Книга От атомов к древу. Введение в современную науку о жизни, страница 18 – Сергей Ястребов

Авторы: А Б В Г Д Е Ж З И Й К Л М Н О П Р С Т У Ф Х Ч Ш Ы Э Ю Я
Книги: А Б В Г Д Е Ж З И Й К Л М Н О П Р С Т У Ф Х Ц Ч Ш Щ Ы Э Ю Я
Бесплатная онлайн библиотека LoveRead.ec

Онлайн книга «От атомов к древу. Введение в современную науку о жизни»

📃 Cтраница 18

Очевидно, что взаимодействия между аминокислотами в белке неслучайны. Сворачивание белковой молекулы зависит от ее первичной структуры, то есть от того, в каком порядке аминокислоты расположены в цепочке. Иногда говорят, что если бы можно было взять полипептидную цепь за концы, растянуть ее и потом отпустить, то она каждый раз свертывалась бы совершенно одинаково. На самом деле в живой клетке все происходит несколько иначе: там белок синтезируется последовательно, аминокислота за аминокислотой (от N-конца к C-концу), и части молекулы белка, синтезированные раньше, успевают свернуться в трехмерную структуру до того, как будут синтезированы остальные части. Но в итоге все молекулы данного белка сворачиваются строго одинаково. Зная аминокислотную последовательность белка, теоретически можно рассчитать его пространственную структуру всех уровней. Часто это успешно делают и на практике, используя методы таких наук, как биофизика и биоинформатика. В идеале последовательность аминокислот (которую можно записать в строчку, обозначив аминокислоты буквами) должна однозначно определять собой все свойства белка. И более того, изучаемая биологами реальность к этому идеалу очень близка.

На заре жизни... и раньше

Биохимическая эволюция началась еще до образования Земли как планеты. Современные ученые уверены, что синтез веществ, ставших потом биологически активными, шел уже на частицах протопланетного газопылевого облака [29]. Об этом свидетельствует многое — например, химический состав углистых метеоритов, которые потому так и называются, что богаты углеродом (в научной литературе их часто называют углистыми хондритами). Метеориты этого типа никогда не входили в состав планет, поэтому их химический состав не искажен действием высоких температур и давлений, господствующих в планетных недрах. Это своего рода химический “заповедник” очень древней эпохи Солнечной системы — эпохи, когда синтез органических веществ только начинался. Химический анализ углистых метеоритов дал ученым поразительную возможность заглянуть во времена, непосредственно предшествовавшие зарождению жизни.

И ученые не разочаровались. Углистые метеориты оказались удивительно богаты органикой. Например, в них найдены углеводороды, спирты, альдегиды, кетоны, карбоновые кислоты, оксикислоты, амины и углеводы (см. главу 1). Есть там и аминокислоты. Причем очень разные.

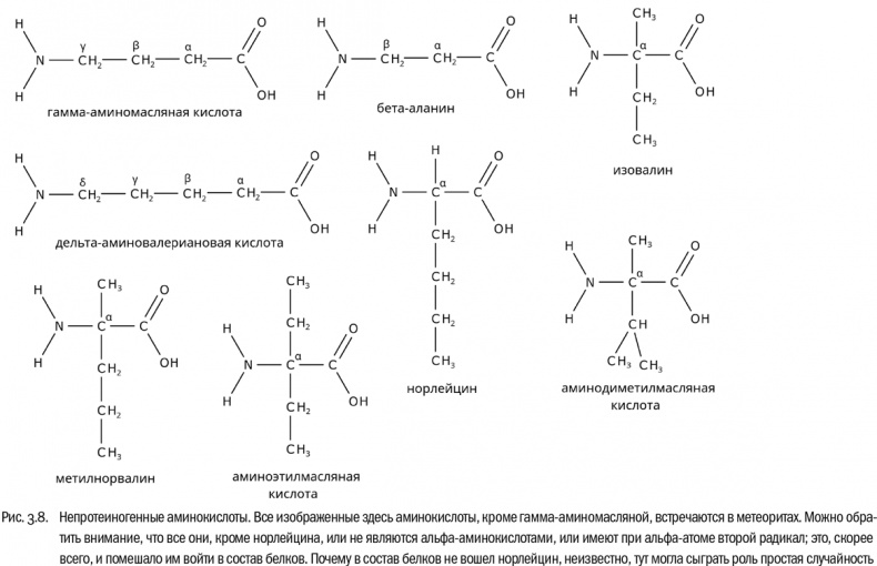
В знаменитом Мурчисонском метеорите, упавшем в 1969 году в Австралии, химический анализ обнаружил в общей сложности 52 аминокислоты [30](см. рис. 3.8). И они необыкновенно разнообразны. Например, среди этих аминокислот есть бета-аланин — изомер аланина, являющийся не альфа-, а бета-аминокислотой (NH2–CH2–CH2–COOH). Есть там гамма- и даже дельта-аминокислоты, например дельта-аминовалериановая кислота (NH2–CH2–CH2–CH2–CH2–COOH). Есть изовалин и метилнорвалин — аминокислоты, где к альфа-углеродному атому присоединены сразу два углеводородных радикала (как мы помним, в “белковых” аминокислотах на месте одного из них всегда атом водорода). Есть циклолейцин, где карбоксильная группа и аминогруппа присоединены к замкнутому пятичленному углеводородному кольцу. Перечислять странные аминокислоты, многие из которых встречаются исключительно в метеоритах, можно еще долго. Есть там, впрочем, и аминокислоты, входящие на Земле в двадцатку “белковых”, — глицин, аланин, валин, лейцин, изолейцин, аспартат, глутамат и пролин.

