Книга От атомов к древу. Введение в современную науку о жизни, страница 33 – Сергей Ястребов

Авторы: А Б В Г Д Е Ж З И Й К Л М Н О П Р С Т У Ф Х Ч Ш Ы Э Ю Я
Книги: А Б В Г Д Е Ж З И Й К Л М Н О П Р С Т У Ф Х Ц Ч Ш Щ Ы Э Ю Я
Бесплатная онлайн библиотека LoveRead.ec

Онлайн книга «От атомов к древу. Введение в современную науку о жизни»

📃 Cтраница 33
Полисахариды

Гликозидные связи могут соединить между собой не только пару остатков моносахаридов, но и какое угодно их количество. Длинные цепочки моносахаридов, соединенных гликозидными связями, называются или олигосахаридами (если остатков в них больше двух, но не больше десяти), или полисахаридами (если они еще длиннее). Полисахариды — это уже самые настоящие полимеры (см. главу 3). Число остатков сахаров в молекуле полисахарида вполне может измеряться многими тысячами.

Один из самых широко известных полисахаридов — крахмал. Он представляет собой длинную цепь соединенных гликозидными связями остатков глюкозы. Это важнейшее запасное вещество у растений. Крахмала много в любой растительной пище. Он очень легко переваривается, расщепляясь до глюкозы, которая сразу же поступает в кровь. Обычная мука больше чем на 60% состоит из крахмала, а вот белков там, наоборот, довольно мало. Когда доктор Хаус в 20-й серии 6-го сезона обзывает пончики “жареными углеводами”, он подразумевает в первую очередь именно крахмал. Ну и заодно — сопутствующие углеводы вроде мальтозы, которых в пончиках, конечно, тоже предостаточно.

Животный аналог крахмала — гликоген. Это тоже важный запасной углевод. У нас он накапливается в первую очередь в печени. В случае надобности молекулу гликогена можно быстро расщепить до молекул глюкозы, которые тут же уйдут в кровь. Гликоген — это энергетический запас, пригодный к срочному использованию. Этим он отличается от жиров, которые содержат больше энергии, но мобилизуются гораздо медленнее. Впрочем, надо сказать, что расщепление гликогена у нас идет не только при каких-то чрезвычайных нагрузках, но и в состоянии покоя, понемногу, в промежутках между приемами пищи. Это важный способ поддержания концентрации глюкозы в крови на постоянном уровне. Само слово “гликоген” буквально означает “рождающий сладость”.

Итак, мы можем видеть, что полисахариды отличаются от моносахаридов в нескольких отношениях. Во-первых, их молекулы огромны. Во-вторых, они не растворяются в воде (именно поэтому их удобно делать запасными веществами). И в-третьих, они не сладкие. Например, чистый крахмал — это безвкусный порошок. По всем этим причинам называть полисахариды “сахарами” уже как-то не принято. Термин “сахар” обычно относят или к моносахаридам, или к дисахаридам.

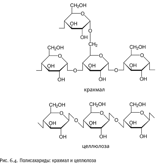
Вспомним, что в ходе нашего разговора мы уже встречались с полимерами (см. главу 3). Это были белки. Мономеры белков — аминокислоты — соединены друг с другом пептидными связями. А мономеры полисахаридов — моносахариды — соединены друг с другом гликозидными связями. Серьезное различие здесь в том, что белки не ветвятся. А вот полисахариды вполне могут. “По умолчанию” гликозидная связь образуется между гидроксилами первого и четвертого атомов углерода глюкозы (1-4-гликозидная связь). Тогда из остатков глюкозы получается простая линейная цепочка. Но в глюкозе есть и другие гидроксилы, между которыми образование гликозидной связи тоже возможно. Например, на 1-6-гликозидной связи полимерная цепочка обычно разветвляется (см. рис. 6.4). В гликогене такое ветвление выражено сильнее, чем в крахмале, хотя оно есть и там и там.

