Книга Загадки острова Пасхи, страница 32 – Алим Войцеховский

Авторы: А Б В Г Д Е Ж З И Й К Л М Н О П Р С Т У Ф Х Ч Ш Ы Э Ю Я
Книги: А Б В Г Д Е Ж З И Й К Л М Н О П Р С Т У Ф Х Ц Ч Ш Щ Ы Э Ю Я
Бесплатная онлайн библиотека LoveRead.ec

Онлайн книга «Загадки острова Пасхи»

📃 Cтраница 32

Другими словами, ПОСЛАНИЕ, с одной стороны, ДОЛЖНО БЫЛО долго ХРАНИТЬСЯ В ЗЕМНЫХ УСЛОВИЯХ, а с другой — не привлекать до поры до времени повышенного внимания. Логика подсказывает, что лучше всего в данном случае воспользоваться подручными средствами и материалами.

Наши предки вполне могли додуматься до такого решения — строили на века. Но камнями описать видеоинформацию — это вряд ли. Не настолько они были мудры. Да и вообще сам принцип представляет собой «ноу-хау» высочайшей технологии. Отсюда следует вывод: ДРЕВНИМИ СТРОИТЕЛЯМИ СТОУНХЕНДЖА КТО-ТО УСПЕШНО РУКОВОДИЛ!..

Английский писатель Джонатан Свифт, замечает В. Комиссаров, дает нам еще одну подсказку к пониманию тайн Стоунхенджа. Современники знали его как писателя-сатирика, автора романов, памфлетов и эпиграмм. Конечно, главным трудом его жизни стал его роман «Путешествие Лемюэля Гулливера в некоторые отдаленные страны света». Третье его путешествие — на летающем острове Лапуте разительно отличается от всех остальных. Оно изобилует научными и техническими подробностями, не характерными для Дж. Свифта.

Он, например, пишет, что астрономы летающего острова беседуют о двух спутниках Марса, которые, кстати, были открыты только 160 лет спустя! Один из них, говорят астрономы-лапутяне, вращается на расстоянии трех марсианских диаметров, а другой — на расстоянии пяти диаметров. Между тем в наше время науке известно, что орбиты спутников Марса — Фобоса и Деймоса составляют соответственно полтора и три с половиной диаметра планеты. По этому поводу американский астроном Левит сказал:

«Сходство между гипотетическими спутниками Свифта и реальными настолько близко, что это можно признать одним из наиболее загадочных подвигов размышления…»

Помимо марсианских спутников, Дж. Свифт упоминал в своем произведении и о молекулярном составе воздуха, и об устройствах, похожих на компьютеры, и о тяжелой воде, да и вообще о многом другом, что было явно не свойственно его времени. Все это уводит современного читателя в область сверхъестественного. Откуда Дж. Свифту были известны эти «черты будущего»… Остается предположить только одно из двух: или он знался с «пришельцами», или, как это сейчас модно говорить, он психографировал информацию, поступающую откуда-то из бескрайних просторов Вселенной. Правды нам сегодня все равно не узнать, поэтому мы обратимся к самой книге писателя.

Вот что писал Дж. Свифт:

«… Остров имеет форму правильного круга… в центре острова находится пропасть… Но главной достопримечательностью… является огромный магнит, по форме напоминающий ткацкий челнок… В самой середине магнита проделано поперечное отверстие, сквозь которое проходит чрезвычайно прочная магнитная ось… Магнит — подвешен в полом алмазном цилиндре… Цилиндр напоминает гигантское алмазное кольцо… он укреплен горизонтально на восьми алмазных ножках… Цилиндр вместе с ножками составляет одно целое с массивной алмазной плитой, образующей основание острова… При помощи этого магнита остров может опускаться, передвигаться с одного места на другое…»

Ученые попробовали изобразить все это на чертеже, пользуясь указанными писателем размерами. И не поверили своим глазам: на бумаге в определенном масштабе явственно проступал план… Стоунхенджа со многими деталями… Например подвешенный магнит в форме челнока, которым управлялась Лапута, сопоставлялся в данном случае с лежащим в центре Стоунхеиджа Алтарным камнем, о котором мы уже упоминали выше. Назначение его действительно неясно, к тому же он состоит из иного минерала, нежели весь древний комплекс.

