Онлайн книга «Путеводитель для влюблённых в математику»
![]() Глава 7
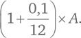
e Леонард Эйлер [68] Когда твоим именем называют число, это ли не величайшая честь для математика? Швейцарец Леонард Эйлер жил в XVIII веке, и в главе 7 мы поговорим о числе Эйлера [69]. Его обозначают буквой e. Число Эйлера можно задать разными способами [70], но стандартным считается следующий: ![]() Этот ряд уходит в бесконечность. Восклицательными знаками обозначен факториал. Для положительного целого числа n факториал считают по такой формуле: n! = n × (n – 1) × (n – 2) × (n – 3) × … × 2 × 1. Например, 4! = 4 × 3 × 2 × 1 = 24. Факториал нуля равен 1. Вы можете узнать о факториале больше в главе 10. Достаточно сделать всего несколько шагов по приведенному выше алгоритму, чтобы вычислить e c хорошей точностью. Когда мы дойдем до 1/10! сумма будет равна ![]() Это довольно близко к более точному значению 2,718281828459045… Число Эйлера повсеместно встречается в разных областях математики. Далее я покажу вам три совершенно разные задачи, для решения которых нужно e. «Прибыльное» число Банк выдает депозитный сертификат на десять лет. Когда этот срок истекает, вклад удваивается. Если ваш вклад составляет 1000 долларов, через десять лет вы получите 2000 долларов. Рост ваших инвестиций составляет 100 %. Не исключено, что для банка выгоднее выплачивать 10 % ежегодно, а не 100 % спустя десять лет. Банк может выдать еще более привлекательный сертификат, позволяющий вам получать прибыль ежегодно и снова класть ее на депозит. Посмотрим, как это отразится на ваших финансах. Начнем с 1000 долларов. В конце года вы получите 100 долларов. Теперь у вас 1100 долларов. На следующий год ваша прибыль возрастет. Банк выдаст вам уже не 100 долларов, а 10 % от 1100, то есть 110 долларов. Теперь у вас 1210 долларов. На третий год банк выдаст 10 % от этой суммы. Посмотрим, какую прибыль вы будете получать год от года и насколько станет увеличиваться ваш вклад: ![]() Вначале у вас было A долларов. В первый год прибыль составила 10 %. В конце года вы получили 1,1 × A. На второй год 1,1 × 1,1 × A. Несложно увидеть, что в конце десятого года у вас на руках окажется ![]() Это близко к нашим недавним расчетам [71]. Таким образом, новый депозитный сертификат оказывается существенно выгоднее – денег становится больше не в 2, а почти в 2,6 раза. А что произойдет, если банк начнет выдавать прибыль раз в три месяца, а не ежегодно? Если за год выручка составляет 10 %, то за три месяца набегает 2,5 %. В первом квартале ваша доход составит 0,025 × 1000 = 25 долларов. Общая сумма будет равна 1,025 × 1000 = 1025 долларов. В конце второго квартала вы получите уже 0,025 × 1,025 = 25,63 доллара (если округлить до сотых). Теперь у вас 1,025 × 1025 = 1050,63 доллара. Спустя N кварталов ваша 1000 долларов увеличивается следующим образом: ![]() Подставим N = 40 (поскольку в 10 годах 40 раз по 3 месяца) и увидим, что депозитный сертификат принес 2685,06 доллара. В первом случае деньги удвоились. Во втором сумма выросла в 2,59 раза. В третьем – в 2,69 раза. А что произойдет, если требовать прибыль ежемесячно, сохраняя условие, что деньги можно тут же снова класть на счет? А еще лучше – ежедневно? В случае ежемесячных выплат вы станете получать 10/12 %. Если в начале месяца у вас на руках была сумма A, в конце месяца [72] она вырастет: ![]() Спустя N месяцев вы получите: ![]() Если N = 120, ваша итоговая сумма составит 2707,04 доллара. Число дней в високосном году больше, чем в обычном, но для упрощения вычислений давайте примем за данность, что длительность каждого года 365 дней. За день вы будете получать
![]() Если N = 3650, вы будете обладать суммой в 2717,91 доллара. |
![Иллюстрация к книге — Путеводитель для влюблённых в математику [i_094.jpg] Иллюстрация к книге — Путеводитель для влюблённых в математику [i_094.jpg]](img/book_covers/075/75623/i_094.jpg)
![Иллюстрация к книге — Путеводитель для влюблённых в математику [i_095.jpg] Иллюстрация к книге — Путеводитель для влюблённых в математику [i_095.jpg]](img/book_covers/075/75623/i_095.jpg)
![Иллюстрация к книге — Путеводитель для влюблённых в математику [i_096.jpg] Иллюстрация к книге — Путеводитель для влюблённых в математику [i_096.jpg]](img/book_covers/075/75623/i_096.jpg)
![Иллюстрация к книге — Путеводитель для влюблённых в математику [i_097.jpg] Иллюстрация к книге — Путеводитель для влюблённых в математику [i_097.jpg]](img/book_covers/075/75623/i_097.jpg)
![Иллюстрация к книге — Путеводитель для влюблённых в математику [i_098.jpg] Иллюстрация к книге — Путеводитель для влюблённых в математику [i_098.jpg]](img/book_covers/075/75623/i_098.jpg)
![Иллюстрация к книге — Путеводитель для влюблённых в математику [i_099.jpg] Иллюстрация к книге — Путеводитель для влюблённых в математику [i_099.jpg]](img/book_covers/075/75623/i_099.jpg)
![Иллюстрация к книге — Путеводитель для влюблённых в математику [i_100.jpg] Иллюстрация к книге — Путеводитель для влюблённых в математику [i_100.jpg]](img/book_covers/075/75623/i_100.jpg)
![Иллюстрация к книге — Путеводитель для влюблённых в математику [i_101.jpg] Иллюстрация к книге — Путеводитель для влюблённых в математику [i_101.jpg]](img/book_covers/075/75623/i_101.jpg)
![Иллюстрация к книге — Путеводитель для влюблённых в математику [i_102.jpg] Иллюстрация к книге — Путеводитель для влюблённых в математику [i_102.jpg]](img/book_covers/075/75623/i_102.jpg)
![Иллюстрация к книге — Путеводитель для влюблённых в математику [i_103.jpg] Иллюстрация к книге — Путеводитель для влюблённых в математику [i_103.jpg]](img/book_covers/075/75623/i_103.jpg)