Книга Кригсмарине. Военно-морской флот Третьего рейха, страница 84 – Константин Залесский

Авторы: А Б В Г Д Е Ж З И Й К Л М Н О П Р С Т У Ф Х Ч Ш Ы Э Ю Я
Книги: А Б В Г Д Е Ж З И Й К Л М Н О П Р С Т У Ф Х Ц Ч Ш Щ Ы Э Ю Я
Бесплатная онлайн библиотека LoveRead.ec

Онлайн книга «Кригсмарине. Военно-морской флот Третьего рейха»

📃 Cтраница 84

18.10.1941: «Reuben James» (США), торпедирован подлодкой U-552 в Северной Атлантике;

23.10.1941: «Cossack» (Великобритания), торпедирован подлодкой U-563 западнее Гибралтара;

19.12.1941: «Stanley» (Великобритания), торпедирован подлодкой U-574 западнее Азорских островов;

17.1.1942: «Gurkha» (Великобритания), торпедирован подлодкой U-133 в Средиземном море;

17.1.1942: «Matabele» (Великобритания), торпедирован подлодкой U-454 в Баренцевом море;

31.1.1942: «Belmont» (Великобритания), торпедирован подлодкой U-82 в Северной Атлантике, юго-восточнее Нова-Скотии;

15.3.1942: «Vortigern» (Великобритания), потоплен торпедным катером S-104 в Ла-Манше;

26.3.1942: «Jaguar» (Великобритания), торпедирован подлодкой U-652 в Средиземном море;

15.6.1942: «Hasty» (Великобритания), потоплен торпедным катером S-55 в Средиземном море;

14.9.1942: «Ottawa» (Канада), торпедирован подлодкой U-91 в Северной Атлантике;

20.9.1942: «Somali» (Великобритания), торпедирован подлодкой U-703 в Северном Ледовитом океане;

26.9.1942: «Veteran» (Великобритания), торпедирован подлодкой U-404 в Северной Атлантике;

10.11.1942: «Martin» (Великобритания), торпедирован подлодкой U-431 в Средиземном море;

13.11.1942: «Isaac Sweers» (Нидерланды), торпедирован подлодкой U-431 у берегов Алжира (Средиземное море);

3.12.1942: «Penylan» (Великобритания), потоплен торпедным катером S-115 в Ла-Манше;

9.12.1942: «Porcupine» (Великобритания), торпедирован подлодкой U-602 северо-восточнее Орана (Средиземное море);

11.12.1942: «Blean» (Великобритания), торпедирован подлодкой U-443 западнее Орана (Средиземное море);

16.12.1942: «Firedrake» (Великобритания), торпедирован подлодкой U-221 в Северной Атлантике;

18.12.1942: «Partridge» (Великобритания), торпедирован подлодкой U-565 западнее Орана (Средиземное море);

31.12.1942: «Achantes» (Великобритания), потоплен броненосцем «Адмирал Хиппер» во время боя в Баренцевом море;

11.3.1943: «Harvester» (Великобритания), торпедирован подлодкой U-432 в Северной Атлантике;

12.3.1943: «Lightning» (Великобритания), потоплен торпедными катерами S-55 и S-158 в Средиземном море;

11.4.1943: «Beverly» (Великобритания), торпедирован подлодкой U-188 в Северной Атлантике;

14.4.1943: «Eskdale» (Великобритания), потоплен торпедными катерами S-65 и S-112 в Ла-Манше;

6.9.1943: «Puckeridge» (Великобритания), торпедирован подлодкой U-617 восточнее Гибралтара (Средиземное море);

10.9.1943: «Rowan» (США), потоплен торпедными катерами в Средиземном море;

20.9.1943: «St. Croix» (Канада), потоплен подлодкой U-305 южнее берегов Исландии в Северной Атлантике;

8.10.1943: «Orkan» (Польша), торпедирован подлодкой U-378 в Северной Атлантике;

9.10.1943: «Buck» (США), торпедирован подлодкой U-616 близ Салерно (Средиземное море);

13.10.1943: «Bristol» (США), торпедирован подлодкой U-371 в Средиземном море;

23.10.1943: «Limbourne» (Великобритания), потоплен торпедным катером T-22 в Ла-Манше;

2.11.1943: «Borie» (США), потоплен подлодкой U-405 в Восточной Атлантике;

