Онлайн книга «"Черная смерть". Советская морская пехота в бою»
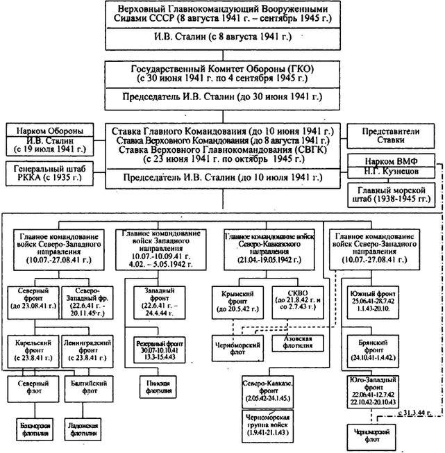
![]() Боевые действия усиленного 571-го отдельного батальона автоматчиков 260-й отдельной бригады морской пехоты Балтийского флота в тактическом десанте в районе Мерекюля ![]() Боевые действия морской пехоты Черноморского флота в составе оперативного десанта в районе Станичка, Южная Озерейка с 4 по 15 февраля 1943 г. ![]() Десанты Кронштадтской и Ленинградской военно-морских баз Балтийского флота 3–8 октября 1941 г. и боевые действия 6-й отдельной бригады морской пехоты в районе Урицка 3–10 октября 1941 г. ![]() Организация, численность и количество частей и соединений морской пехоты в период Великой Отечественной войны 1941–1945 гг. ![]() Организация высшего командования Вооруженными Силами СССР и руководства ВМФ в годы Великой Отечественной войны 1941–1945 гг. Примечание: ---- временное подчинение .... подчинение Балтийского и Черноморского флотов наркому ВМФ с 31.03.44 г. ![]() Принципиальная схема боевого применения морской пехоты в период Великой Отечественной войны 1941–1945 гг. ![]() Десанты военно-морской базы Ханко в 1941 г. Десанты морских стрелковых бригад, высаженные флотами и флотилиями в Великой Отечественной войне 1942–1944 гг.
![]() Решение командира 70-й ОМСБР на высадку и действия на берегу в Тулоксинской десантной операции ![]() Эшелонирование десанта 70-й ОМСБР при высадке в Тулоксинской десантной операции 23 июня 1944 г. ![]() Боевые действия 70-й ОМСБР на берегу 23–27 июня 1944 г. в ходе Тулоксинской десантной операции ![]() Принципиальная схема организации командования в десантных операциях во время Великой Отечественной войны 1941–1945 гг. ![]() Оборонительные действия 2-й гвардейской армии 12–13 декабря 1942 г. в Сталинградской стратегической наступательной операции ![]() Десант сводного полка 260-й отдельной бригады морской пехоты Балтийского флота на косу Фрише-Нерунг 26 августа 1945 г. ![]() Боевые действия морской пехоты Днепровской флотилии при овладении г. Фюрстенбергом 16–24 апреля 1945 г. в Берлинской наступательной операции |
||||||||||||||||||||||||||||||||
![Иллюстрация к книге — "Черная смерть". Советская морская пехота в бою [i_073.jpg] Иллюстрация к книге — "Черная смерть". Советская морская пехота в бою [i_073.jpg]](img/book_covers/073/73552/i_073.jpg)
![Иллюстрация к книге — "Черная смерть". Советская морская пехота в бою [i_074.jpg] Иллюстрация к книге — "Черная смерть". Советская морская пехота в бою [i_074.jpg]](img/book_covers/073/73552/i_074.jpg)
![Иллюстрация к книге — "Черная смерть". Советская морская пехота в бою [i_075.jpg] Иллюстрация к книге — "Черная смерть". Советская морская пехота в бою [i_075.jpg]](img/book_covers/073/73552/i_075.jpg)
![Иллюстрация к книге — "Черная смерть". Советская морская пехота в бою [i_076.jpg] Иллюстрация к книге — "Черная смерть". Советская морская пехота в бою [i_076.jpg]](img/book_covers/073/73552/i_076.jpg)
![Иллюстрация к книге — "Черная смерть". Советская морская пехота в бою [i_077.jpg] Иллюстрация к книге — "Черная смерть". Советская морская пехота в бою [i_077.jpg]](img/book_covers/073/73552/i_077.jpg)
![Иллюстрация к книге — "Черная смерть". Советская морская пехота в бою [i_078.jpg] Иллюстрация к книге — "Черная смерть". Советская морская пехота в бою [i_078.jpg]](img/book_covers/073/73552/i_078.jpg)
![Иллюстрация к книге — "Черная смерть". Советская морская пехота в бою [i_079.jpg] Иллюстрация к книге — "Черная смерть". Советская морская пехота в бою [i_079.jpg]](img/book_covers/073/73552/i_079.jpg)
![Иллюстрация к книге — "Черная смерть". Советская морская пехота в бою [i_080.jpg] Иллюстрация к книге — "Черная смерть". Советская морская пехота в бою [i_080.jpg]](img/book_covers/073/73552/i_080.jpg)
![Иллюстрация к книге — "Черная смерть". Советская морская пехота в бою [i_081.jpg] Иллюстрация к книге — "Черная смерть". Советская морская пехота в бою [i_081.jpg]](img/book_covers/073/73552/i_081.jpg)
![Иллюстрация к книге — "Черная смерть". Советская морская пехота в бою [i_082.jpg] Иллюстрация к книге — "Черная смерть". Советская морская пехота в бою [i_082.jpg]](img/book_covers/073/73552/i_082.jpg)
![Иллюстрация к книге — "Черная смерть". Советская морская пехота в бою [i_083.jpg] Иллюстрация к книге — "Черная смерть". Советская морская пехота в бою [i_083.jpg]](img/book_covers/073/73552/i_083.jpg)
![Иллюстрация к книге — "Черная смерть". Советская морская пехота в бою [i_084.jpg] Иллюстрация к книге — "Черная смерть". Советская морская пехота в бою [i_084.jpg]](img/book_covers/073/73552/i_084.jpg)
![Иллюстрация к книге — "Черная смерть". Советская морская пехота в бою [i_085.jpg] Иллюстрация к книге — "Черная смерть". Советская морская пехота в бою [i_085.jpg]](img/book_covers/073/73552/i_085.jpg)
![Иллюстрация к книге — "Черная смерть". Советская морская пехота в бою [i_086.jpg] Иллюстрация к книге — "Черная смерть". Советская морская пехота в бою [i_086.jpg]](img/book_covers/073/73552/i_086.jpg)