Иллюстрация к книге — От атомов к древу. Введение в современную науку о жизни [img_33.jpg]

Еще один полимер глюкозы — целлюлоза, или клетчатка. Это плотное волокнистое вещество, образующее основу древесины. В том или ином количестве целлюлоза есть в любой части любого растения. С химической точки зрения целлюлоза принципиально отличается от крахмала тем, что состоит не из альфа-глюкозы, а из бета-глюкозы. При этом возникают так называемые бета-гликозидные связи, отличающиеся от присутствующих в крахмале и гликогене альфа-гликозидных (последние выглядят на схеме молекулы прямыми, а бета-гликозидные — зигзагообразными). Кроме того, молекулы целлюлозы не ветвятся (см. рис. 6.4).

Бета-гликозидные связи гораздо прочнее альфа-гликозидных. Они расщепляются только очень немногими ферментами. Например, почти никто из животных, питающихся растениями, не может самостоятельно переваривать целлюлозу. Тем, кто берется ее усваивать, приходится заводить для этой цели микроскопических кишечных сожителей, у которых есть нужный фермент — целлюлаза. В теле человека таких микроорганизмов нет, и он не может переваривать целлюлозу вообще. Правда, она все равно приносит некоторую пользу, придавая пище подходящую консистенцию и стимулируя сокращения кишечника. Но никакой питательной ценности целлюлоза для нас не имеет, в этом смысле она — бесполезный балласт.

Долгое время биологи были уверены, что самостоятельно производить целлюлазу неспособны абсолютно никакие животные. И только в 1998 году выяснилось, что у некоторых термитов все-таки есть целлюлаза “собственного производства”, к синтезу которой не имеют отношения никакие микроорганизмы [46]. А в дальнейшем подобные “встроенные” целлюлазы были найдены у нескольких питающихся древесиной тараканов, жуков, круглых червей и улиток [47]. И по всей вероятности, этот список еще не полон. Отличная иллюстрация того, как рискованны в биологии категоричные утверждения! Слишком уж разнообразны объекты этой науки, сюрпризы исследователям они подбрасывают очень часто.

Клеточные стенки и судьба Земли

Совершенно особый интерес для биологов представляют те полисахариды, которые входят в состав клеточных стенок. Из предыдущей главы мы уже знакомы с клеточными мембранами. Так вот, клеточная стенка — это совсем не то. Клеточной стенкой называется самостоятельная оболочка, находящаяся снаружи от мембраны и заключающая в себе всю клетку целиком. Такое расположение означает, что это, строго говоря, внеклеточная структура — наподобие домика или раковины. Обычно она жесткая и придает клетке постоянные очертания. Клеточная стенка может состоять из полисахаридов (у растений, грибов), из сложных полимеров, в состав которых входят углеводы и аминокислоты (у бактерий) или из белков (у архей). У некоторых организмов, например у животных, клеточных стенок нет вообще. Это делает клетки менее прочными, зато позволяет им легко менять форму.

Клеточные стенки растений — целлюлозные. Растительная клеточная стенка часто бывает гораздо толще клеточной мембраны. Если растение многоклеточное, то между клетками обычно есть плазмодесмы — проходящие сквозь отверстия в клеточных стенках межклеточные “мостики” (см. рис. 6.5А). Через плазмодесмы растительные клетки общаются между собой и обмениваются разными веществами.

Сухое дерево, так же как пробка и другие подобные материалы, представляет собой не что иное, как массу пустых клеточных стенок. Живых клеток там давно уже нет, но их стенки остаются — целлюлоза для этого достаточно прочна. Ее прочности хватает на то, чтобы древесина сохраняла свою структуру буквально тысячелетиями: самое старое деревянное здание мира — японский буддийский храм Хорю-дзи, построенный в VII веке, в эпоху Асука. Кроме того, из целлюлозы, когда-то входившей в растительные клеточные стенки, делают бумагу.

Реклама
Вход
Поиск по сайту
Ищем:
Календарь