Онлайн книга «Тайные общества всех веков и стран»
|
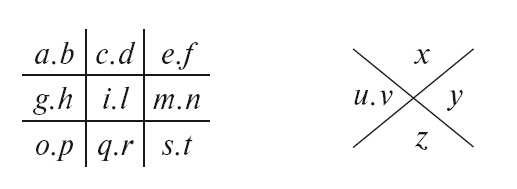
Никто не может быть принят в масонский орден моложе двадцати одного года; исключение делается в Англии и также во Франции в пользу сыновей масонов, которых дозволяется посвящать восемнадцати лет. Такого посвященного называют в Англии Lewis, во Франции Louveteau. Последнее означает «волчонок», и читатель вспомнит, что в мистериях Изиды кандидат должен был надевать маску, изображающую волчью голову. Отсюда вытекает, что в этих мистериях волк и кандидат были синонимы. Макробиус в своих «Сатурналиях» говорит, что древние усматривали связь между солнцем, великим символом этих мистерий, и волком: как стада баранов и другого скота разбегаются при виде волка, так стаи звезд меркнут от приближения солнечного света. А на греческом языке Xx>%oq значит и солнце, и волк. Есть ремесленное братство, которое до сих пор носит название, происходящее от этой мысли. Прием в ложу волчонка (louveteau) совершается с церемонией, похожей на крещение. Храмина усыпана цветами, курят фимиамом, и восприемнику предписывается иметь заботу не только о физических нуждах вновь рожденного брата, но также о воспитании его в истине и справедливости. Дитя получает новое имя, обыкновенно название добродетели, как, например: правдивость, преданность, благотворительность; восприемник произносит за него клятву ученика, и в этой степени он принимается в орден, который в случае смерти его родителей содержит его и устраивает его судьбу. Масонская азбука Масонская азбука сохраняет угловатый тип первобытных письмен. Тринадцать букв (9 + 4) составляют масонскую систему письма. Поэтому звуки могут быть изображены только точками следующим образом: ![]() Буква а пишется
![]() Ложа
Внутреннее устройство ложи Устройство ложи различно, смотря по эпохе и степени, но есть общие правила, которые всегда создаются при ее постройке. В старом французском требнике ложа описывается следующим образом: ложа должна иметь своеобразный потолок, выкрашенный голубой краской и усеянный золотыми звездами, чтобы изображать небо. Пол называется мозаичным; слово «мозаичный» производится от слова Моисей, то есть «спасенный из воды», потому что пестрые цвета изображают землю, вновь покрывающуюся цветами, когда сбежит вода после разлива Нила. Должно быть три окна – одно на восток, другое – на запад, третье – на юг. Также требуются две прихожие, дабы непосвященный не мог случайно увидеть того, что происходит в храмине; если же посторонний тем не менее войдет, председательствующий мастер восклицает: «Дождь идет!» [42] – и ложа немедленно ipso facto [43] закрыта. Храмина всегда драпирована черным; братья садятся по степеням: великий мастер с восточной стороны, мастер – с южной и новички – с северной. Когда принимается учение, ложа ярко освещена, великий мастер сидит на своем месте; у него на шее на широкой ленте маленький наугольник и циркуль, перед ним стол, на котором лежат Евангелие от Иоанна и небольшой молоток. По обе стороны сидят два распорядителя, на первом ватерпас, а на другом – отвес из золота или серебра. Мастера и подмастерья стоят вокруг вместе с учениками, все в белых передниках из шкуры ягненка, и держат в руке обнаженный меч. На полу начерчены фигуры, изображающие ступени, которые вели к Соломонову храму, и два столпа, у дверей Иахун и Боаз [44], которые, в сущности, символически представляют летнее и зимнее солнцестояние, Геркулесовы столпы и два столпа Сифа. Наверху видны солнце, месяц и большая звезда. Посреди пола гроб; человек, по-видимому мертвый, лежит в нем навзничь, на лицо накинут его белый передник, запачканный кровью, одна его рука приложена к груди, другая протянута к колену. В углах храмины находятся легко