И вот тут возникает закономерный вопрос: почему одни аминокислоты вошли в состав белков, а другие нет? Кое о чем вполне можно догадаться. Скорее всего, “выбор” аминокислот на роль протеиногенных сильно зависел от формы их молекул. Например, аминокислота с двумя крупными радикалами при альфа-атоме должна ограничивать число возможных конформаций полипептидной цепочки, делая ее менее гибкой, — просто потому, что радикалы будут торчать в разные стороны, мешая изгибам и поворотам. У всех без исключения протеиногенных аминокислот одна из валентностей альфа-атома занята простым водородом. И это, конечно, не случайность.

Примерно так же, скорее всего, объясняется и тот факт, что все белки состоят исключительно из альфа-аминокислот. В результате этого остов полипептидной цепи получается легким, гибким и однородным. Все “тяжелые” группы переводятся в боковые цепи, а все промежутки между пептидными связями имеют строго одинаковую длину. Если бы, например, в состав белка входили вперемешку альфа- и бета-аминокислоты, последнее условие не соблюдалось бы и это сделало бы невозможными регулярные конформации — такие как широко распространенная в реально существующих белках альфа-спираль.

А теперь отвлечемся от белков и подумаем про общие принципы развития Вселенной. Благо повод для этого сейчас есть. Не раз упоминавшийся тут Станислав Лем писал, что творческий потенциал неживой природы больше, чем у живой, по одной простой причине: она не ограничена требованиями естественного отбора. “Лишь там, где царит смерть, вечная, спокойная, где не действуют ни сита, ни жернова естественного отбора, формирующие любое создание по законам бытия, открывается простор для удивительных произведений материи, которая, ничему не подражая, никому не подчиняясь, выходит за границы человеческого воображения”, — пишет Лем в замечательном романе “Фиаско” [31]. И добавляет: на планетах, освоенных жизнью, химические соединения попали “в рабство к биологической эволюции”. Они усложнились, но потеряли свое огромное исходное разнообразие.

Иллюстрация к книге — От атомов к древу. Введение в современную науку о жизни [img_21.jpg]

То, что мы знаем об аминокислотах Солнечной системы, превосходно иллюстрирует эту мысль. Пока никакой жизни не существовало, самые разные аминокислоты синтезировались более-менее одинаково легко. Их было много десятков. После возникновения жизни ситуация резко изменилась: аминокислоты, вошедшие в состав белков, стали активно синтезироваться живыми организмами, и на Земле (о жизни в других местах мы пока ничего не знаем) их концентрации колоссально выросли. Аминокислоты, не прошедшие отбора на протеиногенность, наоборот, стали редкими. Некоторые из них, например изовалин, не встречаются на Земле вообще никогда. Между прочим, именно открытие в Мурчисонском метеорите изовалина стало самым сильным доводом в пользу того, что аминокислоты не были занесены в этот метеорит земными микробами после его падения на Землю, а присутствовали там изначально. Изовалина на Земле просто нет, так что никакие микробы занести его не могли. Он синтезировался в космосе совершенно самостоятельно. Но поскольку у изовалина два углеводородных радикала, то на роль составной части белков он не подошел. Со многими другими аминокислотами произошло то же самое. И это, конечно, не случайность. Уже знакомая нам общая формула протеиногенной аминокислоты — это не изолированный факт, который можно только зазубрить, а вполне осмысленный продукт эволюции.

Реклама
Вход
Поиск по сайту
Ищем:
Календарь