Книга Пространство - это вопрос времени. Эйнштейн. Теория относительности, страница 25 – Давид Бланко Ласерна

Авторы: А Б В Г Д Е Ж З И Й К Л М Н О П Р С Т У Ф Х Ч Ш Ы Э Ю Я
Книги: А Б В Г Д Е Ж З И Й К Л М Н О П Р С Т У Ф Х Ц Ч Ш Щ Ы Э Ю Я
Бесплатная онлайн библиотека LoveRead.ec

Онлайн книга «Пространство - это вопрос времени. Эйнштейн. Теория относительности»

📃 Cтраница 25

Можно сказать, что пол и стена – это двумерные плоскости, обитатели которых могут наблюдать, как стержень укорачивается (в пространстве) и удлиняется (во времени). А мы получили геометрическую интерпретацию сжатия Лоренца и временного расширения. Обитатели наших двумерных поверхностей могли бы обеспокоиться, обнаружив, что длина стержня меняется при движении. Однако они могли бы разработать трехмерную математическую модель и прийти к выводу, что эти изменения иллюзорны. Во время движения стержня меняются исключительно размеры теней, а длина самого стержня в пространстве с большим количеством измерений остается неизменной.

В наших примерах используются как двумерные, так и трехмерные пространства. Между тем пространство Минковского нуждается в еще одном параметре: искривление пространства-времени выражается четырьмя координатами. Соотнося результаты наблюдений двух обитателей, следует учитывать: часть того, что для одного – пространство, для другого – время, и наоборот. Это обстоятельство легко выразить в математическом уравнении или с помощью подобия, но почти невозможно прийти к нему на интуитивном уровне.

Пространство-время Минковского предполагает некоторую аскетичность, так как тела в нем движутся с постоянной скоростью. С четырехмерной перспективы предметы без ускорения изображаются как точки или как прямые линии. С введением гравитации и ускорения прямые искривляются, они ведут себя подобно двум параллельным линиям, проведенным на поверхности сферы. Прямая линия из двумерного мира, огибая шар, превращается в дугу, а прямые траектории из специальной теории относительности превращаются в геодезические кривые с ускорением в мире общей теории относительности.

На искривленной поверхности мы можем описать окрестность точки с помощью касательной плоскости. Этот же способ поможет нам, хотя и на небольших участках, физически описать траекторию тела с ускорением при помощи свободного падения. Приближение будет более или менее точным в зависимости от кривизны пространства (иными словами, в зависимости от ускорения, воздействующего на тело).

Общая теория относительности захватила пространство Минковского и искривила его. Из-за чего это произошло? Из-за присутствия массы. Чем больше материи (или энергии) присутствует в пространстве, тем сильнее оно искривлено. Как сказал американский физик Джон Уилер, «гравитация – это не чуждая физическая сила, действующая в пространстве, а проявление геометрии пространства там, где находится масса».

Теперь мы можем выразить суть общей теории относительности в двух утверждениях.

– Траектория тела в гравитационном поле в четырехмерном пространстве принимает форму геодезической линии.

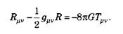
– Отношение между присутствием массы и формой четырехмерного пространства определяется следующим уравнением:

Иллюстрация к книге — Пространство - это вопрос времени. Эйнштейн. Теория относительности [pic_92.jpg]

С помощью того же Уилера объясним эту формулу более простым языком: «Пространство говорит материи, как двигаться, а материя говорит пространству, как искривиться». В левой части уравнения мы определим g из метрической функции gμv. Как Rμv так и R – это математические конструкции, формирующиеся на основе g. Эти инварианты отражают, насколько отклоняется пространство от пространства Минковского, измеряя кривизну в каждой его точке.

Второй член, тензор энергии-импульса (Tμv, воплощает материю.

Уравнение Эйнштейна объясняет нам, что в определенной части пространства его кривизна пропорциональна числу (константа G) и количеству материи (или энергии), которая в нем содержится. Мы можем представить себе мир с малой плотностью и постоянными скоростями как гладкий лист бумаги, испещренный прямыми линиями, который начинает сморщиваться, когда увеличивается плотность и появляется ускорение, вплоть до излома линий. Это изменение отражает метрика Минковского, константы которой в определенный момент начинают изменяться.


Движение тел в гравитационном поле


Предположим, что несколько человек держат на весу простыню. В ее центр помещают тяжелый шар. Если начать покачивать простыню, на ее поверхности появятся складки и морщины, которые приведут шар в движение. Он будет двигаться по всем возможным траекториям, скатываясь вниз и замедляясь на подъемах. Движение шара будет полностью зависеть от формы, которую принимает поверхность простыни, от ее геометрии. Однако шар играет не только пассивную роль: под его весом и от его движений поверхность простыни также меняется. А если на простыню бросить маленький стеклянный шарик, его траектория будет зависеть не только от движения простыни, но и от перемещений большого шара. Если бы простыня была невидимой, мы могли бы заметить, как таинственная сила, исходящая из центра большого шара, воздействует на стеклянный шарик, словно притягивая его к себе. Нам бы не пришло в голову объяснить кривую, которую вычерчивает стеклянный шарик, деформацией невидимой простыни, геометрия которой зависит от присутствия и движения тел, находящихся на ней. Эту аналогию можно перенести на гравитационные поля, в которых присутствие массы (и, следовательно, энергии) деформирует структуру пространства-времени, ускоряя, замедляя или отклоняя от траектории все тела, участвующие в этом танце.

Иллюстрация к книге — Пространство - это вопрос времени. Эйнштейн. Теория относительности [pic_93.jpg]

Присутствие массы позволяет нам в точности воссоздать архитектуру четырехмерного пространства, о котором говорится во втором утверждении, а первое утверждение описывает траектории любого тела, движущегося в этом пространстве.

Уравнение Эйнштейна отражает важное геометрическое свойство. Оно включает инварианты и, следовательно, справедливо для любого наблюдателя. Если расстояние и кривизна пространства не зависят от системы координат, то физические феномены также не обусловлены положением наблюдателя в пространстве – так можно обобщить один из постулатов специальной теории относительности: любое физическое явление протекает одинаково во всех инерциальных системах отсчета. Однако мы можем пойти дальше и сказать: физические законы действуют одинаково во всех системах отсчета, движущихся с ускорением.


Физики против математиков


С легкой руки Германа Минковского «вирус» теории относительности захватил Гёттингенский университет. В близкое окружение ученого входил один из самых влиятельных и плодовитых математиков XX века – Давид Гильберт. Минковский потратил годы, чтобы привить ему любовь к физике, прибегая при этом даже к дружескому шантажу в виде отказа посетить Гильберта в рождественские каникулы: «Учитывая обстоятельства, не знаю, нуждаешься ли ты в моем обществе. Мне кажется, ты посчитаешь, что я заражен физикой до мозга костей. Так что я останусь в карантине, пока Гурвиц и ты не пригласите меня вновь на свои прогулки, чтобы вести беседы о математических абстракциях».

Вход
Поиск по сайту
Ищем:
Календарь