Книга Мегалиты Русской равнины, страница 23 – Антон Платов

Авторы: А Б В Г Д Е Ж З И Й К Л М Н О П Р С Т У Ф Х Ч Ш Ы Э Ю Я
Книги: А Б В Г Д Е Ж З И Й К Л М Н О П Р С Т У Ф Х Ц Ч Ш Щ Ы Э Ю Я
Бесплатная онлайн библиотека LoveRead.ec

Онлайн книга «Мегалиты Русской равнины»

📃 Cтраница 23
Иллюстрация к книге — Мегалиты Русской равнины [i_052.jpg]

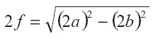
Просто? Отнюдь нет. Проблема заключается в том, что требуется-то не произвольный эллипс, а эллипс с более или менее заданными длиной и шириной (вряд ли каменные круги, на сооружение которых нередко уходили десятилетия, а то и века, создавались «просто так», наобум). Геометрическая задача: на каком расстоянии нужно расположить столбы-фокусы, чтобы получить, следуя вышеописанной технологии, эллипс с нужными длиной и шириной?

Сейчас эта задачка решается элементарно: несложно показать, что длина эллипса, его ширина и расстояние между фокусами связаны теоремой Пифагора, т. е.:

Иллюстрация к книге — Мегалиты Русской равнины [i_053.jpg]

Определив таким образом расстояние между столбами, несложно посчитать и требуемую длину петли — она будет равна расстоянию между столбами плюс заданную длину каменного эллипса (говоря современным языком — удвоенной сумме фокального расстояния и большой полуоси эллипса).

Но все это легко в XXI веке, когда теорему Пифагора изучают едва не в начальных классах школы. Строители же мегалитов вряд ли владели теоремой Пифагора, какой бы простой она ни казалась нам. Что же оставалось им — очевидно, древнейший и многократно проверенный практикой путь эмпирики, путь «проб и ошибок». Иначе говоря, им требовалось опытным путем подобрать такое соотношение между длинами трех отрезков, чтобы, сложенные концами, они образовывали прямоугольный треугольник, — тогда его гипотенуза будет пропорциональна длине эллипса, один из катетов — ширине эллипса, а другой — искомому расстоянию между столбами. И уж конечно, таковое соотношение должно выражаться целыми числами — вряд ли тысячи лет назад строителям мегалитов было удобно работать с дробями…

…Природа, как сказал герой одного советского фантастического фильма, ставит перед нами труднейшие задачи, но она же всегда предлагает нам способ их разрешения. Дело в том, что существует так называемый простейший «пифагоров треугольник», являющийся прямоугольным при том, что длины его сторон пропорциональны небольшим целым числам: 3:4:5. Действительно, 32 + 42 = 52. Кто знает, что было бы, если бы такого треугольника не существовало… Но он существует, и на его основе построена геометрия очень многих мегалитических сооружений Западной Европы; известный исследователь британских мегалитов Джон Вуд даже назвал его в этой связи «вездесущим треугольником 3:4:5». Существуют и другие пифагоровы треугольники (т. е. прямоугольные треугольники, соотношение сторон которых выражается целыми числами), например, треугольник 8:15:17 или 5:12:13; многие из них также обнаружены в геометрии мегалитических сооружений Западной Европы, и все-таки классический 3:4:5 встречается в мегалитах чаще всего.

Итак, что же нужно было древнему мастеру, чтобы построить «каменный эллипс» заданных размеров? Прежде всего — знать несколько пифагоровых треугольников (или хотя бы один, простейший) — наверняка это знание было сакрализовано и передавалось от учителя к ученику. Последовательность действий мастера должна была быть примерно такой (представим, что нам нужен эллипс длиной 10 метров и воспользуемся классическим треугольником 3:4:5):

1. Определить центр будущего эллипса и отметить его колышком. Наметить, в каком направлении будет проходить длинная ось эллипса.

2. Раз требуется длина 10 метров, то расстояние между столбами должно быть 6 метров, а ширина эллипса получится 8 метров (по соотношению 3: 4: 5). Стало быть, нужно отмерить вдоль намеченной длинной оси эллипса по 3 метра в каждую сторону от центрального колышка и в полученных точках вбить по столбу.

3. Взять веревку, длина которой равна сумме длины будущего эллипса и расстояния между столбами (т. е. 16 метров), и завязать ее в петлю.

4. Накинуть эту петлю на вбитые в землю столбы, взяться за веревку и отойти от столбов на максимально возможное расстояние — так, чтобы веревка натянулась. Затем обойти столбы вокруг, поддерживая натяжение веревки и отмечая свой путь на поверхности земли, — полученная замкнутая кривая и будет эллипсом нужного размера…

При желании читатель может воспроизвести эти действия и «экспериментально» убедиться, что данная простая технология работает. Единственное отличие описанной технологии от той, которую, вероятно, использовали наши предки, обусловлено отсутствием у последних рулетки или иного способа отмерять произвольные расстояния — именно с этим, в частности, и связано требование целых чисел в «базовом» треугольнике. Наверняка при проведении описанных построений они использовали некую шаблонную меру или целое число шаблонных мер (например, шаг или размах рук) — благо использование пифагоровых треугольников позволяло не дробить эту меру.


…До сих пор мы говорили о Европе в целом — не считая одного упоминания о том, что Коломский каменный круг имеет форму точного эллипса. Теперь же обратимся к каменным кругам Русского Севера — посмотрим на них немного более пристально.

Итак, каменный круг у деревни Сущево, описанный еще Н. К. Рерихом в 1899 году . Размеры круга: 14,0×17,5 м. Соответственно, его параметры:

Большая полуось 8,75 м = 5 раз по 1,75 м

Малая полуось 7,00 м = 4 раза по 1,75 м

Фокальное расст. 5, 25 м = 3 раза по 1,75 м

«Вездесущий треугольник» мегалитов! Можно спорить о том, насколько этот факт случаен, но факт остается фактом: геометрия Сущевского каменного круга подчинена тому же минимальному пифагорову треугольнику, что и геометрия многих вытянутых каменных кругов Западной Европы. Впрочем, случайное совпадение маловероятно: обратите внимание на использованный модуль — 175 см. Это — древнерусская сажень , упоминаемая в письменных источниках уже в XI веке!

Иллюстрация к книге — Мегалиты Русской равнины [i_054.jpg]

Каменный круг у деревни Коломо, обнаруженный и раскопанный В. Я. Конецким — как уже упоминалось, правильный эллипс с фокальным расстоянием 4,17 м и эксцентриситетом 0,47 — единственный на настоящее время русский каменный круг, для которого возможен точный геометрический анализ благодаря подробной съемке Конецкого. Параметры круга:

Большая полуось 8,80 м = 8 раз по 0,52 м

Малая полуось 7,75 м = 15 раз по 0,52 м

Фокальное расст. 4, 17 м = 17 раз по 0,52 м

8:15:17 — пифагоров треугольник, следующий по распространенности за минимальным и хорошо известный в британских каменных эллипсах (82+152=172). Совпадение? Вряд ли: погрешность определения модуля — около 0,5 % (меньше сантиметра). Следует также отметить, что полная длина эллипса равна точно 10 древним саженям, что позволяет предполагать определенную «универсальность» этой древней меры длины для каменных кругов Северной Руси, хотя это предположение, разумеется, останется лишь гипотезой до более подробных исследований.

Реклама
Вход
Поиск по сайту
Ищем:
Календарь