Книга Вселенная. Курс выживания среди черных дыр, временных парадоксов, квантовой неопределенности, страница 57 – Дэйв Голдберг, Джефф Бломквист

Авторы: А Б В Г Д Е Ж З И Й К Л М Н О П Р С Т У Ф Х Ч Ш Ы Э Ю Я
Книги: А Б В Г Д Е Ж З И Й К Л М Н О П Р С Т У Ф Х Ц Ч Ш Щ Ы Э Ю Я
Бесплатная онлайн библиотека LoveRead.ec

Онлайн книга «Вселенная. Курс выживания среди черных дыр, временных парадоксов, квантовой неопределенности»

📃 Cтраница 57

Разбавим рассуждения некоторыми удивительными цифрами: энергия, заключенная в 1 м3 пустого пространства в результате конденсации кварков и глюонов, равняется невероятным 1035 джоулям, а энергия в результате конденсации частиц Хиггса еще в 100 раз больше. Вместе они равняются тому количеству энергии, которое наше Солнце производит за 1000 лет. Точнее говоря, это «отрицательная» энергия, потому что вакуум находится в более низком энергетическом состоянии, чем Вселенная, которая не содержит никаких частиц. Отрицательная энергия – это энергия связи, сопровождающая образование конденсатов и сама по себе ни в коей мере не загадочная. Она не более удивительна, чем тот факт, что для кипячения воды (и обращения фазового перехода из пара в жидкость) нужно приложить энергию.

Но загадка все же есть: такая высокая отрицательная энергетическая плотность каждого квадратного метра пустого пространства должна бы вообще-то принести во Вселенную такое опустошение, что не появились бы ни звезды, ни люди. Вселенная буквально разлетелась бы на части через мгновения после Большого взрыва. Вот что произошло бы, если бы мы взяли из физики частиц предсказания о вакуумной конденсации и непосредственно добавили их в гравитационные уравнения Эйнштейна, применив для всей Вселенной. Этот малоприятный ребус известен как проблема космологической константы [55]. Собственно, это одна из центральных проблем фундаментальной физики. Она напоминает, что заявлять о полном понимании природы вакуума и/или гравитации надо с большой осторожностью. Пока мы не понимаем чего-то весьма фундаментального.

На этом предложении заканчиваем повествование, потому что дошли до границ нашего познания. Зона познанного – это не то, с чем работает ученый-исследователь. Квантовая теория, как мы заметили еще в начале книги, имеет репутацию сложной и откровенно странной, поскольку позволяет едва ли не любое поведение материальных частиц. Но все, что мы описали, за исключением этой последней главы, известно и хорошо понятно. Следуя не здравому смыслу, а доказательствам, мы пришли к теории, способной описать огромное количество явлений – от лучей, испускаемых горячими атомами, до ядерного синтеза в звездах. Практическое применение этой теории привело к самому важному технологическому прорыву XX века – появлению транзистора, а работа этого устройства была бы совершенно непонятной без квантового подхода к миру.

Но квантовая теория нечто гораздо большее, чем просто триумф пояснений. В результате насильно заключенного брака между квантовой теорией и относительностью в качестве теоретической необходимости появилась антиматерия, которую после этого действительно открыли. Спин – фундаментальное свойство субатомных частиц, лежащее в основе стабильности атомов, – тоже изначально был теоретическим предсказанием, которое требовалось для устойчивости теории. А сейчас, во втором квантовом столетии, Большой адронный коллайдер отправляется в неизведанное, чтобы исследовать сам вакуум. Это и есть научный прогресс: постоянное и тщательное создание набора объяснений и предсказаний, в итоге изменяющего нашу жизнь. Это и отличает науку от всего остального. Наука – это не просто иная точка зрения, она отражает реальность, которую было бы сложно представить даже обладателю самого извращенного и сюрреалистического воображения. Наука – это исследование реальности, и если реальность оказывается при этом сюрреалистической, значит, она такая и есть. Квантовая теория – наилучший пример силы научного метода. Никто бы не смог выдвинуть ее без как можно более тщательных и подробных экспериментов, а физики-теоретики, ее создавшие, смогли отбросить свои глубоко укоренившиеся комфортные представления о мире, чтобы объяснить лежащие перед ними доказательства. Возможно, загадка вакуумной энергии – зов к новому квантовому путешествию; возможно, БАК предоставит новые и необъяснимые данные; возможно, все, что содержится в этой книге, окажется лишь приближением к гораздо более глубокой картине – удивительный путь к пониманию нашей квантовой Вселенной продолжается.

