Книга Большой роман о математике. История мира через призму математики, страница 35 – Микаэль Лонэ

Авторы: А Б В Г Д Е Ж З И Й К Л М Н О П Р С Т У Ф Х Ч Ш Ы Э Ю Я
Книги: А Б В Г Д Е Ж З И Й К Л М Н О П Р С Т У Ф Х Ц Ч Ш Щ Ы Э Ю Я
Бесплатная онлайн библиотека LoveRead.ec

Онлайн книга «Большой роман о математике. История мира через призму математики»

📃 Cтраница 35

Можно продолжить расширять количество измерений. Пять значений в определении координаты точки будут означать, что эта точка находится в системе, состоящей из пяти измерений. Добавьте еще одну координату, и количество измерений возрастет до шести. Этот процесс можно продолжать бесконечно. Тысяча чисел в обозначении координат точки будет указывать, что она определена в системе, состоящей из тысячи измерений.

На этом уровне аналогия может показаться простой игрой слов и вызывать улыбку, т. к. может показаться, что такие системы не имеют практической пользы. Задумайтесь еще раз. Многомерные системы координат имеют многочисленные варианты применения, включая статистику, в задачи которой входит изучение больших массивов числовых данных.

При изучении, например, демографии может потребоваться определить количественные характеристики различных групп населения, такие как рост, вес или тип питания представителей каждой из них, а также отклонения от среднего значения. Для того чтобы изобразить это геометрически, потребуется определить расстояние между двумя точками: первой, соответствующей данным по каждому человеку, и второй, характеризующей среднее значение. Таким образом, количество координат соответствует количеству лиц в группе. Затем осуществляется расчет с помощью прямоугольных треугольников, для чего можно применить теорему Пифагора. Статистик, вычисляющий отклонения от среднего значения в группе, состоящей из тысячи людей, часто, не подозревая об этом, использует теорему Пифагора в пространстве, состоящем из тысячи измерений! Этот метод также применяется в эволюционной биологии, чтобы вычислить генетическую разницу между популяциями животных. Измеряя по формулам, взятым из геометрии, расстояния между генами, обозначенные в виде списков чисел, становится возможным установить относительную близость различных видов и постепенно построить схему генетического родства всех живых организмов.

Можно даже проводить исследования с бесконечным списком чисел, то есть анализировать точки в пространстве бесконечной размерности! На самом деле мы уже сталкивались с ними: это такие числовые последовательности, как, например, последовательность Фибоначчи. Изучая динамику роста популяции кроликов, итальянский математик, сам того не подозревая, занимался исследованиями в пространстве бесконечной размерности! Именно эта геометрическая интерпретация позволила математикам XVIII в. найти еле уловимую связь между последовательностью Фибоначчи и золотым сечением.

13
Мировой алфавит
Иллюстрация к книге — Большой роман о математике. История мира через призму математики [_88.jpg]

«Философия написана в этой огромной книге, которая всегда открыта перед нашими глазами – я имею в виду Вселенную. Но мы не сможем ее понять до тех пор, пока не научимся понимать ее язык и символы, из которых она состоит. Она написана на языке математики, а его символы – это треугольники, круги и другие геометрические фигуры, без помощи которых человек не сможет постичь ее смысл».

Эти слова, входящие с число самых известных в истории науки, были написаны в 1623 г. самим Галилео Галилеем в его книге под названием «Пробирщик» (итал. Il Saggiatore).

Галилео Галилей, несомненно, был одним из самых деятельных и талантливых ученых всех времен. Итальянского ученого часто называют основоположником современной физики. Надо сказать, что список его открытий поистине впечатляет. Он создал первый телескоп, открыл существование колец Сатурна, солнечные пятна, фазы Венеры и основные четыре спутника Юпитера. Один из самых известных сторонников гелиоцентрической системы мира, сформулированной Коперником, он описал принцип относительности движения, который теперь носит имя Галилея, и был первым, кто экспериментально изучал падающие тела.

В «Пробирщике» описывается тесная связь между физикой и математикой. Галилео Галилей был одним из первых, кто заметил эту зависимость. Необходимо отдельно отметить, что он пошел в хорошую школу, где в возрасте 19 лет ему преподавал основы математики Остилио Риччи, один из учеников Тартальи. Для ученых последующих поколений алгебра и геометрия окончательно стали языком, на котором говорит мир.

Необходимо иметь четкое представление о природе этой взаимозависимости между математикой и физикой. Потому что, конечно же, мы уже неоднократно видели с самого начала нашей истории, что математика всегда использовалась, чтобы изучить и понять мир. Однако в XVII в. произошло нечто новое. До этого времени математические модели оставались на уровне человеческих конструкций, созданных по аналогии с физическими объектами. Когда землемеры из Месопотамии использовали геометрию для измерения прямоугольного поля, оно было размечено человеком. В природе нет правильных прямоугольников – их расчерчивают люди. Аналогично этому, когда географы проводят триангуляцию местности для составления карты, полученные треугольники наносятся искусственно.

Сейчас же речь идет о совсем другой задаче, не просто об описании окружающего мира с математической точки зрения! Да, некоторые ученые эпохи Античности уже пытались сделать это раньше. Например, Платон, который, как вы помните, проводил параллель между пятью правильными многогранниками и четырьмя стихиями и космосом. Эта идея была гордостью пифагорейцев, хотя на самом деле их теории редко носили серьезный научный характер. Построенные на чисто метафизических соображениях и не подтвержденные экспериментально, почти все они в конечном счете были опровергнуты.

В XVII в. ученые пришли к выводу, что сама природа в различных своих проявлениях управляется точными математическими законами, которые могут быть выявлены экспериментальным путем. Одним из наиболее ярких достижений этого периода, несомненно, стало открытие закона всемирного тяготения Исааком Ньютоном.

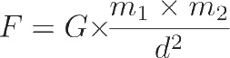
В своей работе «Математические начала натуральной философии» (от лат. Philosophiae naturalis principia mathematica) английский ученый впервые доказал, что падение тел на Землю и вращение звезд на небе можно объяснить одним явлением: все объекты Вселенной притягиваются друг к другу. Эту силу практически невозможно обнаружить для мелких предметов, но она становится огромной в случае, если речь идет о планетах или звездах. Земля притягивает объекты, поэтому они падают. Земля притягивает Луну и, в какой-то степени можно сказать, что Луна падает тоже. Но поскольку Земля круглая и Луна движется на высокой скорости, она непрерывно падает рядом с Землей, вращаясь по кругу! Аналогичным образом планеты вращаются вокруг Солнца.

Ньютон не только открыл закон притяжения, но и вывел математическую формулу для определения величины силы, с которой объекты притягивают друг друга. Любые два тела притягиваются с силой, пропорциональной произведению их масс, разделенному на квадрат расстояния между ними. Что, используя символы Виета, можно записать следующим образом:

Иллюстрация к книге — Большой роман о математике. История мира через призму математики [_89.jpg]
Вход
Поиск по сайту
Ищем:
Календарь