Книга Что такое жизнь?, страница 9 – Эрвин Шредингер

Авторы: А Б В Г Д Е Ж З И Й К Л М Н О П Р С Т У Ф Х Ч Ш Ы Э Ю Я
Книги: А Б В Г Д Е Ж З И Й К Л М Н О П Р С Т У Ф Х Ц Ч Ш Щ Ы Э Ю Я
Бесплатная онлайн библиотека LoveRead.ec

Онлайн книга «Что такое жизнь?»

📃 Cтраница 9

Они передаются потомству, а значит, наследуются

Мутации наследуются так же, как исходные, неизмененные признаки. Например, в рассмотренном выше первом урожае ячменя может появиться несколько колосьев с остями, заметно выходящими за рамки изменчивости, показанные на рис. 7, вообще без ости. Они могут быть носителями мутации де Фриза, которая передастся потомству, а значит, все их потомки будут лишены ости.

Таким образом, мутация представляет собой изменение наследия и должна определяться неким изменением наследственного материала. На самом деле, большинство важных экспериментов по скрещиванию, объяснивших нам механизм наследственности, заключались в анализе потомства, полученного скрещиванием согласно разработанной схеме, носителей мутации (во многих случаях – нескольких мутаций) с немутантными особями или с носителями других мутаций. Кроме того, поскольку мутации наследуются, они являются подходящим материалом, с которым может работать естественный отбор, производя новые виды, как описал Дарвин, путем вымирания неприспособленных и выживания сильнейших. Нужно лишь заменить в теории Дарвина «незначительные случайные вариации» на «мутации» (так же, как квантовая теория заменяет «постоянный перенос энергии» «квантовым переходом»). Во всех прочих аспектах теория Дарвина нуждалась в незначительной корректировке, если я правильно понимаю точку зрения большинства биологов. Активно обсуждался вопрос, способствует ли естественному отбору (или даже доминирует ли над ним) явная склонность мутаций происходить в благоприятном направлении. У меня на данный момент нет своей точки зрения, однако следует отметить, что возможность «направленности» мутаций далее не учитывается. Более того, я не могу уделить внимание взаимодействию генов-«переключателей» и «полигенов», как бы ни были они важны для механизма естественного отбора и эволюции.

Локализация, доминантность и рецессивность

Теперь следует рассмотреть фундаментальные факты и понятия, касающиеся мутаций, вновь в немного категоричной форме, не затрагивая напрямую подтверждающие их экспериментальные доказательства.

Иллюстрация к книге — Что такое жизнь? [i_011.jpg]

Рис. 8. Гетерозиготный мутант. Крестиком показан ген с мутацией


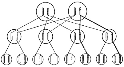
Разумно предположить, что некую наблюдаемую мутацию вызывает изменение определенного участка одной из хромосом. Так и есть. Важно отметить, что мы точно знаем: это изменение затрагивает лишь одну хромосому, но не соответствующий «локус» на гомологичной хромосоме. Это схематично показано на рис. 8; мутировавший локус обозначен крестиком. Факт, что мутация происходит только в одной хромосоме, можно доказать, скрестив мутантную особь («мутанта») с нормальной. Половина потомства будет обладать мутантным признаком, а другая половина – нормальным. Этого следует ожидать вследствие расхождения двух хромосом у мутанта во время мейоза, как схематично показано на рис. 9. Это «фамильное дерево», на котором каждая особь (из трех последовательных поколений) представлена парой рассматриваемых хромосом. Имейте в виду, что если у мутанта затронуты обе хромосомы, все его потомки получат одинаковое (смешанное) наследие, отличное от родительского.

Иллюстрация к книге — Что такое жизнь? [i_012.jpg]

Рис. 9. Наследование мутации. Поперечные прямые линии показывают передачу хромосомы, двойные линии – передачу мутантной хромосомы. Неучтенные хромосомы третьего поколения пришли от партнеров второго поколения, не включенных в схему. Предполагается, что это не родственники, лишенные мутаций


Однако эксперименты в данной области не столь просты, как может показаться. Их затрудняет второй важный фактор, а именно то, что мутации очень часто латентны. Что это означает?

У мутанта две «копии кода» уже не идентичны, а представляют собой два различных «прочтения», или «версии», по крайней мере в одном конкретном месте. Следует отметить, что, как бы заманчиво это ни выглядело, нельзя считать исходную версию «ортодоксальной», а мутантную – «еретической». В принципе мы должны полагать, что они имеют равное право на существование, поскольку нормальные признаки также возникли благодаря мутациям.

Иллюстрация к книге — Что такое жизнь? [i_013.jpg]

Рис. 10. Гомозиготный мутант, представленный одной четвертью потомства, появившегося путем самооплодотворения гетерозиготного мутанта (рис. 8) либо скрещивания двух гетерозиготных мутантов


В действительности «структура» особи, как правило, определяется той или иной версией, которая может быть нормальной либо мутантной. Определяющую версию называют доминантной, другую – рецессивной. Иными словами, мутация является доминантной или рецессивной в зависимости от того, меняет ли она непосредственно структуру или нет.

Рецессивные мутации встречаются намного чаще доминантных и крайне важны, хотя поначалу никак не проявляют себя. Чтобы повлиять на структуру, они должны присутствовать на обеих хромосомах (см. рис. 10). Подобные особи появляются, когда друг с другом скрещиваются два одинаковых рецессивных мутанта или когда мутант скрещивается сам с собой. Такое бывает у гермафродитных растений и даже случается спонтанно. В данном случае около одной четверти потомков будут носителями двух мутантных хромосом, а значит, у них проявится мутантный признак.

Немного технических терминов

Полагаю, для ясности следует объяснить несколько технических терминов. То, что я назвал версией кода – исходной или мутантной, – называют аллелью. Если версии различаются, как на рис. 8, особь называют гетерозиготной по данному локусу. Если версии одинаковы, как у немутантной особи или в случае, показанном на рис. 10, такие организмы называют гомозиготными. Так, рецессивная аллель влияет на структуру только в гомозиготном состоянии, в то время как доминантная аллель дает одну и ту же структуру и в гомозиготном, и в гетерозиготном состоянии.

Цвет часто доминирует над бесцветностью (или белизной). Например, горох обладает белыми цветками, только когда содержит в обеих соответствующих хромосомах «рецессивную аллель, отвечающую за белизну», то есть когда он «гомозиготен по белизне». Этот признак будет наследоваться, и все потомки данного растения станут цвести белым цветом. Однако присутствие одной «красной аллели» (в то время как другая остается белой – у «гетерозиготы») – равно как и две «красных аллели» (у «гомозиготы») – заставит горох цвести красными цветками. Различие последних двух случаев проявится только в потомстве, когда красные гетерозиготы дадут несколько белых потомков, а красные гомозиготы сохранят признак.

Факт, что две особи могут обладать совершенно одинаковой внешностью, но разной наследственностью, является столь важным, что следует точно разграничить эти понятия. Генетики говорят, что у таких особей одинаковый фенотип, однако разный генотип. Таким образом, вышеизложенное можно суммировать кратким, но в высшей степени техническим утверждением: рецессивная аллель влияет на фенотип лишь в том случае, когда генотип гомозиготен.

Вход
Поиск по сайту
Ищем:
Календарь