Онлайн книга «Пространство - это вопрос времени. Эйнштейн. Теория относительности»
|
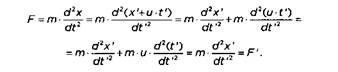
х = u•t. Доминик, запертый вместе с мухами в трюме, не знает, что удаляется от своего учителя. Для него его положение не изменилось: x' = 0. Видя летающую рядом муху, он может определить ее координаты (х’m;y'm). Галилей сквозь один из иллюминаторов тоже видит насекомое и определяет высоту его полета координатой ym, совпадающей с координатой Доминика y'm. Однако координаты горизонтальной позиции мухи, данные учеником и учителем, разнятся: xm и x'm не совпадают. К передвижениям мухи по трюму Галилей добавляет постоянное движение корабля и. Здесь мы можем остановиться и спросить себя: существует ли какой-либо способ, позволяющий связать между собой наблюдения учителя и ученика? Положительный ответ дают следующие уравнения, которые называются преобразованиями Галилея: х=х'+u-t' y=y ' [1] t=t'. С их помощью Галилей может перевести любые данные Домиником координаты, будь то траектория полета мухи или движение другого объекта, в свою систему отсчета. У ученика тоже есть свой метод преобразования наблюдений Галилея: x'=x-u•t y'=y [2] t' = t. Разница состоит лишь в том, что Доминик должен вычитать, а не прибавлять расстояние, пройденное кораблем по горизонтали. Если Доминику, находящемуся в трюме, постоянно сообщать расстояние до Галилея, ученик придет к выводу, что учитель отдаляется от него с постоянной скоростью – и. Но если он повернется к иллюминатору, то увидит, что движется сам, а Галилей неподвижно стоит на причале. Это, в свою очередь, также неверно, поскольку Галилей далеко не неподвижен: он находится на поверхности планеты, которая мчится со скоростью 30 км/с вокруг Солнца и к тому же вращается вокруг собственной оси со скоростью, превышающей 1500 км/час. Так, значит, объект, находящийся в покое, это Солнце? И вновь ничего подобного. Солнце – это звезда, движущаяся вокруг центра Млечного Пути. А наша галактика?.. Так можно бесконечно перепрыгивать от одной системы к другой, разматывая настоящий клубок траекторий. Если бы для того, чтобы описать пройденное автомобилем расстояние, нам необходимо было учесть, кроме скорости самой машины, скорость Земли, Солнца и Млечного Пути, мы бы исписали целые страницы ненужными расчетами. Поэтому самым практичным выходом будет определить систему отсчета и затем описывать движение относительно этой системы. Спор о гелиоцентричности и геоцентричности в действительности вовсе не о том, что движется вокруг чего: Земля вокруг Солнца или Солнце вокруг Земли. Обе точки зрения в равной степени имеют право на существование, и ни одна из них не лучше другой. Хотя по простоте траекторий движения первая, несомненно, выигрывает. Земля, двигаясь вокруг Солнца, описывает эллипсы. Солнце же выписывает вокруг нашей планеты сложнейшие спирали. Мухи, спутники и корабли с течением времени изменяют свое положение относительно нашей позиции, и этот танец объектов может быть разным, но каждая из этих картин верна и может быть связана с другой без каких-либо внутренних противоречий. Опыт, который предлагает проделать в трюме корабля Галилей, подразумевает ускорение. Падающие капли, летающие насекомые и прыгающие люди передвигаются согласно формулам Ньютона, который изобрел метод адекватного выражения динамических законов. Его уравнения учитывают ускорение, то есть изменение скорости; эти расчеты слепы к постоянной скорости корабля. Слепой закон Если движение происходит только в одном измерении, мы можем пользоваться вторым законом Ньютона: ![]() Для обеих систем отсчета формула имеет тот же вид. Для системы G: ![]() Если с помощью уравнений Галилея совершить преобразование в систему