Онлайн книга «Вселенная. Курс выживания среди черных дыр, временных парадоксов, квантовой неопределенности»
|
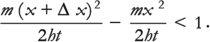
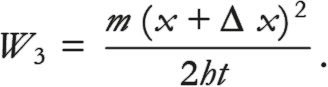
Заметьте: в формуле появляется дробь ½. Вы можете либо принять на веру, что она необходима для достижения соответствия экспериментальным данным, либо заметить, что она возникает из самого определения действия [12]. Оба варианта прекрасно подойдут. Сейчас, когда мы знаем значение постоянной Планка, можно точно вычислить величину поворота стрелки часов и коснуться вопроса, который чуть раньше оставили без ответа. А именно: что такое прыжок на расстояние «10»? Посмотрим, что наша теория говорит о маленьком по повседневным нормам объекте – о песчинке. Теория квантовой механики, которую мы разработали, предполагает, что, если поместить песчинку в какую-то точку, позднее она может оказаться в любом другом месте Вселенной. Но очевидно, что с настоящими песчинками так не происходит. Мы уже видели способ выхода из этой потенциальной проблемы, потому что если интерференция между циферблатами, соответствующими песчинке, перепрыгивающей из множества изначальных точек, достаточна, то при сложении циферблатов они все отменяют друг друга, и песчинка остается на месте. Первый вопрос, на который нужно ответить, звучит так: сколько раз будут повернуты стрелки часов, если мы переместим частицу с массой песчинки на расстояние, например, 0,001 мм за одну секунду? Мы не сможем увидеть такое небольшое расстояние невооруженным глазом, но для атомного мира оно все еще велико. Вычислить это довольно просто самостоятельно, заменив числа в правиле хода часов Фейнмана [13]. Ответом будет где-то триллион полных оборотов стрелки. Только представьте себе масштабы сопутствующей интерференции. В результате песчинка остается на своем месте, и практически нет шансов, что она перепрыгнет на существенное расстояние, хотя для получения этого вывода мы реально учитывали возможность того, что она может тайно выпрыгнуть куда-то в другую точку Вселенной. И этот результат очень важен. Если вы сами подставили числа в формулу, то уже понимаете, почему это так: дело в ничтожной величине постоянной Планка. Если записать ее полностью, получится 0,000 000 000 000 000 000 000 000 000 000 000 662 6 кг·м²/с. Если разделить почти любое привычное нам число на это, получится множество оборотов стрелок и огромная интерференция, так что все экзотические перемещения нашей песчинки по Вселенной отменят друг друга, и эту путешественницу через пространство мы будем воспринимать лишь как скучную пылинку, неподвижно лежащую на пляже. Мы, разумеется, особенно интересуемся теми случаями, когда циферблаты не отменяют друг друга. Как мы уже видели, это происходит, если стрелка проходит не более одного оборота. В этом случае неконтролируемой интерференции не будет. Посмотрим, что это значит с количественной точки зрения. Возвращаемся к группе циферблатов, заново нарисовав ее на рис. 4.4, но на этот раз вместо работы с точными числами будем рассуждать более абстрактно. Предположим, что область, в которой расположена группа циферблатов, имеет размер Δx, а расстояние до ближайшей точки области от точки Х равно x. В этом случае размер области Δx соответствует неопределенности нашего знания о начальном положении частицы; она стартует откуда-то из области размера Δx. Начиная с точки 1, которая находится в исходной области и ближе всего к точке Х, мы должны поворачивать часы соответственно прыжку из этой точки в точку Х на величину ![]() Рис. 4.4. Он изображает то же самое, что и рис. 4.3, с тем исключением, что нет ограничения конкретной величиной размера группы циферблатов или расстоянием до точки X ![]() Теперь перейдем к самой удаленной точке – точке 3. Когда мы переносим циферблат из этой точки в точку Х, стрелка поворачивается на большую величину, а именно ![]() Теперь мы можем точно сформулировать условие, при котором циферблаты, прибывающие в точку Х из всех точек исходного поля, не аннулировали бы друг друга: разница между циферблатами, прибывшими из точек 1 и 3, должна быть меньше одного полного оборота, то есть W3 − W1 < один оборот. Если записать это полностью, мы получим ![]() Рассмотрим конкретный случай, в котором размер области Δx будет много меньше расстояния x. Это значит, что мы исследуем условия, при которых частица совершит скачок значительно больший, чем диаметр ее исходной области. В этом случае условие, при котором циферблаты не отменяют друг друга, выводится непосредственно из предыдущего неравенства и выглядит как ![]() Если вы немного знаете математику, то поймете, как это получается – с помощью перемножения членов в скобках и пренебрежения той частью, которая включает в себя (Δx)². Это можно сделать, потому что по условиям Δx по сравнению с x – величина очень малая, а малая величина в квадрате – это очень малая величина. |
![Иллюстрация к книге — Вселенная. Курс выживания среди черных дыр, временных парадоксов, квантовой неопределенности [i_016.jpg] Иллюстрация к книге — Вселенная. Курс выживания среди черных дыр, временных парадоксов, квантовой неопределенности [i_016.jpg]](img/book_covers/073/73067/i_016.jpg)
![Иллюстрация к книге — Вселенная. Курс выживания среди черных дыр, временных парадоксов, квантовой неопределенности [i_017.jpg] Иллюстрация к книге — Вселенная. Курс выживания среди черных дыр, временных парадоксов, квантовой неопределенности [i_017.jpg]](img/book_covers/073/73067/i_017.jpg)
![Иллюстрация к книге — Вселенная. Курс выживания среди черных дыр, временных парадоксов, квантовой неопределенности [i_018.jpg] Иллюстрация к книге — Вселенная. Курс выживания среди черных дыр, временных парадоксов, квантовой неопределенности [i_018.jpg]](img/book_covers/073/73067/i_018.jpg)
![Иллюстрация к книге — Вселенная. Курс выживания среди черных дыр, временных парадоксов, квантовой неопределенности [i_019.jpg] Иллюстрация к книге — Вселенная. Курс выживания среди черных дыр, временных парадоксов, квантовой неопределенности [i_019.jpg]](img/book_covers/073/73067/i_019.jpg)
![Иллюстрация к книге — Вселенная. Курс выживания среди черных дыр, временных парадоксов, квантовой неопределенности [i_020.jpg] Иллюстрация к книге — Вселенная. Курс выживания среди черных дыр, временных парадоксов, квантовой неопределенности [i_020.jpg]](img/book_covers/073/73067/i_020.jpg)