Книга Пуговицы Наполеона. Семнадцать молекул, которые изменили мир, страница 19 – Пенни Лекутер, Джей Берресон

Авторы: А Б В Г Д Е Ж З И Й К Л М Н О П Р С Т У Ф Х Ч Ш Ы Э Ю Я
Книги: А Б В Г Д Е Ж З И Й К Л М Н О П Р С Т У Ф Х Ц Ч Ш Щ Ы Э Ю Я
Бесплатная онлайн библиотека LoveRead.ec

Онлайн книга «Пуговицы Наполеона. Семнадцать молекул, которые изменили мир»

📃 Cтраница 19

Общественное недовольство дурным обращением с детьми и беззаконием вылилось в массовое движение, требовавшее законодательной регламентации продолжительности рабочего дня, условий и защиты труда, в том числе детского. Во многом на основе этих требований сформировалось современное трудовое законодательство. Условия жизни и работы заставляли многих рабочих вступать в профсоюзы и требовать социальных, политических и образовательных реформ. Однако добиться изменений было непросто. Фабриканты и акционеры обладали политической властью и не желали идти на уступки, снижавшие прибыль от производства хлопка.

Пелена дыма от сотен фабрик висела над Манчестером, который рос вместе с развитием производства хлопка. Прибыль вкладывалась в дальнейшую индустриализацию региона. Были построены каналы и железные дороги, перевозившие сырье и уголь на фабрики, а конечный продукт — в ближайший порт, Ливерпуль. Для расширения производства требовались инженеры, механики, строители, химики и ремесленники, чьи знания и умения могли пригодиться в таких областях, как производство красителей и отбеливателей, чугунолитейное производство и металлообработка, производство стекла и кораблестроение, а также прокладка железных дорог.

Несмотря на то, что в 1807 году в Англии была запрещена торговля людьми, промышленники не стеснялись импортировать с юга Америки хлопок, собранный руками рабов. В 18251873 годах хлопок-сырец был основной статьей британского импорта, его везли из Египта, Индии и Соединенных Штатов. Однако производство хлопчатобумажных тканей пошло на спад в связи с нерегулярностью поставок сырья во время Первой мировой войны. Британская промышленность никогда уже не восстановилась в прежнем объеме, поскольку страны-производители хлопка, обзаведшись необходимым оборудованием и меньше платя рабочим, сами стали крупными производителями и потребителями хлопчатобумажной ткани.

Торговля сахаром обеспечила начальный капитал для Промышленной революции, однако процветание Британии в XIX веке в значительной степени связано с ростом спроса на хлопчатобумажную ткань. Она была дешевой и идеально подходила для изготовления одежды и предметов домашнего обихода. Хлопок хорошо смешивается с другими волокнами, а ткань из него легко стирать и сшивать. Хлопковые ткани быстро вытеснили более дорогие льняные из обихода простых людей. Невероятное повышение спроса на хлопок-сырец в Европе, особенно в Англии, привело к росту использования труда рабов в Америке. Хлопководство — очень трудоемкий процесс. Сельскохозяйственная техника, пестициды и гербициды стали применяться гораздо позднее, а в те времена выращивание хлопка полностью зависело от усилий рабов. В 1840 году в Соединенных Штатах насчитывалось около полутора миллионов невольников. Спустя двадцать лет, когда на долю хлопка-сырца приходилось две трети всего американского экспорта, рабов было уже четыре миллиона.

Целлюлоза — структурный полисахарид

Подобно другим растительным волокнам, хлопок на 90 % состоит из целлюлозы, которая представляет собой полимер глюкозы и является основным компонентом клеточной стенки растений. Слово “полимер” у многих ассоциируется с синтетическими волокнами и пластмассами, однако в природе тоже существует множество полимеров. Это слово происходит из греческого языка: poly — “много”, а meros означает часть, или звено, так что полимер — это соединение многих звеньев. Полимеры глюкозы, иначе называемые полисахаридами, можно классифицировать на основании функции, выполняемой ими в организме. Структурные полисахариды, такие как целлюлоза, обеспечивают прочность тканей и систем, а запасные полисахариды являются формой хранения глюкозы. Структурные полисахариды состоят из звеньев β-глюкозы, запасные — из α-глюкозы. Мы упоминали в третьей главе, что в β-структуре OH-группа у углерода С1 находится над поверхностью глюкозного кольца, а в α-структуре — под поверхностью кольца.