Кстати, один из исследователей Стоунхенджа, англичанин Тони Веддом, давно обратил внимание на связь между силовыми линиями этих мест и так называемыми НЛО. Действительно, план самого кромлеха при взгляде с воздуха похож на НЛО. Кольцевые насыпи и рвы — это внешний обвод НЛО, лунки кольца Обри — иллюминаторы, а сарсеновое кольцо — кабина. Алтарный камень в этом случае может сойти за кабину НЛО, а так называемые голубые камни — за членов экипажа (гуманоидов)…

Напомним, что слово «Стоунхендж» буквально означает «подвешенный камень». Возможно, что после постройки гигантского сооружения Алтарный камень как раз и был определенным образом «подвешен» — примерно так, как описывает это Дж. Свифт. Другого «подвешенного камня» в Стоунхендже попросту нет.

Однако данное обстоятельство ведет нас прямиком в… Египет — ближе к пирамидам. По преданию, в тамошних местах располагался храм бога Атона, или, как его еще называли, «храм поднятого камня». Был он поставлен во славу Солнца, построен без крытых помещений. Но главное, в нем находится таинственный «поднятый камень» (или по-другому «Бен-Бен») — камень, на котором впервые поднялось наше светило Солнце. Можно предположить, что Стоунхендж — это воспроизведенный в Англии храм египетского бога Атона. Очень уж они похожи друг на друга по описаниям…

А что касается каменного Стоунхенджа, то следует сказать, что этот древний, единственный в своем роде памятник — необычайно многозначен. Занявшись им как следует, утверждает В. Комиссаров, можно получить не только, например, данные о принципиальном устройстве летательных аппаратов, пока не известных нам, представителям земной цивилизации, но и массу другой чрезвычайно ценной информации. Данное предположение ученого полностью подтвердилось…


ФОРМУЛА ФУНДАМЕНТАЛЬНЫХ КОНСТАНТ

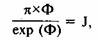
Российскому ученому А. Злобину, о некоторых исследованиях которого, проведенных совместно с В. Комиссаровым, мы уже упоминали выше, удалось получить, можно сказать «по подсказке» Стоунхенджа, формулу для фундаментальных констант «пи», «е» и «фи». Эту формулу на протяжении нескольких веков не могли найти ведущие математики всего мира. В данном случае «пи» — лудольфово число, равное 3,1415… «е» — основание натуральных логарифмов (неперово число), равное 2,7182… и, наконец, «фи» — число «золотого сечения», равное 1,6180… Перечисленные константы — универсальны, поскольку они, по существу, три кита, на которых стоит все современное мироздание.

Иррациональные величины «пи», «е» и «фи» широко распространены в различных закономерностях. И нет таких областей человеческой деятельности и знаний, где бы они не играли определяющей роли. Именно это обстоятельство заставляло крупных ученых искать уравнения, которые бы объединили эту триаду мировых констант природы. Такие попытки предпринимались неоднократно, но безуспешно… Объединить удавалось, к сожалению, только два числа. Величайшим триумфом математики, например, считается установление зависимости между значениями «пи» и «е», которую вначале вывел знаменитый Эйлер, а затем не менее знаменитый де Муавр. Впрочем, именно именем последнего обсуждаемая формула и была названа.

И вот российский математик, кандидат технических наук Андрей Евгеньевич Злобин получил невероятно простое соотношение для трех констант:

Иллюстрация к книге — Загадки острова Пасхи [i_018.jpg]

где стоящая в правой части величина J = 1,0079… — точный атомный вес водорода.

Мы не будем приводить в данном случае вывод для этой универсальной «формулы Злобина», который достаточно прост для тех, кто знаком с высшей математикой. Комментируя полученное выражение, его автор полагает, что всем его предшественникам просто не везло, а вот ему, расшифровавшему то, что было кем-то давным-давно заложено в Стоунхендже, повезло больше и удалось сделать не только математическое, но и археологическое открытие. Что же касается самого полученного соотношения, то А. Злобин обращает прежде всего внимание на такие его особенности…

Реклама
Вход
Поиск по сайту
Ищем:
Календарь