблённых в математику [i_390.jpg]](img/book_covers/075/75623/i_390.jpg)
![Иллюстрация к книге — Путеводитель для влюблённых в математику [i_391.jpg] Иллюстрация к книге — Путеводитель для влюблённых в математику [i_391.jpg]](img/book_covers/075/75623/i_391.jpg)
![Иллюстрация к книге — Путеводитель для влюблённых в математику [i_392.jpg] Иллюстрация к книге — Путеводитель для влюблённых в математику [i_392.jpg]](img/book_covers/075/75623/i_392.jpg)
![Иллюстрация к книге — Путеводитель для влюблённых в математику [i_393.jpg] Иллюстрация к книге — Путеводитель для влюблённых в математику [i_393.jpg]](img/book_covers/075/75623/i_393.jpg)
![Иллюстрация к книге — Путеводитель для влюблённых в математику [i_394.jpg] Иллюстрация к книге — Путеводитель для влюблённых в математику [i_394.jpg]](img/book_covers/075/75623/i_394.jpg)
![Иллюстрация к книге — Путеводитель для влюблённых в математику [i_395.jpg] Иллюстрация к книге — Путеводитель для влюблённых в математику [i_395.jpg]](img/book_covers/075/75623/i_395.jpg)
![Иллюстрация к книге — Путеводитель для влюблённых в математику [i_396.jpg] Иллюстрация к книге — Путеводитель для влюблённых в математику [i_396.jpg]](img/book_covers/075/75623/i_396.jpg)