отсчета, привязанную к трюму корабля, любая измеренная с причала сила, действующая на изменения скорости движения рыбы или мухи, будет выражаться следующим образом: ![]() Как мы видим, и Галилей, и Доминик, каждый исходя из своих координат, используют одну и ту же формулу. Таким образом, преобразование Галилея не затрагивает уравнения динамики. Кто движется, Галилей или Доминик? Уравнения Ньютона не зависят от системы отсчета – в этом и состоит принцип относительности Галилея. Механические опыты не могут дать ответ на вопрос, движемся мы с постоянной скоростью или пребываем в состоянии покоя. Классическая динамика позволяет оценить лишь относительное движение, но не абсолютное. Второй драгоценный камень в короне Ньютона, закон всемирного тяготения, зависит от расстояния между телами – еще одна относительная величина, не зависящая от перемены координат между инерциальными системами. ![]() Несмотря на то что наблюдатели G и О находятся на разном расстоянии от пунктов 1 и 2, дистанция d между этими двумя пунктами (1 и 2) будет одинакова для обоих наблюдателей. Теория относительности электризуется Наука XIX века опьянела от перспектив, которые сулила электрическая революция, но вскоре почувствовала и похмелье, вызванное неудобствами в сфере теории (некоторые мы рассмотрели в предыдущей главе). Зависящие от скорости электромагнитные взаимодействия не только усложняли до сих пор простые схемы центральных и мгновенных сил и подрывали ньютоновский закон о действии и противодействии, но и угрожали авторитету принципа относительности, сформулированного Галилеем две сотни лет назад. Законы Максвелла не были похожи на законы Ньютона: при преобразовании Галилея они изменялись. В любой инерциальной системе отсчета можно выразить силу как произведение массы на ускорение без необходимости добавлять новые понятия из-за изменившихся координат. Но уравнения Максвелла претерпевают метаморфозы, сравнимые с превращением доктора Джекила в мистера Хайда[2 «Странная история доктора Джекила и мистера Хайда» – повесть шотландского писателя Роберта Стивенсона о том, как в одном человеке уживаются две совершенно не похожие друг на друга личности. – Примеч. ред.]. В неподвижной системе отсчета они выглядят лаконично и элегантно, но при переводе с помощью формулы [2] в движущуюся систему, например корабль Доминика, появляются различные новые элементы, значительно усложняющие исходные уравнения. Эти элементы соответствуют физическим явлениям, которые никто не видел. Например, линии магнитного поля вокруг магнита в состоянии покоя непрерывны, но в движении становятся разорванными. Оказывается, что уравнения Максвелла не были слепы к постоянной скорости и позволяли обнаружить равномерное передвижение. |
![Иллюстрация к книге — Пространство - это вопрос времени. Эйнштейн. Теория относительности [pic_17.jpg] Иллюстрация к книге — Пространство - это вопрос времени. Эйнштейн. Теория относительности [pic_17.jpg]](img/book_covers/073/73120/pic_17.jpg)
![Иллюстрация к книге — Пространство - это вопрос времени. Эйнштейн. Теория относительности [pic_18.jpg] Иллюстрация к книге — Пространство - это вопрос времени. Эйнштейн. Теория относительности [pic_18.jpg]](img/book_covers/073/73120/pic_18.jpg)
![Иллюстрация к книге — Пространство - это вопрос времени. Эйнштейн. Теория относительности [pic_19.jpg] Иллюстрация к книге — Пространство - это вопрос времени. Эйнштейн. Теория относительности [pic_19.jpg]](img/book_covers/073/73120/pic_19.jpg)
![Иллюстрация к книге — Пространство - это вопрос времени. Эйнштейн. Теория относительности [pic_20.jpg] Иллюстрация к книге — Пространство - это вопрос времени. Эйнштейн. Теория относительности [pic_20.jpg]](img/book_covers/073/73120/pic_20.jpg)