Иллюстрация к книге — Пуговицы Наполеона. Семнадцать молекул, которые изменили мир [i_064.jpg]

Структура β-глюкозы

Иллюстрация к книге — Пуговицы Наполеона. Семнадцать молекул, которые изменили мир [i_065.jpg]

Структура α-глюкозы


Разница между β— и α-глюкозой может показаться незначительной, однако она ответственна за чрезвычайно важное различие в функции полисахаридов, образованных из тех и других звеньев глюкозы: группа OH над кольцом — структурная функция, под кольцом — запасная. В химии часто случается, что незначительные, казалось бы, изменения в структуре молекулы оказывают очень серьезное влияние на свойства вещества. Полимеры α— и β-глюкозы являются прекрасной иллюстрацией.

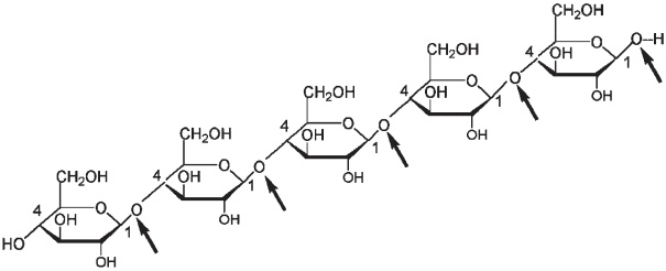
Как в структурных, так и в запасных полисахаридах звенья глюкозы соединены друг с другом через атом углерода С1 одного звена и атом углерода С4 соседнего звена. При соединении происходит удаление атома водорода с одной стороны и OH-группы с другой стороны и образование молекулы воды. Такой процесс называют конденсацией, а образующиеся в результате полимеры — конденсационными полимерами.

Иллюстрация к книге — Пуговицы Наполеона. Семнадцать молекул, которые изменили мир [i_066.jpg]

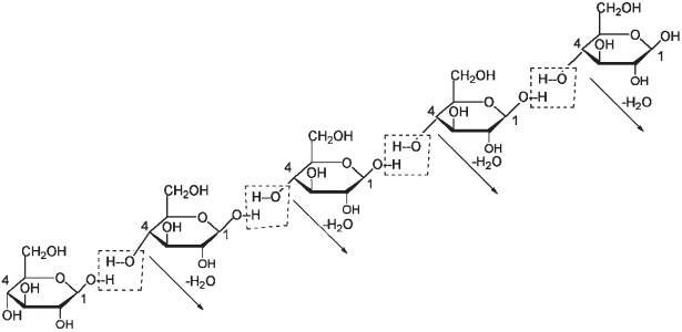
Реакция конденсации (удаление молекулы воды) между двумя молекулами β-глюкозы. На свободном конце каждой молекулы этот процесс может повториться.


Каждый свободный конец молекулы способен еще раз вступить в реакцию конденсации, в результате чего образуются протяженные цепи глюкозных звеньев, в которых оставшиеся OH-группы распределены вокруг цепей.

Иллюстрация к книге — Пуговицы Наполеона. Семнадцать молекул, которые изменили мир [i_067.jpg]

Удаление молекул воды между атомами C1 и С4 у двух соседних молекул β-глюкозы с образованием длинной полимерной цепи целлюлозы. На рисунке показано пять глюкозных звеньев.

Иллюстрация к книге — Пуговицы Наполеона. Семнадцать молекул, которые изменили мир [i_068.jpg]

Структура участка цепи целлюлозы. Атомы кислорода, соединенные с каждым атомом С1 (указаны стрелками), находятся в β-положении, т. е. расположены над поверхностью глюкозного кольца слева от них в каждом случае.


Многие свойства хлопка, обеспечившие ему успех, объясняются уникальной структурой целлюлозы. Длинные цепи целлюлозы лежат вплотную друг к другу, образуя жесткие, нерастворимые в воде волокна, из которых состоят клеточные стенки растений. Рентгеноструктурный анализ и электронная микроскопия — основные методы изучения физической структуры веществ — показывают, что цепи целлюлозы уложены в пучки. Форма β-связи позволяет цепям целлюлозы укладываться вплотную друг к другу. Эти пучки скручиваются и формируют волокна, видимые невооруженным глазом. На поверхности пучков располагаются OH-группы, не принимающие участия в образовании цепей целлюлозы, и эти OH-группы способны притягивать молекулы воды. Поэтому целлюлоза может захватывать воду, что объясняет высокую сорбционную способность хлопка и других продуктов на основе целлюлозы. Утверждение, будто “хлопок дышит”, имеет отношение не к вентиляции, а к способности поглощать влагу. В жару выступающий на теле пот впитывается в одежду из хлопчатобумажной ткани, а при его испарении тело охлаждается. Одежда из нейлона или полиэстера не впитывает влагу, пот не уходит с тела, и мы испытываем дискомфорт.

Вход
Поиск по сайту
Ищем:
Календарь