24.12.1943: «Hurricane» (Великобритания), потоплен подлодкой U-415 в Северной Атлантике;

24.12.1943: «Leary» (США), торпедирован подлодками U-275 и U-382 в Северной Атлантике;

30.1.1944: «Hardy» (Великобритания), торпедирован подлодкой U-278 в арктических водах;

20.2.1944: «Warwick» (Великобритания), торпедирован подлодкой U-413 в Ла-Манше;

25.2.1944: «Mahratta» (Великобритания), торпедирован подлодкой U-956 в арктических водах;

9.3.1944: «Leopold» (США), торпедирован подлодкой U-255 южнее берегов Исландии в Северной Атлантике;

30.3.1944: «Laforey» (Великобритания), торпедирован подлодкой U-233 в Средиземном море;

29.4.1944: «Athabascan» (Канада), потоплен торпедным катером T-24 в Ла-Манше;

5.5.1944: «Fechteler» (США), потоплен подлодкой U-967 в Средиземном море;

6.6.1944: «Sevenner» (Нидерланды), потоплен миноносцами «Мёве», «Фальке», «Ягуар» и Т-28 в Ла-Манше;

20.7.1944: «Isis» (Великобритания), потоплен мини-подлодкой в Ла-Манше;

2.8.1944: «Fiske» (США), потоплен подлодкой U-804 в Северной Атлантике;

3.8.1944: «Quorn» (Великобритания), потоплен мини-подлодкой в Ла-Манше;

16.1.1945: «Деятельный» (СССР), потоплен подлодкой U-997 в Арктических водах;

23.2.1945: «La Combattante» (Франция), потоплен мини-подлодкой в Северном море;

24.4.1945: «Frederic C. Davis» (США), торпедирован подлодкой U-546 в Северной Атлантике.


ПОБЕДЫ ПОДВОДНОГО ФЛОТА. На протяжении войны германский подводный флот вел операции против торгового флота союзников. Ниже приводится количество и тоннаж судов союзников, потопленных германскими и итальянскими подводными лодками на протяжении 2-й мировой войны.

Иллюстрация к книге — Кригсмарине. Военно-морской флот Третьего рейха [i_223.jpg]

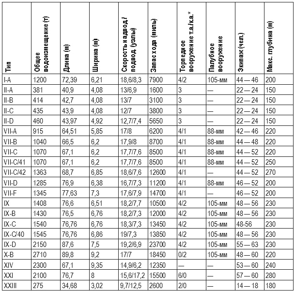
* Торпедные аппараты / кормовые аппараты


«ПОДВОДНИК», нагрудная пряжка подводника (u-boots-frontspange), нагрудный знак. Учрежден 15.5.1944 приказом К. Дёница и имел только одну степень («в бронзе» – in Bronze), 24.11.1944 введена более высокая степень – «в серебре» (in Silber), т. е. посеребренная. Внешний вид знака разработан берлинским графиком Вильгельмом Эрнстом Пеекхаузом. Был предназначен прежде всего для награждения подводников, отличившихся в операциях в Атлантике. Вручался членам команд подводных лодок, выполнявших специальные задания командования. Правом награждения знаком 2-й степени (за 15 боевых походов) обладал командир флотилии, а знаком 1-й степени (за 25 боевых походов) – командующий подводным флотом. Существуют данные, что в конце войны планировалось учредить пряжку «в золоте» (за 40 боевых походов), но сведений о награждении ею нет. Знак имел цинковый венок из дубовых листьев, от которого вправо и влево шли пучки дубовых листьев; наверху имперский орел. В центре помещалось изображение подводной лодки (Тип VII), а внизу – скрещенные мечи. Обе степени изготовлялись из цинка, а затем соответственно покрывались бронзой или серебром. Знак имел следующие размеры: ширина 76–77 мм, высота 15–16 мм, высота венка 24 мм, вес 19 граммов; крепился на булавке выше Железного креста 1-го класса. Знаки в основном производились на фирме «Шверине» (Берлин), по ряду сведений, в их изготовлении также принимали участие фирмы Рудольфа Карнехта и Фридриха Линдена. Пряжку 2-й степени получило 464 чел., 1-й степени – 196 чел.

Вход
Поиск по сайту
Ищем:
Календарь