Онлайн книга «Число Бога. Золотое сечение – формула мироздания»
|
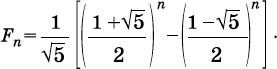
В середине XIX века французский математик Жак-Филипп-Мари Бине (1786–1856) заново открыл формулу, которую, по всей видимости, еще в XVIII веке знали и самый плодовитый математик в истории человечества Леонард Эйлер (1707–1783), и французский математик Абрахам де Муавр (1667–1754). По этой формуле можно найти значение любого числа Фибоначчи Fn, если известно его место в последовательности – n. Так вот, эта формула Бине целиком опирается на золотое сечение. ![]() На первый взгляд это не формула, а сущий кошмар: не очевидно даже, что при подстановке в нее различных значений n получатся целые числа, а ведь все члены последовательности Фибоначчи – целые. Поскольку мы уже знаем, что числа Фибоначчи тесно связаны с золотым сечением, нас, пожалуй, несколько обнадежит, когда мы поймем, что первый член в скобках – это, в сущности, золотое сечение в степени n, φn, а второй – (–1/φ) n. (Вспомним, что выше мы обсуждали, что отрицательный корень квадратного уравнения, определяющего число φ, равен – 1/φ). Вооружившись простым инженерным карманным калькулятором, можно самостоятельно ввести несколько значений n и убедиться, что формула Бине дает числа Фибоначчи в точности. При достаточно больших значениях n второй член в скобках становится очень маленьким, так что можно просто считать, что Fn – это ближайшее целое число к φn/√5. Например, при n = 10, φn/√5 = 55,0036, а десятое число Фибоначчи и есть 55. Можно задаться вопросом – так, забавы ради, – существует ли число Фибоначчи, состоящее ровно из 666 цифр. Математик и писатель Клиффорд А. Пиковер называет числа, связанные с 666, «апокалиптическими». Он обнаружил, что число Фибоначчи номер 3184 состоит из 666 знаков. Итак, стоило лишь открыть числа Фибоначчи, и они, как по волшебству, стали возникать тот тут, то там, в том числе и в живой природе. Вот и ботаника дарит нам несколько интереснейших примеров. Так подсолнух глядит на закат божества
[6]
Листья вдоль стебля растения или веточки от сука обычно растут так, чтобы солнца, воздуха и дождя им доставалось ровно столько, сколько нужно. Когда побег тянется вверх, листья на нем появляются через достаточно правильные интервалы. Однако растут они не прямо друг над другом – ведь тогда нижние листья не получали бы вдоволь света и влаги. На самом деле соседние листья или побеги на одной ветке располагаются вокруг стебля более или менее как резьба на винте (см. рис. 31). Подобное расположение повторяющихся элементов видно на примере и чешуек ананаса, и семечек подсолнуха. Называется это явление филлотаксис (от греч. «расположение листьев»), и этот термин ввел в 1754 году швейцарский натуралист Шарль Бонне (1720–1793). Например, у липы листья растут в основном с противоположных сторон ветки (то есть через полоборота вокруг ветки), и это называется «винтовая ось типа 1/2». У других растений – орешника, черники, березы – листья на ветках и стеблях располагаются через 1/3 оборота, и это называется «винтовая ось типа 1/3». У яблони, абрикосового дерева и вечнозеленого калифорнийского дуба листья растут через 2/5 оборота, а у груши и плакучей ивы – через 3/8. На рис. 31 показан случай, когда восемь побегов располагаются на протяжении трех полных оборотов – винтовая ось типа 3/8. Обратите внимание, что все указанные дроби – это соотношения чисел Фибоначчи, взятых через одно. ![]() Рис. 31 То обстоятельство, что листья растений следуют определенному образцу, первым отметил древнегреческий ученый Феофраст (ок. 372 – ок. 287 гг. до н. э.) в своем труде «История растений»: «У тех, у которых листья плоские, они располагаются через правильные промежутки». Плиний Старший (23–79 гг. н. э.) отметил то же явления в своей масштабной «Естественной истории», где тоже пишет о правильных промежутках между листьями, расположенными на ветке по кругу. До XV века исследования филлотаксиса недалеко отошли от этих первых качественных наблюдений, но затем Леонардо да Винчи (1452–1519) нашел количественные закономерности в расположении листьев, отметив, что листья растут по спирали циклами по 5 (то есть под углом в 2/5 оборота). Связь между филлотаксисом и числами Фибоначчи первым почувствовал – интуитивно – астроном Иоганн Кеплер. Кеплер писал: «По образу и подобию таких саморазвивающихся последовательностей [имеется в виду рекурсивное свойство последовательности Фибоначчи], на мой взгляд, строится и развитие растений, так, например, в цветке проявлен природный символ этого качества – правильный пятиугольник». Начало серьезному изучению наблюдаемого филлотаксиса положил Шарль Бонне. В своей книге «Исследования применения листьев растений» (Charles Bonnet. Recherches sur l’Usage des Feuilles dans les Plantes, 1754) он дает четкое описание филлотаксиса 2/5. Вероятно, Бонне в сотрудничестве с математиком Жаном-Луи Каландрини открыл, что у некоторых растений наблюдаются и правильные спиральные узоры, например, чешуйки на сосновых шишках или на ананасе (теперь эти узоры называются парастихии). История же подлинно математического филлотаксиса, в противоположность чисто описательному подходу, начинается лишь в XIX веке в работах ботаника Карла Фридриха Шимпера (вышли в свет в 1830 году), его друга Александера Брауна (1835) и кристаллографа Огюста Браве и его брата-ботаника Луи (1837). Эти ученые обнаружили общее правило, согласно которому соотношения, описывающие филлотаксис, можно выразить дробями, состоящими из членов последовательности Фибоначчи (например, 2/5 или 3/8), а также отметили, что в парастихиях сосновых шишек и ананасов также проявляются закономерности, описываемые числами Фибоначчи. И в самом деле, нет прелестнее иллюстрации филлотаксиса на основе чисел Фибоначчи, чем ананас (рис. 32). Каждая шестиугольная чешуйка на поверхности ананаса входит в три различные спирали. На рисунке хорошо видны один из восьми параллельных рядов, которые полого поднимаются из левого нижнего угла в правый верхний, один из тринадцати параллельных рядов, которые более круто поднимаются из правого нижнего угла в левый верхний, и один из двадцати одного параллельного ряда, которые поднимаются очень круто (тоже из левого нижнего угла в правый верхний). На поверхности у большинства ананасов видны пять, восемь, тринадцать или двадцать одна спираль разной степени крутизны. Все это числа Фибоначчи. ![]() Рис. 32 |
![Иллюстрация к книге — Число Бога. Золотое сечение – формула мироздания [_165.jpg] Иллюстрация к книге — Число Бога. Золотое сечение – формула мироздания [_165.jpg]](img/book_covers/073/73119/_165.jpg)
![Иллюстрация к книге — Число Бога. Золотое сечение – формула мироздания [_167.jpg] Иллюстрация к книге — Число Бога. Золотое сечение – формула мироздания [_167.jpg]](img/book_covers/073/73119/_167.jpg)
![Иллюстрация к книге — Число Бога. Золотое сечение – формула мироздания [_169_1.jpg] Иллюстрация к книге — Число Бога. Золотое сечение – формула мироздания [_169_1.jpg]](img/book_covers/073/73119/_169_1.jpg)