Книга Армии Древнего Китая III в. до н.э. - III в. н.э. Униформа, вооружение, организация, страница 11 – Игорь Попов

Авторы: А Б В Г Д Е Ж З И Й К Л М Н О П Р С Т У Ф Х Ч Ш Ы Э Ю Я
Книги: А Б В Г Д Е Ж З И Й К Л М Н О П Р С Т У Ф Х Ц Ч Ш Щ Ы Э Ю Я
Бесплатная онлайн библиотека LoveRead.ec

Онлайн книга «Армии Древнего Китая III в. до н.э. - III в. н.э. Униформа, вооружение, организация»

📃 Cтраница 11

Помимо боевых колесниц в составе китайского войска действовали особые, тяжелые, так называемые оборонительные колесницы, запряженные 12 волами. Эти колесницы предназначались для перевозки имущества в походе и для создания полевых инженерных укрытий при обороне или на привалах во время походов. В этом случае из тяжелых колесниц составлялась укрепленная оборонительная линия, за которой размещались пехотинцы-лучники.

Построение боевых порядков

Боевой порядок древнекитайского войска, так же как и его организационная структура, строился по своеобразному пятеричному «крестообразному» принципу как на тактическом, так и на оперативном уровне.

Спецификой боевого построения древнекитайского войска был его «общевойсковой» характер, под которым подразумевалось объединение под началом одного командира различных родов войск: боевых колесниц, конницы и пехоты. Взаимодействие на поле боя различных родов войск позволяло китайским военачальникам максимально использовать преимущества и достоинства каждого рода войск и компенсировать их недостатки.

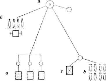
Основой построения боевого порядка подразделения была боевая колесница. Ей придавалось три «ляна» пехоты — 75 вооруженных пехотинцев. Они выстраивались впереди и на флангах от боевой колесницы. Сзади располагалась тяжелая оборонительная колесница. За ней выстраивался еще один «лян» пехотинцев, которые играли роль тылового обеспечения (кашевары, конюхи, подносчики стрел и дротиков). При необходимости они также могли вступить в бой. В результате первичный элемент боевого порядка китайской армии включал в себя одну легкую боевую колесницу, одну тяжелую оборонительную колесницу, 100 человек пехоты.

Иллюстрация к книге — Армии Древнего Китая III в. до н.э. - III в. н.э. Униформа, вооружение, организация [i_027.jpg]

Организация «цзу» — низшей тактической единицы древнекитайского войска: а — командир;

б — наступательная колесница;

в — боевые отряды;

г — тыловой отряд;

д — оборонительная колесница

Такое формирование, именуемое «цзу», после необходимой перегруппировки, было способно вести любые боевые действия: наступление, отражение контратак противника, оборону, отступление. Однако такое подразделение было способно вести боевые действия только против «правильного» противника, войско которого имело те же организационные принципы построения и действовало на ровной открытой местности.

Пять «цзу» образовывали «люй», в который входили пять боевых колесниц и, соответственно, 500 человек пехоты и пять тяжелых колесниц. На поле боя «люй» выстраивался крестообразно (в форме китайского иероглифа «колодец»): один «цзу» в центре и по одному «цзу» с каждой стороны от него — спереди, по флангам и сзади.

По аналогичному принципу строился боевой порядок китайского войска в целом: в центре располагались главные силы — один «цзюнь» во главе с самим командующим. На флангах выстраивались по одному «цзюню». Перед главными силами выставлялся авангард, а сзади — арьергард, также по одному «цзюню» каждый.

Такой шашечный боевой порядок в корне отличался от линейного принципа, превалировавшего в Европе. Сами боевые действия в результате применения таких боевых порядков приобретали характер «смешанного» боя, в котором одновременно участвовали все рода войск.

В зависимости от наличия сил и средств, в состав боевого порядка могли включаться в качестве самостоятельных элементов еще до нескольких «цзюней», которые размещались по «углам» центрального элемента боевого построения.

Некоторой модификацией построения боевого порядка китайского войска стало устранение центрального элемента боевого порядка. В результате в центре размещался только главнокомандующий и его штаб, а вокруг него — восемь элементов боевого порядка, сгруппированного по принципу квадрата. Это считалось претворением в жизнь постулата «полноты и пустоты» при построении войска на поле боя.

В связи с тем, что война китайскими военными теоретиками рассматривалась как «тысяча изменений и десять тысяч превращений», то и требования к форме боевого порядка не были очень строгими. Выбор того или иного боевого порядка зависел от местности, наличных сил и средств, возможностей противника и многих других факторов.

По мере усиления вооруженных сил Ханьской империи, насыщения их большим количеством «стрелометных» устройств различного типа менялся, очевидно, и «классический» боевой порядок. Отдельным элементом стали тяжелые станковые арбалеты, располагавшиеся сзади пехоты и предназначавшиеся для нанесения поражения противнику еще на дальней дистанции. Затем, по мере приближения противника, в бой вступали лучники и арбалетчики. Финальная стадия боя или сражения — рукопашная схватка, судя по всему, не всегда имела место. Успех боя или сражения во многом решался именно стрельбой с дальней дистанции.

В войнах с кочевниками, в том числе и в крупных сражениях с ними, боевой порядок китайского войска, естественно, был другим, отличным от «классического». Сюнну налетали неорганизованной массой со всех сторон, уничтожали разрозненные отряды китайцев и продвигались вглубь страны до тех пор, пока их не останавливали и обращали в бегство. Вынужденная «подстраиваться» под тактику кочевников, китайская армия силами пехоты, используя выгоды местности и инженерные сооружения, останавливала сюнну, а затем конница переходила к преследованию противника. Исходя из этого, китайское войско имело два основных элемента боевого порядка: позиционный, или оборонительный (в основном пехотные подразделения), и маневренный, или наступательный (отряды конницы).

ВООРУЖЕНИЕ И ОДЕЖДА

Вооружение китайской армии

Вооружение китайской армии эпохи Цинь и Хань делилось условно на оружие ближнего боя — основное вооружение пехоты и кавалерии и оружие дистанционного поражения. Кроме того, оружие древнекитайского войска можно подразделить на легкое и тяжелое. К тяжелому вооружению относились стационарные и подвижные метательные системы, которые обслуживались не одним воином, а группой (расчетом).

Иллюстрация к книге — Армии Древнего Китая III в. до н.э. - III в. н.э. Униформа, вооружение, организация [i_028.jpg]

Лезвие и тупой обух клевца «цзи»

Оружие ближнего боя

Ближний бой китайский воин вел колющим и режущим оружием. Самым распространенным оружием ближнего боя эпохи Цинь и Хань были копья и пики. В связи с широким распространением луков и арбалетов в Древнем Китае копья и пики редко применялись для метания. Они использовались почти исключительно как оружие ближнего боя.

Копье с крючкообразным наконечником «гэ» имело древко стандартной длины, не превышающей высоты человеческого роста более чем в 3 раза. Обычно «гэ» были длиной 303–314 см. Встречались копья «гэ» и меньшей длины — всего 91-140 см.

Реклама
Вход
Поиск по сайту
Ищем:
Календарь