Онлайн книга «Путеводитель для влюблённых в математику»
|
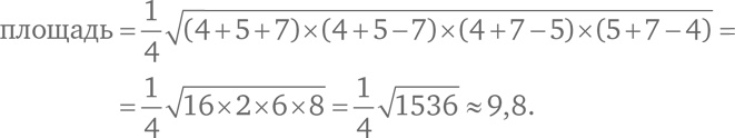
Вначале необходимо сложить эти числа и поделить пополам. Обозначим результат буквой s: ![]() Теперь поочередно вычтем из получившейся величины длины сторон – и получим заветную формулу: ![]() Например, длины сторон треугольника равны 4, 5 и 7. Тогда
![]() Вот развернутый вариант формулы Герона: ![]() Перепроверим на только что разобранном примере: ![]() Есть и другие формулы вычисления площади треугольника. Я завершу этот раздел своей излюбленной формулой. Она работает для треугольника с целочисленными вершинами – их координаты на плоскости должны быть целыми числами. Это легко продемонстрировать на клетчатой бумаге: ![]() Будем считать, что площади всех квадратиков равны 1. Можно найти площадь треугольника, посчитав, сколько квадратиков укладывается внутри треугольника целиком, а затем прибавив площади фрагментов квадратиков, отсеченных сторонами треугольника. Однако нам придется нелегко [143]. Теорема Пика [144] предлагает кое-что полегче. Мы не будем считать квадратики – мы посчитаем координатные точки. Вначале найдем, сколько точек внутри треугольника; обозначим их число I. Затем посчитаем количество точек на границе треугольника; обозначим их число B. Теорема Пика утверждает: ![]() Я начертил достаточно крупный треугольник, чтобы вы смогли сосчитать все точки. В итоге получится, что I = 38, а B = 10 (включая вершины). Таким образом, ![]() Завершу этот раздел небольшой головоломкой. Предположим, мы хотим найти площадь четырехугольника с целочисленными вершинами. Если внутри четырехугольника I координатных точек, а на границе B координатных точек (включая четыре вершины), то чему равна его площадь? Ответ вы найдете в конце главы. Кроме того, подумайте над вопросом о площади других многоугольников с целочисленными вершинами: пятиугольнике, шестиугольнике и т. д. Центры Что мы подразумеваем, когда говорим «центр треугольника»? У этого понятия есть несколько значений, и каждое интересно по-своему. Начнем с точки под названием центроид треугольника. Соединим вершины треугольника с серединами противоположных сторон. Такие отрезки называют медианами. Удивительно: все три медианы пересекаются в одной точке; ее и называют центроидом. ![]() Одно из свойств центроида – он представляет собой центр масс треугольника: если треугольник из жесткого материала (скажем, из тонкого листа железа) подвесить за центр масс, он будет сохранять равновесие. Разумеется, равновесие окажется шатким, если наши вычисления окажутся недостаточно точными. Мы уже провели отрезки из вершин треугольника к серединам противолежащих сторон; теперь давайте проведем кратчайшие линии, соединяющие вершины и противолежащие стороны. Они будут пересекать стороны треугольника под прямыми углами. Ко всеобщему восхищению эти три отрезка также пересекаются в одной точке; ее называют ортоцентр. ![]() Далее: биссектрисы. Проведем три отрезка из трех вершин до трех противоположных сторон, чтобы каждый из них рассекал соответствующий угол треугольника на два равных между собой угла. Эти три отрезка вновь пересекаются в одной точке, известной как инцентр. ![]() Инцентр называют так потому, что это центр окружности, касающейся всех трех сторон треугольника (вписанной в треугольник окружности). Теперь проведем отрезки не из вершин треугольника, а из середин его сторон, причем под прямыми углами к этим сторонам; их называют серединные перпендикуляры. Имею счастье сообщить, что и они пересекаются в одной точке – в центре окружности, описанной около треугольника, то есть содержащей все три его вершины. ![]() Эти четыре центра (центроид, ортоцентр, инцентр и центр описанной окружности) совпадают, если треугольник равносторонний. Но в общем случае точки различаются. На рисунке вы можете видеть расположение всех четырех центров в некотором произвольном треугольнике [145]. |
![Иллюстрация к книге — Путеводитель для влюблённых в математику [i_213.jpg] Иллюстрация к книге — Путеводитель для влюблённых в математику [i_213.jpg]](img/book_covers/075/75623/i_213.jpg)
![Иллюстрация к книге — Путеводитель для влюблённых в математику [i_214.jpg] Иллюстрация к книге — Путеводитель для влюблённых в математику [i_214.jpg]](img/book_covers/075/75623/i_214.jpg)
![Иллюстрация к книге — Путеводитель для влюблённых в математику [i_215.jpg] Иллюстрация к книге — Путеводитель для влюблённых в математику [i_215.jpg]](img/book_covers/075/75623/i_215.jpg)
![Иллюстрация к книге — Путеводитель для влюблённых в математику [i_216.jpg] Иллюстрация к книге — Путеводитель для влюблённых в математику [i_216.jpg]](img/book_covers/075/75623/i_216.jpg)
![Иллюстрация к книге — Путеводитель для влюблённых в математику [i_217.jpg] Иллюстрация к книге — Путеводитель для влюблённых в математику [i_217.jpg]](img/book_covers/075/75623/i_217.jpg)
![Иллюстрация к книге — Путеводитель для влюблённых в математику [i_218.jpg] Иллюстрация к книге — Путеводитель для влюблённых в математику [i_218.jpg]](img/book_covers/075/75623/i_218.jpg)
![Иллюстрация к книге — Путеводитель для влюблённых в математику [i_219.jpg] Иллюстрация к книге — Путеводитель для влюблённых в математику [i_219.jpg]](img/book_covers/075/75623/i_219.jpg)
![Иллюстрация к книге — Путеводитель для влюблённых в математику [i_220.jpg] Иллюстрация к книге — Путеводитель для влюблённых в математику [i_220.jpg]](img/book_covers/075/75623/i_220.jpg)
![Иллюстрация к книге — Путеводитель для влюблённых в математику [i_221.jpg] Иллюстрация к книге — Путеводитель для влюблённых в математику [i_221.jpg]](img/book_covers/075/75623/i_221.jpg)
![Иллюстрация к книге — Путеводитель для влюблённых в математику [i_222.jpg] Иллюстрация к книге — Путеводитель для влюблённых в математику [i_222.jpg]](img/book_covers/075/75623/i_222.jpg)
![Иллюстрация к книге — Путеводитель для влюблённых в математику [i_223.jpg] Иллюстрация к книге — Путеводитель для влюблённых в математику [i_223.jpg]](img/book_covers/075/75623/i_223.jpg)
![Иллюстрация к книге — Путеводитель для влюблённых в математику [i_224.jpg] Иллюстрация к книге — Путеводитель для влюблённых в математику [i_224.jpg]](img/book_covers/075/75623/i_224.jpg)
![Иллюстрация к книге — Путеводитель для влюблённых в математику [i_225.jpg] Иллюстрация к книге — Путеводитель для влюблённых в математику [i_225.jpg]](img/book_covers/075/75623/i_225.jpg)