Онлайн книга «Жизнь в невозможном мире»
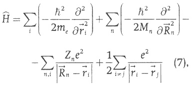
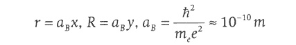
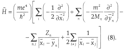
![]() где А, А есть скалярный и векторный потенциалы электромагнитного поля. Принципы квантовой механики Законы движения микроскопических частиц формулируются иначе, чем тел макроскопических. В масштабах микромира теряют смысл такие понятия, как траектория движения. Про электрон можно сказать, что он движется одновременно по бесконечному количеству траекторий, каждой из которых можно приписать то, что называется амплитудой. Амплитуда есть комплексное число, для данной траектории она задается формулой ![]() где S есть классическое действие на этой траектории, a h = 6.62 х 1034 дж/с — постоянная Планка. Вероятность того, что частица попадет из точки А в Б за данное время, задается квадратом модуля суммы амплитуд по всем возможным траекториям, соединяющим эти точки: ![]() Так как комплексная экспонента является осциллирующей функцией, вклады от траекторий, чьи действия отличаются друг от друга на величину порядка постоянной Планка, взаимно сокращаются, и достаточно тяжелая частица «выбирает» из всей массы траекторий ту, на которой действие минимально. Так по мере утяжеления массы частиц роль квантовых эффектов уменьшается. В заключение этого краткого экскурса в квантовую механику необходимо сказать о волновых функциях многих частиц. Оказывается, и этот поразительный факт имеет экспериментально верифицируемые последствия, а именно те, что частицы одинакового сорта неразличимы. То есть, например, все электроны во Вселенной совершенно одинаковы, и нельзя сделать такой эксперимент, чтобы отличить один электрон от другого. И вот все частицы делятся на два сорта, одни называются бозонами, другие фермионами. При перестановке координат бозонов их волновая функция не меняется, а когда меняются местами фермионы, их волновая функция меняет знак. Фермионы (протоны, нейтроны, электроны, нейтрино и множество других нестабильных частиц) преобразуются по спинорным представлениям группы Лоренца, а бозоны (фотоны и другие, менее известные частицы — переносчики внутриядерных взаимодействий) преобразуются по векторным представлениям. Итак, мы сформулировали основные принципы физики, управляющие миром в масштабах, больших размера атомного ядра и меньших размера планеты. Это именно то, что имеет отношение к медитации «Разумная конструкция». Остался последний штрих: вывести из этих общих принципов теорию, управляющую организацией материи в этих масштабах. И она действительно выводится, что означает: законы физики являются очень жесткой конструкцией, которую невозможно изменить, не поплатившись при этом определенным набором принципов, красоту которых читатель, надеюсь, смог должным образом оценить. Чтобы избежать излишних математических осложнений, я опишу эту «теорию всего» или, скорее, «теорию почти всего» в той форме, которая не берет во внимание релятивистские эффекты и поэтому пригодна только для описания соединений легких элементов, подобных водороду и гелию. Итак, волновая функция всех электронов и ядер такого сорта подчиняется уравнению Шредингера: ![]() где оператор (Гамильтониан), действующий на координаты электронов и ядер, определен как ![]() где Rn, r, обозначают координаты ядер и электронов, Мn, те — их массы, a Zn являются зарядами ядер. Уравнения (6), (7) и их релятивистские обобщения составляют основу теории материи. Давайте произведем замену переменных в (7), выразив все длины в атомных масштабах: ![]() где х, у являются уже безразмерными величинами. В их терминах (7) выглядит так: ![]() Сие означает, что все энергии пропорциональны, а выражение в квадратных скобках, не содержащее никаких размерных величин, зависит только от целых чисел Zn и безразмерных отношений те/Мп, то есть, по сути дела, от отношений масс электрона и протона и электрона и нейтрона. Таким образом, поскольку свободных параметров в теории практически нет, решить проблему устойчивости сложной материи путем их подгонки невозможно. |
![Иллюстрация к книге — Жизнь в невозможном мире [i_014.jpg] Иллюстрация к книге — Жизнь в невозможном мире [i_014.jpg]](img/book_covers/073/73467/i_014.jpg)
![Иллюстрация к книге — Жизнь в невозможном мире [i_015.jpg] Иллюстрация к книге — Жизнь в невозможном мире [i_015.jpg]](img/book_covers/073/73467/i_015.jpg)
![Иллюстрация к книге — Жизнь в невозможном мире [i_016.jpg] Иллюстрация к книге — Жизнь в невозможном мире [i_016.jpg]](img/book_covers/073/73467/i_016.jpg)
![Иллюстрация к книге — Жизнь в невозможном мире [i_017.jpg] Иллюстрация к книге — Жизнь в невозможном мире [i_017.jpg]](img/book_covers/073/73467/i_017.jpg)
![Иллюстрация к книге — Жизнь в невозможном мире [i_018.jpg] Иллюстрация к книге — Жизнь в невозможном мире [i_018.jpg]](img/book_covers/073/73467/i_018.jpg)
![Иллюстрация к книге — Жизнь в невозможном мире [i_019.jpg] Иллюстрация к книге — Жизнь в невозможном мире [i_019.jpg]](img/book_covers/073/73467/i_019.jpg)
![Иллюстрация к книге — Жизнь в невозможном мире [i_020.jpg] Иллюстрация к книге — Жизнь в невозможном мире [i_020.jpg]](img/book_covers/073/73467/i_020.jpg)