Онлайн книга «Вселенная. Курс выживания среди черных дыр, временных парадоксов, квантовой неопределенности»
|
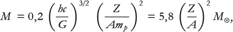
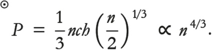
Как и ранее, можем воспользоваться принципом неопределенности Гейзенберга и указать, что, поскольку типичный импульс ограниченных электронов равен h(n/2)⅓, то ![]() Мы опять можем сравнить этот результат с точным решением, которое выглядит так: ![]() Наконец, можем воспользоваться привычной методологией, чтобы выразить давление через массовую плотность звезды и вывести альтернативу уравнению (4): P = κ' ρ4/3, где κ' ∝ hc × (Z / (Amp))4/3. Как мы и обещали, давление, аналогично плотности, увеличивается медленнее, чем в нерелятивистском случае, а именно: плотность увеличивается со степенью 4/3, а не 5/3. Причина такого замедления кроется в том, что электроны не могут двигаться быстрее скорости света. Это значит, что «векторный» показатель nv, который мы использовали для вычисления давления, перенасыщается в nc, и газ не может перенести электроны к зеркалу (или грани куба), чтобы поддерживалась плотность ρ5/3. Теперь можно изучить последствия таких изменений, поскольку с помощью тех же рассуждений, что и в нерелятивистском случае, мы можем прийти к аналогу уравнения (5): κ'M4/3 ∝ GM². Это очень важный результат, потому что, в отличие от уравнения (5), здесь отсутствует какая-либо зависимость от радиуса звезды. Уравнение гласит, что звезда этого типа, переполненная очень быстрыми электронами, может иметь лишь очень конкретную массу. Введя в уравнение вместо κ' выражение из предыдущего абзаца, получим следующее предсказание: ![]() Об этом-то результате мы и говорили в самом начале эпилога как о максимальной массе, которую может иметь звезда – белый карлик. Мы очень близки к тому, чтобы воспроизвести результат Чандрасекара. Остается лишь понять, почему именно это конкретное значение и есть максимально возможная масса. Мы знаем, что у не слишком массивных белых карликов радиус будет не слишком мал, а электроны – не слишком уплотнены. Таким образом, они не совершают чрезмерных квантовых колебаний, а их скорость по сравнению со скоростью света невелика. Мы знаем, что эти звезды стабильны с отношением массы и радиуса в форме RM⅓ = константа. Теперь представьте, что звезда обретает большую массу. Отношения между массой и радиусом дают понять, что при этом звезда уменьшается, и электроны в результате еще больше сжимаются, а следовательно, перемещаются быстрее. Добавим массы – и звезда еще немного уменьшится. При увеличении массы увеличивается скорость электронов, пока они со временем не начинают двигаться со скоростями, сравнимыми со скоростью света. В то же время давление постепенно изменяется с P ∝ ρ̅5/3 до P ∝ ρ̅4/3, и в последнем случае звезда будет стабильна только при конкретном значении массы. Если масса выше этого конкретного значения, то правая часть выражения κ'M4/3 ∝ GM² больше, чем левая, то есть уравнение оказывается неверным. Это значит, что давления электронов (которое отражено в левой части уравнения) недостаточно, чтобы уравновесить внутреннюю гравитацию (присутствующую в правой части), и звезду ожидает неизбежный коллапс. Если бы мы более тщательно вычисляли импульс электрона и выкатили бы на сцену высшую математику для подсчета отсутствующих цифр (опять же легкая задача для персонального компьютера), можно было бы сделать точное предсказание максимальной массы белого карлика. Она равна: ![]() где мы выражаем множество физических констант через массу нашего Солнца (M). Заметьте, кстати, что весь дополнительный тяжкий труд, от которого мы отказались, дает в результате всего лишь константу пропорциональности со значением 0,2. Это уравнение и выражает вожделенный предел Чандрасекара: 1,4 солнечной массы, если Z / A = ½. Итак, наше путешествие подошло к концу. Расчеты в эпилоге имели более высокий математический уровень, чем во всей остальной книге, но это, на наш взгляд, одно из самых наглядных доказательств всей мощи современной физики. Это не просто какая-то «полезная вещь» – это один из величайших триумфов человеческого разума. Мы использовали теорию относительности, квантовую механику и последовательные математические рассуждения для точного вычисления максимального размера материального шара, который с помощью принципа Паули может противостоять гравитации. Значит, наука права: квантовая механика, какой бы странной она ни казалась, – это теория для описания реального мира. И на этом месте стоит поставить точку. Для дальнейшего чтения
При подготовке этой книги мы использовали многие другие работы, и некоторые из них заслуживают особого упоминания и рекомендаций. Два основных источника по истории квантовой механики – это две великолепные книги Абрахама Пайса: Inward Bound («Связанные изнутри») и Subtle Is the Lord… («Господь изощрен»). Обе они носят довольно технический характер, но по историческим подробностям им нет равных. Книга Ричарда Фейнмана QED: «КЭД – странная теория света и вещества» [62] написана на том же уровне изложения, что и наша, и в наибольшей степени, как можно понять из названия, сосредоточена на теории квантовой электродинамики. Читать ее одно удовольствие, как и большинство работ Фейнмана. Для тех, кто интересуется более подробным описанием, на наш взгляд, лучшей книгой по основам квантовой механики все еще остается книга Поля Дирака «Принципы квантовой механики» [63]. Для овладения излагаемым в ней материалом потребуется высокий уровень математической подготовки. |
![Иллюстрация к книге — Вселенная. Курс выживания среди черных дыр, временных парадоксов, квантовой неопределенности [i_087.jpg] Иллюстрация к книге — Вселенная. Курс выживания среди черных дыр, временных парадоксов, квантовой неопределенности [i_087.jpg]](img/book_covers/073/73067/i_087.jpg)
![Иллюстрация к книге — Вселенная. Курс выживания среди черных дыр, временных парадоксов, квантовой неопределенности [i_088.jpg] Иллюстрация к книге — Вселенная. Курс выживания среди черных дыр, временных парадоксов, квантовой неопределенности [i_088.jpg]](img/book_covers/073/73067/i_088.jpg)
![Иллюстрация к книге — Вселенная. Курс выживания среди черных дыр, временных парадоксов, квантовой неопределенности [i_089.jpg] Иллюстрация к книге — Вселенная. Курс выживания среди черных дыр, временных парадоксов, квантовой неопределенности [i_089.jpg]](img/book_covers/073/73067/i_089.jpg)
![Иллюстрация к книге — Вселенная. Курс выживания среди черных дыр, временных парадоксов, квантовой неопределенности [i_090.jpg] Иллюстрация к книге — Вселенная. Курс выживания среди черных дыр, временных парадоксов, квантовой неопределенности [i_090.jpg]](img/book_covers/073/73067/i_090.jpg)