Онлайн книга «Космос»
|
Мы приведем современную версию доказательства иррациональности квадратного корня из двух, опирающуюся на reductio ad absurdum и простые алгебраические выкладки, а не чисто геометрическое доказательство, открытое пифагорейцами. Стиль доказательства и способ размышления не менее интересны, чем получаемый результат. Рассмотрим квадрат со стороной, равной единице (одному сантиметру, одному дюйму, одному световому году — не суть важно). ![]() Диагональ ВС делит квадрат на два прямоугольных треугольника. В таких прямоугольных треугольниках, согласно теореме Пифагора, 12 + 12 = х2. Поскольку 12 +12 = 1 + 1 = 2, то х2 = 2, и мы можем записать, что х = √2, то есть корню квадратному из двух. Предположим, что √2 является рациональным числом, то есть √2 = p/q, где p и q — целые числа. Они могут быть любыми, сколь угодно большими, но обязательно целыми числами. Мы, конечно, потребуем, чтобы у них не было общих делителей. Если мы, например, заявляем, что √2 = 14/10, то, безусловно, можем сократить эту дробь на множитель 2 и записать: p = 7, q = 5 вместо p = 14, q = 10. Будем далее считать, что у числителя и знаменателя сокращены все общие множители. Для выбора значений p и q y нас остается бесконечное число вариантов. Возведя в квадрат равенство √2 = p/q, получим: 2 = р2/q2, или после домножения обеих частей на q2: p2 = 2q2 (1) Таким образом, р2 представляет собой некоторое число, умноженное на 2. Однако квадрат любого нечетного числа является нечетным числом (12 = 1,32 = 9,52 = 25,72 = 49 и т. д.). Получается, что само число ρ должно быть четным, то есть можно записать ρ = 2s, где s — некоторое целое число. Подставив его в уравнение (1), находим: p2 = (2s)2 = 4s2 = 2q2. Деление обеих частей последнего равенства на 2 дает: g 2 = 2s 2. То есть q 2 тоже является целым числом, и, опираясь на тот же аргумент, что был использован для р, мы заключаем, что q тоже является четным. Но если числа p и q оба делятся на два, значит, они содержат несокращенный общий делитель, что противоречит нашему предположению. Reductio ad absurdum. Но в чем состояло предположение? Доказательство не может запретить нам сократить общие множители, разрешив использовать 14/10, но запретив 7/5. Поэтому ошибочным должно быть начальное предположение: p и q не могут быть целыми числами, a √2 является иррациональным числом. В действительности √2 = 1,4142135… Насколько ошеломляющее и неожиданное заключение! Какое элегантное доказательство! Но пифагорейцы считали необходимым скрывать это великое открытие. Приложение 2. Пять пифагоровых
[242] тел
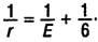
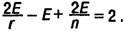
Правильный многоугольник — это двумерная фигура с определенным числом η одинаковых сторон. В случае η = 3 получается равносторонний треугольник, при η = 4 — квадрат, при η = 5 — правильный пятиугольник и т. д. Многогранник — это трехмерная фигура, все стороны которой являются многоугольниками. Например, куб имеет шесть квадратных граней. Правильным называют многогранник, все грани которого представляют собой одинаковые правильные многоугольники, причем в каждой вершине сходится одинаковое число граней. Для работ пифагорейцев и Кеплера фундаментальное значение имеет факт, что существует пять, и только пять, правильных тел. Простейшее доказательство этого факта можно получить из открытого значительно позже Декартом и Леонардом Эйлером соотношения, связывающего число граней F, число ребер Е и число вершин И в любом многограннике: V — E + F = 2. (2) Так, у куба 6 граней (F = 6) и 8 вершин (V = 8). Отсюда получаем: 8 — Ε + 6 = 2; 14 — Е = 2 и Ε = 12. Уравнение (2) предсказывает, что у куба 12 ребер, и это соответствует действительности. Простое геометрическое доказательство уравнения (2) можно найти в книге Куранта и Роббинса «Что такое математика?» [243]. Пользуясь уравнением (2), легко доказать, что существует всего пять правильных тел. Каждое ребро правильного многогранника является общей стороной двух прилегающих друг к другу граней. Возвращаясь к примеру с кубом: каждое ребро — это граница между двумя квадратами. Если мы подсчитаем все стороны всех граней многогранника ηF, то каждое ребро окажется сосчитанным дважды, то есть ηF = 2E (3) Обозначим r число ребер, которые сходятся в одной вершине. Для куба r = 3. Кроме того, каждое ребро соединяет две вершины. Если мы подсчитаем концы всех ребер /V, то вновь сосчитаем каждую вершину дважды, то есть rV = 2E (4) Подставляя выражения для V и F из уравнений (3) и (4) в уравнение (2), получаем:
Деление обеих частей уравнения на 2Е дает:
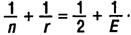
Мы знаем, что значение η не может быть меньше 3, поскольку треугольник является простейшим многоугольником. Нам также известно, что r не может быть меньше 3, поскольку в каждой вершине многогранника сходится не меньше трех граней. Если η и r одновременно будут больше 3, то с учетом того, что они являются целыми числами, левая часть уравнения (5) окажется меньше либо равна 1/2, и ни при каком значении Е оно не будет превращаться в равенство. Таким образом, осуществив reductio ad absurdum, мы доказали, что либо π =3 и r ≥ 3, либо r = 3 и π ≥ 3. Если η = 3, уравнение (5) принимает вид (1/3) + (1/r) = (1/2) + (1/Е) или
В данном случае r может принимать только значения 3, 4 и 5. (При η, равном и большем 6, уравнение не имеет решений.) Значения n = 3, r = 3 соответствуют многограннику, у которого в каждой вершине сходится по три треугольника. Согласно уравнению (6) он имеет 6 ребер; согласно уравнению (3) у него 4 грани; согласно уравнению (4) — 4 вершины. Очевидно, что это пирамида, или тетраэдр. При n = 3, r = 4 получаем восьмигранник, у которого в каждой вершине сходится по четыре треугольные грани, — октаэдр. Значения n = 3, r = 5 соответствуют икосаэдру — многограннику с двадцатью треугольными гранями, в каждой вершине которого сходится по пять треугольников. |
![Иллюстрация к книге — Космос [i_005.jpg] Иллюстрация к книге — Космос [i_005.jpg]](img/book_covers/073/73378/i_005.jpg)
![Иллюстрация к книге — Космос [i_006.jpg] Иллюстрация к книге — Космос [i_006.jpg]](img/book_covers/073/73378/i_006.jpg)
![Иллюстрация к книге — Космос [i_007.jpg] Иллюстрация к книге — Космос [i_007.jpg]](img/book_covers/073/73378/i_007.jpg)
![Иллюстрация к книге — Космос [i_008.jpg] Иллюстрация к книге — Космос [i_008.jpg]](img/book_covers/073/73378/i_008.jpg)