Онлайн книга «Пространство - это вопрос времени. Эйнштейн. Теория относительности»
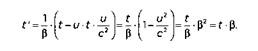
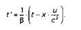
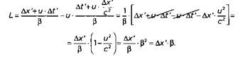
![]() ![]() Если мы введем эти выражения в формулу L, то получим: ![]() А если учесть, что ![]() ![]() Представим себе другую ситуацию. В ней наблюдатели из разных инерциальных систем присутствуют при одних и тех же явлениях, их задача – фиксировать интервал времени. В своей статье «К электродинамике движущихся тел» Эйнштейн прибегает к более простому примеру. Имея две системы, G и D последняя из которых двигалась относительно G с равномерной скоростью и, он разместил часы ровно в центре системы отсчета D и спросил себя: «Как быстро идут эти часы для наблюдателя из неподвижной системы отсчета?» После применения формулы преобразования Лоренца был получен следующий ответ: ![]() Из этого Эйнштейн сделал вывод: «…откуда следует, что показание часов (наблюдаемое из покоящейся системы) отстает в секунду на 1 – β секунды». Потому для наблюдателя, находящегося в покоящейся системе отсчета, время движущейся системы течет медленнее, чем его собственной. Ньютон в свете принципа относительности Благодаря преобразованиям Лоренца уравнения Максвелла сохраняются в любой инерциальной системе, но что приключается со старыми формулами ньютоновской динамики? После изменения координат с ними случается то же, что раньше происходило с уравнениями Максвелла в преобразовании Галилея: появляются не имеющие физического смысла элементы. Что же получается, из огня да в полымя? Но нет, на самом деле уравнения Ньютона тоже нуждаются в легкой корректировке. Если уж мы решили принять постулаты теории относительности, то нужно применять их ко всем законам физики, и динамика не исключение. Масса также становится величиной, которая, как и длина, зависит от относительной скорости той системы, откуда она измеряется, и растет с ускорением. Если эту переменную ввести в уравнение силы, будет заложена база для релятивистской динамики, формулы которой не изменяются в преобразованиях Лоренца. При низких скоростях они имеют вид, в котором их сформулировал Ньютон, – что и следовало ожидать. Чуть больше деталей Для того чтобы высчитать запаздывание хронометра в движущейся системе, Эйнштейн смоделировал следующую ситуацию: ![]() и использовал формулу Лоренца, выведенную для временной характеристики: ![]() Для системы G положение хронометра (х) – то есть центр координат системы D – движется направо с постоянной скоростью, отсюда: х = u • t. Для t' получим: ![]() Или, в другом виде: ![]() Все на свете относительно? Здесь самое время остановиться и задаться вопросом: действительно ли в реальности имеют место такие явления, как Лоренцево сжатие и замедление времени? Эйнштейн, скорее всего, услышав этот вопрос, улыбнулся и спросил бы нас, что мы имеем в виду под реальностью. Наблюдая одно и то же явление с разных точек зрения, разные наблюдатели сделают разные выводы о расстоянии, одновременности и временных интервалах, и потому все эти понятия не абсолютны. Но их нельзя назвать случайными, так как мы можем рассчитать значения и предсказать результаты, к которым придут наблюдатели из других систем. Сжатие и замедление реальны в том смысле, что если бы скорость света была равна, к примеру, 100 км/час, то мы бы видели, как пассажиры автомобиля, двигающегося со скоростью 90 км/час, сплющиваются подобно рисунку на мехах закрывающегося аккордеона. Но атомы, из которых состоит машина и пассажиры, не сжимаются в буквальном смысле. Размеры людей в машине не меняются. Для них действует обратный эффект принципа относительности: они видят сплющенные дома на улицах и прохожих, идущих словно в замедленной съемке. Наши представления о пространстве и о времени связаны с нашим движением или покоем, и мы не можем экстраполировать их на весь остальной мир. Когда транспортное средство останавливается, магия исчезает. Пассажиры