воспламеняющиеся вещества, как, например, сера, чтобы мгновенно заставить вспыхнуть огонь. Эта обстановка несколько изменяется для приема подмастерья или мастера. Новейшая ложа Новейшая ложа состоит из большой квадратной залы, всегда, если возможно, расположенной на восток и запад. На эстраде, к которой ведут три ступени, со стороны противоположной входу сидит высокодостойный мастер: алтарь находится в центре, на возвышении в четыре ступени. Над троном балдахин небесно-голубого цвета, усеянный звездами и завершенный блестящим треугольником со священным именем, написанным внутри его. Слева от балдахина видно солнце, справа месяц. Еще украшение состоит из пламенеющей звезды и точки среди круга – символ солнца или Вселенной. Ящик или ковчег также входит в состав масонского убранства. Он изображает ковчег, который носили в процессиях Древнего Египта и где заключались семена разных растений, веялка и Osiridis pudendum. К востоку, по бокам входной двери, находятся два бронзовых столпа с накопителями, изображающими гранатные яблоки, и заглавными буквами И. и Б. (Иахун и Боаз) на лицевой стороне. Старший и младший надзиратели сидят возле двух столпов, имея перед собой треугольный стол с масонскими символами. Вокруг ложи еще десять столпов, посредством архитрава соединенных с вышеупомянутыми двумя столпами. На алтаре лежат Библия, наугольник, два циркуля и мечи; три канделябра с длинными восковыми свечами поставлены: один с востока, у подножия ступеней, второй с запада, возле первого надзирателя, а третий с юга. Вокруг залы стоят скамьи для братьев. В так называемых шотландских, английских и американских ложах балдахин над троном мастера из пунцовой шелковой материи. В Соединенных Штатах на высокодостойном мастере шапка с черными перьями и большой кокардой того же цвета. Старший и младший надзиратели сидят в нишах, драпированных занавесью с бахромой, подобно герольдам, имеют посохи из эбенового дерева, выточенные в виде столпа. |
![Иллюстрация к книге — Тайные общества всех веков и стран [i_003.jpg] Иллюстрация к книге — Тайные общества всех веков и стран [i_003.jpg]](img/book_covers/075/75235/i_003.jpg)
![Иллюстрация к книге — Тайные общества всех веков и стран [i_004.jpg] Иллюстрация к книге — Тайные общества всех веков и стран [i_004.jpg]](img/book_covers/075/75235/i_004.jpg)
![Иллюстрация к книге — Тайные общества всех веков и стран [i_005.jpg] Иллюстрация к книге — Тайные общества всех веков и стран [i_005.jpg]](img/book_covers/075/75235/i_005.jpg)
![Иллюстрация к книге — Тайные общества всех веков и стран [i_006.jpg] Иллюстрация к книге — Тайные общества всех веков и стран [i_006.jpg]](img/book_covers/075/75235/i_006.jpg)
![Иллюстрация к книге — Тайные общества всех веков и стран [i_007.jpg] Иллюстрация к книге — Тайные общества всех веков и стран [i_007.jpg]](img/book_covers/075/75235/i_007.jpg)
![Иллюстрация к книге — Тайные общества всех веков и стран [i_008.jpg] Иллюстрация к книге — Тайные общества всех веков и стран [i_008.jpg]](img/book_covers/075/75235/i_008.jpg)
![Иллюстрация к книге — Тайные общества всех веков и стран [i_009.jpg] Иллюстрация к книге — Тайные общества всех веков и стран [i_009.jpg]](img/book_covers/075/75235/i_009.jpg)
![Иллюстрация к книге — Тайные общества всех веков и стран [i_010.jpg] Иллюстрация к книге — Тайные общества всех веков и стран [i_010.jpg]](img/book_covers/075/75235/i_010.jpg)
![Иллюстрация к книге — Тайные общества всех веков и стран [i_011.jpg] Иллюстрация к книге — Тайные общества всех веков и стран [i_011.jpg]](img/book_covers/075/75235/i_011.jpg)
![Иллюстрация к книге — Тайные общества всех веков и стран [i_012.jpg] Иллюстрация к книге — Тайные общества всех веков и стран [i_012.jpg]](img/book_covers/075/75235/i_012.jpg)