Книга Сигнал и Шум. Почему одни прогнозы сбываются, а другие - нет, страница 70 – Нейт Сильвер

Авторы: А Б В Г Д Е Ж З И Й К Л М Н О П Р С Т У Ф Х Ч Ш Ы Э Ю Я
Книги: А Б В Г Д Е Ж З И Й К Л М Н О П Р С Т У Ф Х Ц Ч Ш Щ Ы Э Ю Я
Бесплатная онлайн библиотека LoveRead.ec

Онлайн книга «Сигнал и Шум. Почему одни прогнозы сбываются, а другие - нет»

📃 Cтраница 70
Иллюстрация к книге — Сигнал и Шум. Почему одни прогнозы сбываются, а другие - нет [i_046.jpg]

Рис. 6.3. Прогнозируемое распределение вероятности роста реального ВВП США в 2008 г. Источник: SPF, ноябрь 2007 г.


Нечто подобное просят сделать и экономистов в рамках опроса SPF, когда они прогнозируют величину ВВП и других переменных. Например, их просят оценить вероятность того, что значение ВВП окажется между 2 и 3 % или же между 3 и 4 %. Вот как выглядели, по результатам их опроса, значения ВВП в ноябре 2007 г. (рис. 6.3).

Как упоминалось выше, экономисты в рамках этого опроса думали, что прирост ВВП по итогам 2008 г. составит примерно 2,4 %, то есть окажется чуть ниже уровня долгосрочного тренда. Этот прогноз оказался невероятно плохим. На самом деле, после того как ударил финансовый кризис, ВВП снизился на 3,3 %. Но что еще хуже: экономисты очень доверяли своим плохим прогнозам. По их мнению, вероятность снижения величины ВВП в 2008 г. составляла лишь 3 % {388}. А вероятность спада в экономике на уровне 2 % или более (что и произошло чуть позже) составляла, по их мнению, лишь 1 из 500 {389}.

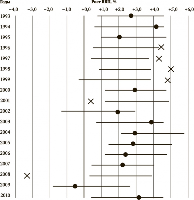
На самом деле экономисты уже давно демонстрируют слишком высокую степень доверия к своим способностям предсказывать направление развития экономики. На рис. 6.4 приведены данные о прогнозах роста ВВП, взятые из результатов опроса SPF за 18-летний период между 1993 и 2010 гг. {390}. Горизонтальными линиями на рисунке отмечены интервалы прогнозирования в 90 %, указанные экономистами.

Иллюстрация к книге — Сигнал и Шум. Почему одни прогнозы сбываются, а другие - нет [i_047.jpg]

Рис. 6.4. Прогнозы ВВП: 90 %-ные интервалы прогнозирования и реальные показатели


Интервал прогнозирования представляет собой диапазон наиболее вероятных вариантов значений роста ВВП в рамках прогноза и чем-то напоминает величину ошибки при политических опросах. Допустим, предполагается, что интервал прогнозирования, равный 90 %, должен покрывать 90 % всех возможных реальных вариантов. Вне этого интервала остаются лишь 10 % нестандартных случаев в хвостовых концах распределения. Если бы прогнозы экономистов были настолько точными, как заявляли они сами, то можно было бы ожидать, что реальная величина ВВП будет находиться в рамках указанных ими интервалов прогнозирования в 9 или в 10 случаях, или во всех случаях, за исключением двух, за 18 лет.

Реальная величина ВВП выпадала за пределы прогнозов экономистов шесть раз за 18 лет, или примерно в одной трети случаев. Авторы еще одного исследования, анализировавшие цифры, полученные начиная с самых первых опросов SPF в 1968 г., продемонстрировали, что ситуация с прогнозами экономистов еще хуже: реальный показатель ВВП не попадает в интервал прогнозирования почти в половине случаев {391}. Не стоит считать, что экономистам просто не повезло {392} – на самом деле они фундаментально переоценили степень надежности своих прогнозов.

На самом деле, когда группа экономистов дает вам свой прогноз по ВВП, истинный интервал прогнозирования в 90 %, основанный на соответствии этих прогнозов реальности {393}, а не на заявляемой самими экономистами степени точности, захватывает примерно 6,4 пункта ВВП (что эквивалентно ошибке в ±3,2 %) [83].

Иными словами, когда вы слышите в новостях, что ВВП вырастет в следующем году на 2,5 %, это может с тем же успехом означать и невероятный рост на 5,7 %, и падение на 0,7 %, то есть достаточно серьезную рецессию. До сих пор экономисты не смогли придумать ничего лучше, и нет особенных свидетельств тому, что качество их прогнозов улучшается. Старая шутка об экономистах, выявивших девять из последних шести рецессий, имеет под собой вполне реальную основу. В течение 1990‑х годов экономисты смогли заранее предсказать лишь две из 60 рецессий {394}.

В этом смысле экономисты не уникальны. Результат такого рода можно считать либо следствием того, что эксперты не умеют давать честное описание неопределенности в своих прогнозах, либо следствием того, что они не очень заинтересованы это делать. Такая же чрезмерная уверенность в достоверности прогнозов наблюдается и во множестве других областей, в том числе в медицинских исследованиях, политических науках, финансах и психологии. Судя по всему, она применяется и тогда, когда мы, создавая прогноз, основываемся на своих суждениях (а именно так делали политологи – гости Фила Тэтлока) или когда мы используем для этого статистическую модель (как в случае неудачных прогнозов землетрясений, описанных в главе 5).

Однако, в отличие от представителей других профессий, подобные ошибки экономистов могут считаться непростительными. В первую очередь их прогнозы не просто слишком самоуверенны, но и плохо применимы в условиях реального мира. Ошибка в прогнозах реального значения ВВП может приводить к существенным экономическим последствиям. Кроме того, организованные усилия по предсказанию значения таких переменных, как ВВП, проводятся уже много лет, начиная с опроса, проведенного Ливингстоном в 1946 г. Эти результаты хорошо задокументированы и имеются в бесплатном доступе. Получение обратной связи от того, как проявили себя наши прогнозы в реальности, – это единственный и, возможно, самый важный способ их улучшить.

Вход
Поиск по сайту
Ищем:
Календарь