Книга Лидер и группа. О структуре и динамике организаций и групп, страница 36 – Эрик Берн

Авторы: А Б В Г Д Е Ж З И Й К Л М Н О П Р С Т У Ф Х Ч Ш Ы Э Ю Я
Книги: А Б В Г Д Е Ж З И Й К Л М Н О П Р С Т У Ф Х Ц Ч Ш Щ Ы Э Ю Я
Бесплатная онлайн библиотека LoveRead.ec

Онлайн книга «Лидер и группа. О структуре и динамике организаций и групп»

📃 Cтраница 36

А. Родительское состояние Эго – это набор чувств, отношений и образцов поведения, напоминающих родительскую фигуру. Диагноз обычно вначале формулируется на основании наблюдений за поведением, жестами, голосом, словарем и другими характеристиками. Это бихевиористский диагноз. Он подкрепляется, если такой набор реакций обычно возникает при детском поведении кого-либо в группе. Это социальный диагноз. В психотерапевтической группе диагноз можно еще подкрепить исследованием семейной истории и рассказом индивида о его чувствах – исторический и субъективный диагнозы. Родитель обычно проявляется в двух формах: предубежденной и кормящей. Предубежденный Родитель проявляет догматическое и неодобряющее отношение. Если такие же предубеждения и у других присутствующих, они могут быть без критического рассмотрения восприняты как рациональные или, по крайней мере, оправданные. Кормящий Родитель обычно тот, который поддерживает других и сочувствует им.

Состояние Эго Родитель следует отличать от Родительского влияния. Родительское состояние Эго означает: «Сейчас говорит твой Родитель; ты говоришь, как твоя мать». Родительское влияние означает: «Твой Ребенок так говорит, чтобы угодить твоему Родителю; ты говоришь так, как понравилось бы твоей матери».

Ценность Родителя в том, что он сберегает энергию, делая решения автоматическими и не подлежащими сомнению.

Б. Состояние Эго Взрослый есть независимый набор чувств, отношений и образцов поведения, которые приспособлены к реальности и на которые не действуют родительские предубеждения и архаические отношения, оставшиеся с детства. В каждом индивидуальном случае нужно делать поправки на прошлый опыт индивида. Взрослый очень молодого человека или Взрослый крестьянина выскажут совсем иные суждения, чем Взрослый рабочего. Вопрос не в точности суждения, не в его приемлемости для остальных членов (которая зависит от их Родительских предубеждений), а в качестве мышления и в использовании ресурсов, имеющихся в распоряжении данного конкретного индивида. Именно состояние Эго Взрослый делает возможным выживание.

В. Состояние Эго Ребенок – это набор чувств, отношений и образцов поведения, сохранившихся у индивида с детства. И опять бихевиористский анализ обычно делается вначале на основании тщательных наблюдений. Если этот набор образцов поведения провоцируется родительским поведением кого-либо в группе, диагноз становится социальным. Исторический диагноз ставится на основании воспоминаний об аналогичном поведении и чувствах в раннем детстве. Субъективный диагноз, действительное переживание первоначального детского опыта, должен ставиться только в ходе психотерапии под наблюдением квалифицированного врача.

Ребенок проявляется в двух формах – как приспособленный и естественный. Приспособленный Ребенок действует под Родительским влиянием и изменяет свое естественное поведение – с жалобами и уклонениями. Естественный ребенок свободней, он импульсивней и больше потакает своим слабостям. Ребенок во многих отношениях – самый ценный аспект личности, и если он находит нормальные здоровые пути выражения и наслаждения, то делает плодотворный вклад в жизнеспособности и счастье индивида.

Резюме

В главе предлагаются следующие наиболее значительные гипотезы.

1. Поведение любого индивида в группе в каждый данный момент может быть отнесено к одной из трех категорий, которые обычно называются Родитель, Взрослый и Ребенок.

2. Для подтверждения истинности такой классификации необходимо привлечение поведенческих, социальных, исторических и феноменологических данных.

3. На основании клинических данных Родитель, Взрослый и Ребенок толкуются прежде всего как состояния психики, или состояния Эго, и возникают из трех психических органов: экстеропсихе, неопсихе и археопсихе соответственно.

