Книга Архимед. Закон Архимеда, страница 21 – Эугенио Мануэль Фернандес Агиляр

Авторы: А Б В Г Д Е Ж З И Й К Л М Н О П Р С Т У Ф Х Ч Ш Ы Э Ю Я
Книги: А Б В Г Д Е Ж З И Й К Л М Н О П Р С Т У Ф Х Ц Ч Ш Щ Ы Э Ю Я
Бесплатная онлайн библиотека LoveRead.ec

Онлайн книга «Архимед. Закон Архимеда»

📃 Cтраница 21
Иллюстрация к книге — Архимед. Закон Архимеда [img_60.jpg]

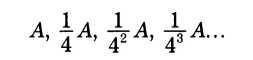
В наше время такая последовательность называется геометрической прогрессией, в которой каждый следующий элемент получается путем умножения предыдущего на определенное постоянное число, называемое знаменателем прогрессии. Общая формула геометрической прогрессии такова: аn = а1 • r(n-1)

В нашем случае имеем

a1 = A

r = 1/4 → an = 1/(4(n-1)) • А.

Иллюстрация к книге — Архимед. Закон Архимеда [img_61.jpg]

РИС. 12

Иллюстрация к книге — Архимед. Закон Архимеда [img_62.jpg]

РИС. 13

Таким образом, подставив значения n, мы получаем все слагаемые последовательности:

Иллюстрация к книге — Архимед. Закон Архимеда [img_63.jpg]

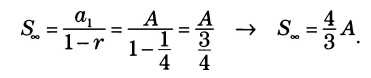
Можно сложить все элементы данной бесконечной последовательности, учитывая, что эта последовательность сходящаяся, с помощью формулы для суммы бесконечной убывающей геометрической последовательности:

Иллюстрация к книге — Архимед. Закон Архимеда [img_64.jpg]

Как видите, это значение, которое получил Архимед, не пользуясь нашими формулами. Каким-то образом он заметил, что где бы ни прервать последовательность, остаток ее будет составлять 1/3 от того слагаемого, на котором последовательность была прервана, независимо от того, что это было за слагаемое. Неизвестно, как он пришел к такому выводу. Возможно, что результата, представленного в трактате, ученый добился просто методом проб и ошибок. Главное, что он смутно предвидел принцип предела и остановился в одном шаге от него со своим методом, применяемым до сих пор для нахождения общей формулы рекуррентной последовательности.

Иллюстрация к книге — Архимед. Закон Архимеда [img_65.jpg]
Задача о быках

При чтении данной книги легко заметить, что выбранный стиль изложения весьма близок к научной статье, ведь ее аудитория явно интересуется математикой более, чем это можно ожидать от среднестатистического читателя. Однако «Задача о быках» выбивается из нашего стиля, поскольку изложена в виде стихов. Некоторые специалисты даже подвергали сомнению ее авторство, не только, впрочем, из-за ее поэтической формы, но и из-за самого содержания. И действительно были основания сомневаться в том, что Архимед мог решить данную задачу сам, хотя его операции с большими числами с помощью мириад проливают некоторый свет на возможные для ученого пути ее решения. Эта маленькая работа представляет собой 28 элегических дистихов, основанных на стихах Гомера. Состоящий из двух строк дистих — обычная форма для древнегреческой поэзии. Манускрипт был найден в 1773 году немецким поэтом Готхольдом Эфраимом Лессингом в герцогской библиотеке Вольфенбюттеля (Германия).


