Книга Сейчас. Физика времени, страница 91 – Ричард А. Мюллер

Авторы: А Б В Г Д Е Ж З И Й К Л М Н О П Р С Т У Ф Х Ч Ш Ы Э Ю Я
Книги: А Б В Г Д Е Ж З И Й К Л М Н О П Р С Т У Ф Х Ц Ч Ш Щ Ы Э Ю Я
Бесплатная онлайн библиотека LoveRead.ec

Онлайн книга «Сейчас. Физика времени»

📃 Cтраница 91

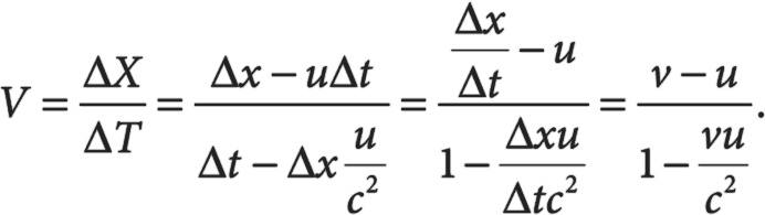
ΔT = T2T1 = γ[(t2t1) − u(x2x1)/c²] = γ[ΔtuΔx/c²].

А теперь разделим одно уравнение на другое, чтобы исключить γ:

Иллюстрация к книге — Сейчас. Физика времени [i_006.jpg]

Это уравнение для преобразования скорости, позволяющее выразить скорость V во второй системе отсчета через v – скорость в первой системе отсчета.

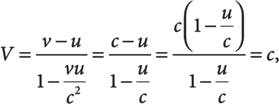
Пусть v = c, то есть объект (к примеру, фотон) движется со скоростью света в первой СО. Во второй системе отсчета его скорость равна:

Иллюстрация к книге — Сейчас. Физика времени [i_007.jpg]

вне зависимости от u, относительной взаимной скорости двух систем отсчета. Если v = c, то V = c. Объекты, движущиеся со скоростью света в какой-то одной системе отсчета, движутся с той же скоростью и во всех остальных системах. Попробуйте подставить в уравнение v = −c и посмотрите, что получится. Удивлены?

Аналогичный вывод показывает, что c не меняется даже при произвольном направлении света [277].

Этот результат объясняет неудачу опыта Майкельсона−Морли в 1887 году, когда исследователи хотели обнаружить разницу скорости света в двух направлениях, первое из которых параллельно движению Земли, а второе – перпендикулярно этому движению.

Время-перевертыш

Очень интересные вещи происходят, если два разделенных события близки по времени. Воспользуемся еще одним уравнением (взятым из приведенных выше рассуждений об одновременности):

ΔT = γ(ΔtvΔx/c²) = γΔt[1 − (Δxt)(v/c²)].

Определим ∆x/∆t = VE. Это псевдоскорость, которая «соединяет» два события. Записанное нами вовсе не означает, что чему-то действительно придется двигаться от одного события к другому; это просто скорость, с которой нужно было бы двигаться, чтобы присутствовать при обоих событиях. Может ли VE быть больше c? Да, конечно. Любые два разделенных события, которые происходят одновременно, имеют бесконечную VE. Это не физическая скорость. Используя эту новую величину, мы можем записать:

ΔT = γΔt(1 − VEv/c²).

Будем считать для примера, что разность ∆t положительна. Уравнение показывает, что ∆T, в принципе, может быть и отрицательной. Для этого нужно всего лишь, чтобы отрицательное слагаемое в скобках было по модулю больше 1. Это означает, что в новой системе порядок событий может смениться на обратный. Такой результат может повлечь за собой самые разные следствия для причинной зависимости.

Чтобы VEv/c² было больше единицы, VE/c должно быть больше, чем c/v. Не забывайте, v – это скорость, связывающая две системы отсчета; она в любых обстоятельствах должна быть меньше c. Это означает, что c/v всегда будет больше единицы. Это уравнение говорит, что если VE/c больше, чем c/v (что тоже делает его больше единицы), то порядок событий в двух системах отсчета меняется на обратный. Еще раз обратите внимание, что величина VE ничем не ограничена, поскольку это всего лишь псевдоскорость, призванная «соединить» два события, и что для двух сильно разнесенных в пространстве событий, но происходящих одновременно, величина VE будет бесконечна.

Математика парадокса шеста и сарая

Обратимся вновь к главе 4. В системе отсчета, связанной с сараем, шест входит концом в дверь и продолжает двигаться, пока не упрется в заднюю стену. Определим t1 = 0 как момент, когда передний конец шеста доходит до задней стены, и выберем систему координат так, что в этой точке x1 = 0. Из-за лоренцева сжатия в системе отсчета, связанной с сараем, задний конец шеста поравняется с дверью в этот же момент, при t2 = 0, в точке x2 = −6 м.

Теперь рассчитаем, что происходит в системе отсчета, связанной с шестом. Передний конец шеста упрется в заднюю стену сарая в момент T1 с учетом уравнения преобразования Лоренца:

T1 = γ(t1x1v/c²) = 2(0 − 0v/c²) = 0.

Задний конец шеста поравняется с дверью в момент:

T2 = γ(t2x2v/c²) = 2(0 + 6v/c²).

Вычислив v/c из γ = 2, получаем β = v/c = 0,866. Таким образом:

T2 = 2(0 + 5,196/c) = 10,392/c.

Воспользовавшись значением скорости света c = 3·108 метров в секунду (м/с), получим, что шест целиком войдет в сарай за T2 = 34,64/109 с = 34,64 × 10−9 с. Так что в момент, когда передний конец шеста упрется в стену, задний его конец еще не дойдет до двери. Она поравняется с ней через 34,64 наносекунды (миллиардной доли секунды).

Вычислим в системе отсчета, связанной с шестом, где будет находиться его задний конец, когда передний упрется в стену. Воспользуемся уравнением:

x2 = γ(X2 + vT2).

Решив его относительно X2 и подставив v = 0,866c, x2 = −6 метров и T2 = 10,392/c, получаем:

X2 = x2/γ − vT2 = −6/2 − 9 = −12 (метров).

Вход
Поиск по сайту
Ищем:
Календарь