Книга Симпсоны и их математические секреты, страница 58 – Саймон Сингх

Авторы: А Б В Г Д Е Ж З И Й К Л М Н О П Р С Т У Ф Х Ч Ш Ы Э Ю Я
Книги: А Б В Г Д Е Ж З И Й К Л М Н О П Р С Т У Ф Х Ц Ч Ш Щ Ы Э Ю Я
Бесплатная онлайн библиотека LoveRead.ec

Онлайн книга «Симпсоны и их математические секреты»

📃 Cтраница 58

Хотя Коэн не изобрел никакой кардинально новой компьютерной технологии и не решил загадку «P = NP или P ≠ NP», он все же считает, что мог внести косвенный вклад в научные исследования: «Я действительно предпочел бы всю жизнь заниматься научными исследованиями, но все же я считаю, что “Симпсоны” и “Футурама” делают математику и другие точные науки увлекательными, что может оказать влияние на новое поколение, а значит, кто-то после меня сумеет достичь того, чего не удалось мне. Безусловно, я могу утешить себя такими мыслями и спокойно спать по ночам».

Что касается Кена Килера, то он оценивает тот период, когда всерьез занимался математикой, как возможность для развития на пути к профессии комедийного сценариста: «Все, что с нами происходит, оказывает на нас определенное влияние. Я уверен в том, что учеба в магистратуре помогла мне стать хорошим сценаристом. И я ни в коем случае не сожалею об этом. Например, я выбрал в качестве серийного номера Бендера число 1729, исторически значимое число в математике. Я считаю, что уже одна только эта ссылка полностью оправдывает мою докторскую степень. Правда, я не знаю, согласен ли с этим мой научный руководитель».

Приложение 1
Использование саберметрики в футболе

Билли Бин начал размышлять о применении методов саберметрики в футболе вскоре после того, как владельцы Oakland Athletics заинтересовались покупкой английских футбольных клубов, таких как Liverpool, Arsenal и Tottenham Hotspur.

Тем не менее еще до Билли Бина некоторые люди анализировали футбол с точки зрения математики. В частности, было проведено тщательное исследование влияния игроков, получивших красные карточки. Этот вопрос заинтересовал бы Лизу Симпсон, которой вручил красную карточку отец во время футбольного матча в эпизоде «Мардж – геймер» (Marge Gamer, сезон 18, эпизод 17; 2007 год).

Три голландских профессора, Г. Риддер, Дж. С. Крамер и П. Хопстакен, написали работу под названием Down to Ten: Estimating the Effect of a Red Card in Soccer («Десять игроков: оценка влияния красной карточки в футболе»), которая была опубликована в 1994 году в Journal of the American Statistical Association. В ней авторы предлагают «модель оценки влияния красной карточки с учетом исходных различий между сильными сторонами команд, а также количества голов, забитых во время матча. Точнее говоря, мы предлагаем неоднородную по времени пуассоновскую модель с учетом воздействия на счет любой стороны в конкретном матче. Мы определяем дифференцированное воздействие красной карточки методом условной оценки максимального правдоподобия вне зависимости от результатов матча».

Авторы работы утверждали, что защитник, который идет на преднамеренное столкновение с нападающим вне штрафной площадки, вносит положительный вклад в игру своей команды, предотвращая гол, однако у этого вклада есть и отрицательный аспект, поскольку данного игрока удалят с поля и он не сможет играть до конца матча. Если инцидент происходит в последнюю минуту матча, то положительный вклад перевешивает отрицательный, потому что игрока удаляют с поля перед самым окончанием матча. Однако если инцидент имеет место в первую минуту матча, то отрицательный вклад превосходит положительный, так как в команде остается всего десять игроков почти на весь матч. Общее воздействие в таких крайних случаях соответствует здравому смыслу, но что происходит, если возможность предотвратить гол посредством преднамеренного столкновения появляется посредине матча? Стоит ли идти на такой шаг?

Профессор Риддер и его коллеги использовали математический подход для определения точки перехода, или того момента матча, после которого удаление с поля становится целесообразным, если подразумевает шанс предотвратить гол.

Если исходить из предположения, что команды хорошо подобраны и нападающий почти наверняка забьет гол, тогда целесообразно пойти на столкновение в любое время после шестнадцатой минуты матча продолжительностью девяносто минут. Если вероятность гола составляет 60 процентов, тогда защитнику следует подождать до сорок восьмой минуты матча, и только потом идти на столкновение с нападающим. Если вероятность гола всего 30 процентов, то защитнику необходимо подождать до семьдесят первой минуты матча, прежде чем делать свое грязное дело. Это не самый достойный способ применения математики в спорте, но все же данный результат можно считать полезным.

Приложение 2
Анализ тождества Эйлера

e+ 1 = 0

Тождество Эйлера примечательно тем, что оно объединяет пять фундаментальных математических констант: 0, 1, π, e и i. Наше краткое объяснение поможет пролить свет на то, что значит возвести e в мнимую степень, что, в свою очередь, позволит показать, почему тождество верно. Но для этого необходимо иметь общее представление о некоторых специальных математических понятиях, таких как тригонометрические функции, радианы и мнимые числа.

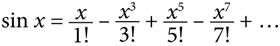
Начнем с ряда Тейлора, который позволяет представить любую функцию в виде суммы бесконечного числа членов ряда. Если вы хотите больше узнать о построении ряда Тейлора, вам придется изучить этот вопрос самостоятельно, но для наших целей достаточно того, что функцию ex можно представить в следующем виде:

Иллюстрация к книге — Симпсоны и их математические секреты [i_091.jpg]

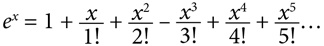
Здесь x может иметь любое значение, поэтому мы можем подставить ix вместо x, где i² = −1. Таким образом, мы получим следующий ряд:

Иллюстрация к книге — Симпсоны и их математические секреты [i_092.jpg]

Далее сгруппируем члены ряда в зависимости от того, есть ли в них i или нет:

Иллюстрация к книге — Симпсоны и их математические секреты [i_093.jpg]

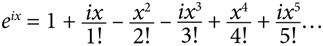
В качестве на первый взгляд неуместного отступления можно также найти пару рядов Тейлора, представляющих функции синуса и косинуса, что дает следующий результат:

Иллюстрация к книге — Симпсоны и их математические секреты [i_094.jpg]
Иллюстрация к книге — Симпсоны и их математические секреты [i_095.jpg]

Следовательно, мы можем записать eix через sin x и cos x:

eix = cos x + i sin x

В формуле Эйлера присутствует eiπ, и теперь мы можем подставить π вместо x:

eiπ = cos π + i sin π

Вход
Поиск по сайту
Ищем:
Календарь