и пешеходы видят одни те же дистанции и одинаковое течение времени. Последнее утверждение, правда, не совсем верно: и для того, чтобы набрать скорость, и для того, чтобы ее сбросить, необходимо ускорение – незваный гость в специальной теории относительности. И когда этот гость выходит на сцену, необходимо расширить территорию игры до границ общей теории относительности, где нас поджидают новые сюрпризы, и среди них эффект замедления времени даже после остановки движущейся системы. Если мы отправимся в космос на корабле, способном развивать скорости, близкие к скорости света, то по возвращении будем чуть моложе нашего брата-близнеца, который, прощаясь, махал нам платочком с космодрома. Ускорение нарушает симметрию между инерциальными системами отсчета. Преобразования Лоренца и нарушение одновременности выглядят для нас весьма странно. Когда наука исследует вещи в масштабах, отличающихся от привычных, с расстояниями столь малыми, что разум не может их себе представить (как в квантовой механике и теории струн), или столь великими, что они включают в себя всю Вселенную (общая теория относительности), мы больше не можем опираться на здравый смысл, сформированный в привычной среде с ограниченным спектром физических феноменов. Мы можем занять позицию практиков и выяснить, нет ли в теориях противоречий и подтверждены ли теоретические выкладки экспериментально. И если выводы кажутся невероятными, виной тому не физика, а наш ограниченный опыт. |
![Иллюстрация к книге — Пространство - это вопрос времени. Эйнштейн. Теория относительности [pic_44.jpg] Иллюстрация к книге — Пространство - это вопрос времени. Эйнштейн. Теория относительности [pic_44.jpg]](img/book_covers/073/73120/pic_44.jpg)
![Иллюстрация к книге — Пространство - это вопрос времени. Эйнштейн. Теория относительности [pic_45.jpg] Иллюстрация к книге — Пространство - это вопрос времени. Эйнштейн. Теория относительности [pic_45.jpg]](img/book_covers/073/73120/pic_45.jpg)
![Иллюстрация к книге — Пространство - это вопрос времени. Эйнштейн. Теория относительности [pic_46.jpg] Иллюстрация к книге — Пространство - это вопрос времени. Эйнштейн. Теория относительности [pic_46.jpg]](img/book_covers/073/73120/pic_46.jpg)
![Иллюстрация к книге — Пространство - это вопрос времени. Эйнштейн. Теория относительности [pic_47.jpg] Иллюстрация к книге — Пространство - это вопрос времени. Эйнштейн. Теория относительности [pic_47.jpg]](img/book_covers/073/73120/pic_47.jpg)
![Иллюстрация к книге — Пространство - это вопрос времени. Эйнштейн. Теория относительности [pic_48.jpg] Иллюстрация к книге — Пространство - это вопрос времени. Эйнштейн. Теория относительности [pic_48.jpg]](img/book_covers/073/73120/pic_48.jpg)
![Иллюстрация к книге — Пространство - это вопрос времени. Эйнштейн. Теория относительности [pic_49.jpg] Иллюстрация к книге — Пространство - это вопрос времени. Эйнштейн. Теория относительности [pic_49.jpg]](img/book_covers/073/73120/pic_49.jpg)
![Иллюстрация к книге — Пространство - это вопрос времени. Эйнштейн. Теория относительности [pic_50.jpg] Иллюстрация к книге — Пространство - это вопрос времени. Эйнштейн. Теория относительности [pic_50.jpg]](img/book_covers/073/73120/pic_50.jpg)
![Иллюстрация к книге — Пространство - это вопрос времени. Эйнштейн. Теория относительности [pic_51.jpg] Иллюстрация к книге — Пространство - это вопрос времени. Эйнштейн. Теория относительности [pic_51.jpg]](img/book_covers/073/73120/pic_51.jpg)
![Иллюстрация к книге — Пространство - это вопрос времени. Эйнштейн. Теория относительности [pic_52.jpg] Иллюстрация к книге — Пространство - это вопрос времени. Эйнштейн. Теория относительности [pic_52.jpg]](img/book_covers/073/73120/pic_52.jpg)
![Иллюстрация к книге — Пространство - это вопрос времени. Эйнштейн. Теория относительности [pic_53.jpg] Иллюстрация к книге — Пространство - это вопрос времени. Эйнштейн. Теория относительности [pic_53.jpg]](img/book_covers/073/73120/pic_53.jpg)