Онлайн книга «Симпсоны и их математические секреты»
|
И последнее: сценаристы «Симпсонов» тоже в восторге от числа e. Оно не только присутствует на корешке одной из книг в эпизоде «ДеньгоБАРТ», но и особо отмечается в эпизоде «Сражение перед Рождеством» (The Fight Before Christmas, сезон 22, эпизод 8; 2010 год). Последний фрагмент эпизода сделан в стиле образовательной программы для детей «Улица Сезам», поэтому заканчивается традиционной спонсорской рекламой. Однако вместо фразы «Спонсоры сегодняшней программы “Улица Сезам” – буква c и число 9» зрителям озвучили фразу «Спонсоры сегодняшнего показа “Симпсонов” – символ умляут [46] и число e (не путать с буквой “е”). Это число, экспоненциальная функция которого – производная от него самого». Глава 12
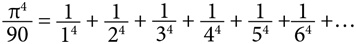
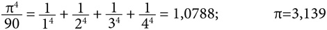
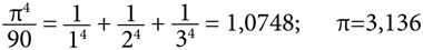
Еще один кусочек числа π В эпизоде «Оковы Мардж» (Marge in Chains, сезон 4, эпизод 21; 1993 год) Мардж арестовывают после того, как она забывает заплатить за бутылку бурбона в магазине «На скорую руку». Мардж привлекают к суду, а ее интересы представляет адвокат Лайонел Хац, человек с сомнительной репутацией. Еще до начала суда Хац признает, что это, вероятно, будет трудная битва, потому что у него плохие отношения с судьей: «Он ненавидит меня с тех пор, как я вроде бы наехал на его собаку… Замените слово “вроде” на слово “неоднократно”, а слово “собака” на “сын”». Стратегия защиты Мардж, которой решил придерживаться Хац, сводится к дискредитации владельца магазина «На скорую руку» Апу Нахасапимапетилона, который выступает в качестве свидетеля по обвинению Мардж в краже. Однако когда он вызывает Апу для дачи свидетельских показаний и спрашивает, забывал ли он когда-либо что-нибудь, Апу пытается показать, что у него идеальная память, и отвечает: «Нет, но я могу назвать число π до сорока тысяч десятичных знаков. Последняя цифра 1». На Гомера это не производит особого впечатления, и он просто думает про себя: «Мм… Пи(рог)». Поразительное заявление Апу о том, что он запомнил до сорока тысяч десятичных знаков числа π, имеет смысл только в случае, если математики уже рассчитали это число с такой точностью. Так какова же была ситуация с его вычислением в 1993 году, когда эпизод вышел на экраны? В главе 2 мы видели, как математики, начиная с древних греков, использовали многогранники для определения все более точного значения числа π и получили в итоге результат с точностью до тридцать четвертого десятичного знака. В 1630 году австрийский астроном Кристоф Гринбергер рассчитал число π с помощью многогранников до тридцать восьмого десятичного знака. С научной точки зрения нет совершенно никакого смысла в определении следующих цифр, поскольку данного значения вполне достаточно для выполнения самых сложных астрономических расчетов с максимально высокой точностью. И это не преувеличение. Если бы астрономы установили точный диаметр известной нам части Вселенной, то значения числа π до тридцать восьмого десятичного знака вполне бы хватило для расчета окружности Вселенной с точностью до размера атома водорода. Тем не менее борьба за установление все большего количества цифр числа π продолжилась. Эта задача стала напоминать восхождение на Эверест. Число π выступало на математическом ландшафте в роли далекой горной вершины, и математики стремились взобраться на нее. Однако стратегия математиков изменилась. Вместо использования медленного подхода с применением многогранников они открыли ряд формул для определения значения числа π более быстрым способом. Например, в XVIII столетии Леонард Эйлер вывел следующую элегантную формулу: ![]() Интересно то, что число π можно вывести из такой простой последовательности чисел. Это равенство известно как бесконечный ряд, поскольку оно состоит из бесконечного количества членов, и чем больше членов включено в расчеты, тем точнее будет результат. Ниже представлены результаты вычисления числа π с использованием одного, двух, трех, четырех и пяти членов ряда Эйлера: ![]() ![]() ![]() ![]() ![]() Метод аппроксимации позволяет все плотнее приблизиться к истинному значению числа π; при этом по мере включения дополнительного члена уравнения результат становится точнее. Вычисление числа π с помощью пяти членов уравнения дает значение 3,140, что обеспечивает точность до двух десятичных знаков. В случае использования ста членов уравнения число π можно рассчитать с точностью до шести десятичных знаков: 3,141592. Бесконечный ряд Эйлера – достаточно эффективный метод расчета значения числа π, но следующие поколения математиков изобрели и другие бесконечные ряды, позволяющие ускорить вычисления. Джон Мэчин, который в начале XVIII столетия был профессором астрономии в Колледже Грешема в Лондоне, разработал один из самых быстро сходящихся, хотя и не такой элегантный бесконечный ряд [47]. Мэчин превзошел все предыдущие достижения, рассчитав значение числа π с точностью до ста десятичных знаков. Другие математики использовали бесконечный ряд Мэчина еще активнее. К их числу относится и английский математик-любитель Уильям Шенкс, который посвятил большую часть своей жизни вычислению π. В 1874 году он заявил, что рассчитал 707 цифр числа π. В знак уважения к столь героическому достижению музей науки в Париже, известный под названием «Дворец открытий», украсил свой зал числа π надписью со всеми 707 цифрами π. К сожалению, в 40-х годах ХХ века в выкладках Шенкса была выявлена ошибка при расчете 527 десятичного знака, из-за чего все последующие цифры оказались неправильными. Дворец открытий вызвал маляров, а репутация Шенкса была безнадежно испорчена. Тем не менее 526 десятичных знаков все же оставались рекордным значением для числа π на то время. |
![Иллюстрация к книге — Симпсоны и их математические секреты [i_049.jpg] Иллюстрация к книге — Симпсоны и их математические секреты [i_049.jpg]](img/book_covers/073/73373/i_049.jpg)
![Иллюстрация к книге — Симпсоны и их математические секреты [i_050.jpg] Иллюстрация к книге — Симпсоны и их математические секреты [i_050.jpg]](img/book_covers/073/73373/i_050.jpg)
![Иллюстрация к книге — Симпсоны и их математические секреты [i_051.jpg] Иллюстрация к книге — Симпсоны и их математические секреты [i_051.jpg]](img/book_covers/073/73373/i_051.jpg)
![Иллюстрация к книге — Симпсоны и их математические секреты [i_052.jpg] Иллюстрация к книге — Симпсоны и их математические секреты [i_052.jpg]](img/book_covers/073/73373/i_052.jpg)
![Иллюстрация к книге — Симпсоны и их математические секреты [i_053.jpg] Иллюстрация к книге — Симпсоны и их математические секреты [i_053.jpg]](img/book_covers/073/73373/i_053.jpg)
![Иллюстрация к книге — Симпсоны и их математические секреты [i_054.jpg] Иллюстрация к книге — Симпсоны и их математические секреты [i_054.jpg]](img/book_covers/073/73373/i_054.jpg)