АХИЛЛЕС И ЧЕРЕПАХА

Зенон Элейский был греческим философом элейской школы и прославился своими парадоксами. Один из самых известных — это парадокс об Ахиллесе и черепахе. В нем говорится об ахейском воине Ахиллесе, столь хорошем бегуне, что его звали быстроногим. Зенон описывает довольно своеобразное состязание: соревнование между Ахиллесом и черепахой. Он предположил, что земноводное медленнее героя в два раза. Гордый Ахиллес дал черепахе фору в половину дистанции. Как говорит Зенон, когда Ахиллес достиг середины пути, черепаха уже успела проползти его четверть, то есть половину того расстояния, которое ей надо было преодолеть. Таким образом ситуация возвращается к своему началу: когда Ахиллес добегает до точки старта черепахи, она продвигается еще дальше, и так до бесконечности, следовательно выходит, что герой не догонит ее никогда. Архимед нашел ответ на этот парадокс, хотя и не сумел придать ему математическое оформление: сумма бесконечного количества слагаемых может оказаться конечным числом, то есть не бесконечностью. Говоря иначе, Зенон из Элеи не располагал таким важнейшим математическим инструментом, как исчисление бесконечно малых величин. Ахиллес догонит черепаху, потому что хотя отрезок можно делить на бесконечное число фрагментов, но, учитывая, что эти фрагменты все более мелкие, сумма их представляет конечное число. В наше время проблема обычно представляется в следующем виде:

Иллюстрация к книге — Архимед. Закон Архимеда [img_66.jpg]

Когда Ахиллес достигнет позиции АВ/2, где сначала находилась черепаха, она уже будет в точке АВ/4. В тот момент, когда Ахиллес добежит до позиции АВ/4, которую занимала черепаха, она будет уже в АВ/В и так далее.


Скоро потом ты увидишь Тринакрию остров;

Издавна Гелиос тучных быков и баранов пасет там на пышных,

Искусство нарезки параболоидов

В трактате «О коноидах и сфероидах» Архимед исследует тела, образованные сечением фигур вращения. Этот текст также предваряется письмом Досифею, в котором дается краткое резюме того, что адресат найдет в книге, — типичное вступление для Архимеда. После начальных определений и одной леммы видим 32 утверждения.

Параболоид (рисунок 14) — это трехмерная фигура, образованная вращением параболы вокруг своей оси; гиперболоид (рисунок 15) — трехмерная фигура, образованная вращением вокруг своей оси гиперболы; а эллипсоид (рисунок 16) — трехмерная фигура, которую образует вращающийся вокруг своей оси эллипс.

Иллюстрация к книге — Архимед. Закон Архимеда [img_74.jpg]

Иллюстрация утверждения 19 из трактата «О коноидах и сфероидах». Здесь можно видеть, как вписывается в параболоид и описывается вокруг него множество цилиндров одинаковой высоты.


Первые 20 утверждений носят вспомогательный характер. Утверждения 21-32 представляют собой самую важную часть трактата. В трактате «О коноидах и сфероидах» даются начала интегрального исчисления. Вводятся базовые принципы вычисления объемов криволинейных фигур вращения. Тем не менее до самого понятия интегрирования дело не дошло, потому что еще не была сформулирована концепция предела. Таким образом, основная идея текста состоит в приведении фигур вращения ко все более маленьким цилиндрам, как можно полнее вписывающимся в их объем (исчерпывание) или как можно ближе «облегающим» их снаружи (сжатие). Архимедов метод исчерпывания предстает здесь во всем своем блеске. Ученому нужно показать, что он может эффективно ограничить параболоид изнутри и снаружи. Это он и делает в утверждении 19: «Можно вписать в параболоид и описать вокруг него две фигуры, состоящие из цилиндров одинаковой высоты, так, чтобы описанная фигура превышала по объему вписанную на величину, меньшую любой заранее заданной». Это значит, что параболоид вписывается в «стопку» цилиндров-дисков» одинаковой толщины (узкие уплощенные цилиндры, ширина которых больше высоты, как у таблеток). И еще одна «стопка» цилиндров той же высоты вписывается в параболоид изнутри. Таким образом, объем параболоида будет больше общего объема вписанных в него цилиндров и меньше объема описанных. Как показано на рисунке, чем больше число таких «дисков» (при уменьшении их высоты), тем более приближается их общий объем к искомой величине. Принцип тут весьма похож на тот, что использовался при решении задачи квадратуры круга.

Реклама
Вход
Поиск по сайту
Ищем:
Календарь