Книга Стратегии решения математических задач. Различные подходы к типовым задачам, страница 25 – Стивен Крулик, Альфред Позаментье

Авторы: А Б В Г Д Е Ж З И Й К Л М Н О П Р С Т У Ф Х Ч Ш Ы Э Ю Я
Книги: А Б В Г Д Е Ж З И Й К Л М Н О П Р С Т У Ф Х Ц Ч Ш Щ Ы Э Ю Я
Бесплатная онлайн библиотека LoveRead.ec

Онлайн книга «Стратегии решения математических задач. Различные подходы к типовым задачам»

📃 Cтраница 25
Задача 6.2

Сумма расстояний от любой точки внутри или на сторонах равностороннего треугольника до трех сторон всегда постоянна. Чему равна сумма этих расстояний, если сторона равностороннего треугольника равна 4?

Обычный подход

Существуют несколько способов решения этой задачи. Один из наиболее простых способов — выбрать какую-нибудь точку внутри равностороннего треугольника (т. е. сделать нечто вполне ожидаемое) и провести из нее три перпендикуляра к сторонам (рис. 6.1).

Иллюстрация к книге — Стратегии решения математических задач. Различные подходы к типовым задачам [i_142.jpg]

Приравняв площадь ΔABC и сумму площадей треугольников APB, PBC и CPA при использовании трех высот x, y, z и основания 4, мы получим площадь:

Иллюстрация к книге — Стратегии решения математических задач. Различные подходы к типовым задачам [i_143.jpg]

Таким образом, h = x + y + z. В нашем случае высота равностороннего треугольника равна 2 √3. Значит x + y + z = 2 √3.

Образцовое решение

Без ущерба общему смыслу задачи рассмотрим более простой аналогичный пример, поскольку мы вправе поместить точку P в любом месте внутри равностороннего треугольника или на его сторонах. Если совместить точку P с точкой A, то решение становится очевидным. Перпендикуляры к сторонам AB и AC имеют длину 0, а перпендикуляр к стороне BC — это просто высота треугольника, или 2 √3. Обратите внимание на то, что такую стратегию можно также классифицировать, как анализ экстремальных ситуаций. Мы рассмотрели экстремальную ситуацию, в которой точка совмещена с вершиной треугольника. Это лишний раз подчеркивает гибкость выбора стратегии.

Задача 6.3

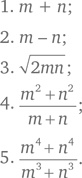
В приведенных ниже выражениях m и n — положительные целые числа, каждое из которых больше 1. Какое из выражений имеет наибольшее значение?

Иллюстрация к книге — Стратегии решения математических задач. Различные подходы к типовым задачам [i_144.jpg]
Обычный подход

Наиболее очевидный подход — реально выполнить операции как есть и попытаться выяснить, какое из выражений имеет наибольшее значение. Это громоздкий и нудный метод, требующий, к тому же, большого объема вычислений.

Образцовое решение

Попробуем решить более простую версию этой задачи. Для ее упрощения подставим вместо переменных подходящие положительные целые числа. Пусть m = 2, а n = 4. Тогда выражение (1) будет равно 2 + 4 = 6; выражение (2) — 2–4 = –2; выражение (3) — √16 = 4; выражение

Иллюстрация к книге — Стратегии решения математических задач. Различные подходы к типовым задачам [i_145.jpg]
выражение
Иллюстрация к книге — Стратегии решения математических задач. Различные подходы к типовым задачам [i_146.jpg]
Из этого следует, что наибольшее значение имеет выражение m + n.

Задача 6.4
Иллюстрация к книге — Стратегии решения математических задач. Различные подходы к типовым задачам [i_147.jpg]
Обычный подход

Традиционный подход заключается в решении уравнения

Иллюстрация к книге — Стратегии решения математических задач. Различные подходы к типовым задачам [i_148.jpg]
и определении значения x, которое равно
Иллюстрация к книге — Стратегии решения математических задач. Различные подходы к типовым задачам [i_149.jpg]
Затем это значение подставляют в выражение
Иллюстрация к книге — Стратегии решения математических задач. Различные подходы к типовым задачам [i_150.jpg]
и получают
Иллюстрация к книге — Стратегии решения математических задач. Различные подходы к типовым задачам [i_151.jpg]
Конечно, это связано с определенными алгебраическими и арифметическими преобразованиями, однако в конечном итоге дает правильный ответ.

Образцовое решение

Лучше, однако, взглянуть на задачу с другой точки зрения, начиная с исходной информации: уравнения

Иллюстрация к книге — Стратегии решения математических задач. Различные подходы к типовым задачам [i_152.jpg]
Если взять обратные величины обеих сторон уравнения, мы получим уравнение вида
Иллюстрация к книге — Стратегии решения математических задач. Различные подходы к типовым задачам [i_153.jpg]
которое намного легче поддается решению. Поскольку нужно найти значение x + 6, мы просто прибавим 1 к обеим частям этого уравнения и получим
Иллюстрация к книге — Стратегии решения математических задач. Различные подходы к типовым задачам [i_154.jpg]
или
Иллюстрация к книге — Стратегии решения математических задач. Различные подходы к типовым задачам [i_155.jpg]
Возьмем опять обратные величины обеих сторон уравнения и получим, что и требовалось найти. Это несомненно более изящный подход.

Задача 6.5

Дан круг и его диаметр; покажите, как разделить площадь на семь частей равной площади без использования прямых линий.

Вход
Поиск по сайту
Ищем:
Календарь