Когда мы только обдумывали эту книгу, некоторое время спорили, чем ее закончить. Хотелось найти отражение интеллектуальной и практической мощи квантовой теории, которое убедило бы даже самого скептичного читателя, что наука действительно во всех подробностях отражает происходящее в мире. Мы оба согласились, что такое отражение существует, хотя и требует некоторого понимания алгебры. Мы изо всех сил старались рассуждать без тщательного рассмотрения уравнений, но здесь избежать этого никак нельзя, так что мы хотя бы предупреждаем. Итак, наша книга заканчивается здесь, даже если вам хотелось бы большего. В эпилоге – самая убедительная, на наш взгляд, демонстрация мощи квантовой теории. Удачи – и доброго пути.

Эпилог: смерть звезд

Умирая, многие звезды заканчивают свой путь в качестве сверхплотных шаров ядерной материи, переплетенной с множеством электронов. Это так называемые белые карлики. Такой будет и судьба нашего Солнца, когда оно примерно через 5 миллиардов лет исчерпает запасы ядерного топлива, и судьба еще более 95 % звезд нашей Галактики. Пользуясь только ручкой, бумагой и немного головой, можно вычислить наибольшую возможную массу таких звезд. Эти вычисления, впервые предпринятые в 1930 году Субраманьяном Чандрасекаром, с помощью квантовой теории и теории относительности позволили сделать два ясных прогноза. Во-первых, это было предсказание самого существования белых карликов – шариков материи, которые, по принципу Паули, спасает от разрушения сила собственной гравитации. Во-вторых – если мы отвлечемся от листка бумаги со всякими теоретическими каракулями и посмотрим в ночное небо, мы никогда не увидим белый карлик с массой, которая бы более чем в 1,4 раза превосходила массу нашего Солнца. Оба этих предположения отличаются невероятной дерзостью.

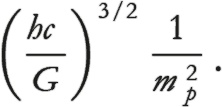
Сегодня астрономы уже занесли в каталоги около 10 000 белых карликов. У большинства из них масса составляет примерно 0,6 массы Солнца, а самая большая зафиксированная – немногим менее 1,4 массы Солнца. Это число – 1,4 – свидетельство триумфа научного метода. Оно опирается на понимание ядерной физики, квантовой физики и специальной теории относительности Эйнштейна – трех китов физики XX века. При его вычислении требуются также фундаментальные константы природы, с которыми мы уже встречались в этой книге. К концу эпилога мы выясним, что максимальная масса определяется отношением

Иллюстрация к книге — Вселенная. Курс выживания среди черных дыр, временных парадоксов, квантовой неопределенности [i_073.jpg]

Смотрите внимательно на то, что мы записали: результат зависит от постоянной Планка, скорости света, гравитационной постоянной Ньютона и массы протона. Удивительно, что мы можем предсказать наибольшую массу умирающей звезды с помощью сочетания фундаментальных констант. Трехстороннее сочетание гравитации, относительности и кванта действия, появляющееся в уравнении (hc / G)½, называется планковской массой, и при подстановке цифр оказывается, что она равна примерно 55 мкг, то есть массе песчинки. Поэтому, как ни странно, предел Чандрасекара вычисляется с помощью двух масс – песчинки и протона. Из таких ничтожных величин образуется новая фундаментальная единица массы Вселенной – масса умирающей звезды. Мы можем довольно долго объяснять, как получается предел Чандрасекара, но вместо этого пойдем немного дальше: мы опишем собственно вычисления, потому что они и есть самая интригующая часть процесса. У нас не получится точного результата (1,4 массы Солнца), но мы приблизимся к нему и увидим, как профессиональные физики делают глубокие выводы с помощью последовательности тщательно продуманных логических ходов, постоянно обращаясь при этом к хорошо известным физическим принципам. Ни в один из моментов вам не придется верить нам на слово. Сохраняя холодную голову, мы будем медленно и неотвратимо приближаться к совершенно поразительным заключениям.

Вход
Поиск по сайту
Ищем:
Календарь