4. Точный структурный анализ необходим (или, по крайней мере, желателен) для понимания поведения и функций каждого индивида в группе.

Термины, введенные в этой главе

Иллюстрация к книге — Лидер и группа. О структуре и динамике организаций и групп [i_044.jpg]
Глава 10
Анализ трансакций
Простые комплементарные трансакции

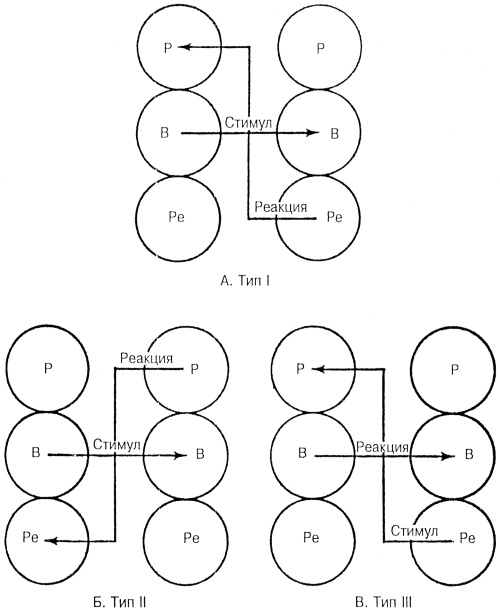
Цель трансакционного анализа – выяснение того, какое именно состояние Эго дает трансакционный стимул и трансакционную реакцию в любой из исследуемых трансакций. Всякий, кто собирается иметь дело с больными группами, должен быть знаком с этой процедурой. Простая трансакция представлена чертежом двух структурных диаграмм, расположенных рядом друг с другом, одной для агента, другой для респондента, как на рисунках 22 и 23. Затем чертится стрелка от активного состояния Эго агента к тому аспекту респондента, к которому адресуется агент. Эта стрелка представляет трансакционный стимул. Другая стрелка чертится от респондента к агенту и представляет трансакционную реакцию. Такая диаграмма называется трансакционной, а две стрелки – векторами.

Чтобы групповая работа во всех своих аспектах проходила гладко, коммуникация между членами не должна встречать помех. Так происходит до тех пор, пока трансакции комплементарны. Комплементарной называется трансакция, векторы которой параллельны. Чаще всего это трансакции типа Взрослый – Взрослый или Родитель – Ребенок.

Комплементарные трансакции типа Взрослый – Взрослый обычно происходят в ходе групповой деятельности. В повседневной жизни примером такой трансакции является вопрос «Который час?» и ответ «Полчетвертого». Стимул Взрослый – Взрослый вызывает реакцию Взрослый – Взрослый, такой вариант может быть назван комплементарной трансакцией типа 1, он представлен на рисунке 22А.

Иллюстрация к книге — Лидер и группа. О структуре и динамике организаций и групп [i_045.jpg]

Рис. 22. Комплементарная трансакция

Иллюстрация к книге — Лидер и группа. О структуре и динамике организаций и групп [i_046.jpg]

Рис. 23. Пересекающиеся трансакции


Второй тип обычной комплементарной трансакции – тот, что имеет место между Родителем и Ребенком, – легко наблюдать в семейной жизни, когда дети просят у родителей помощи, одобрения или защиты. Такая же трансакция происходит между взрослыми, когда один из них нуждается в реакции помощи, защиты или одобрения. Например, заболевший муж, который по опыту детства знает, «как принято болеть», – ложась в постель, обращается к состоянию Эго Ребенок. Жена, научившаяся от матери заботиться о больных, переходит в состояние Эго Родитель и помогает мужу. Если заболевает она, супруги меняются ролями, меняются и их состояния Эго. Такая взаимная любовная забота во времена необходимости демонстрирует комплементарную реакцию типа 2, которая представлена на рисунке 22Б. Состояние Эго Взрослый особенно чувствительно к некоторым лекарствам и бактериальным токсинам. Обычно человек с высокой температурой не в состоянии сохранить состояние Эго Взрослый и обращается к состоянию Эго Ребенок, тем самым активизируя состояние Эго Родитель в тех, кто о нем заботится. В таком случае окружающие выходят за пределы строго Взрослого медицинского обращения и успокаивают и утешают больного.

Вход
Поиск по сайту
Ищем:
Календарь