Книга Почему Е=mc?? И почему это должно нас волновать, страница 40 – Брайан Кокс, Джефф Форшоу

Авторы: А Б В Г Д Е Ж З И Й К Л М Н О П Р С Т У Ф Х Ч Ш Ы Э Ю Я
Книги: А Б В Г Д Е Ж З И Й К Л М Н О П Р С Т У Ф Х Ц Ч Ш Щ Ы Э Ю Я
Бесплатная онлайн библиотека LoveRead.ec

Онлайн книга «Почему Е=mc?? И почему это должно нас волновать»

📃 Cтраница 40

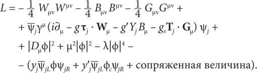
Не исключено, что вся физика в известном нам виде – это всего лишь вершина айсберга, а может, мы действительно приближаемся к открытию «теории всего». Как бы то ни было, одно можно сказать наверняка: в текущий момент у нас есть наглядно доказанная теория, ставшая результатом кропотливого труда тысяч ученых во всем мире, которую мы можем использовать для объяснения широкого диапазона явлений. Она удивительная, ибо многое в себе объединяет, хотя ее основное уравнение может поместиться на обратной стороне конверта.

Иллюстрация к книге — Почему Е=mc?? И почему это должно нас волновать [i_016.jpg]

Мы называем это важнейшее уравнение центральным, и оно лежит в основе того, что сейчас известно как стандартная модель физики элементарных частиц. Это уравнение вряд ли будет что-то значить для большинства читателей, но мы не можем не привести его здесь.

Безусловно, только профессиональные физики поймут все детали данного уравнения, но мы разместили его не для них. Прежде всего мы хотели показать читателям одно из самых замечательных уравнений в физике – немного ниже мы объясним, почему оно такое замечательное. Помимо этого, существует реальная возможность прочувствовать всю красоту процессов, описываемых этим уравнением, просто поговорив о приведенных в нем символах даже без каких-либо знаний математики. Давайте для начала проанализируем область действия основного уравнения: какова его задача? Какую миссию оно выполняет? Задача этого уравнения – описать правила, по которым каждая частица во Вселенной взаимодействует с остальными частицами. Единственное исключение состоит в том, что, ко всеобщему огорчению, в этом уравнении не учитывается гравитация. Но несмотря на ее отсутствие, его область действия все же настолько перспективна, что это вызывает восхищение. Построение центрального уравнения – вне всяких сомнений, одно из величайших достижений в истории физики.

Позвольте уточнить, что мы подразумеваем под взаимодействием двух частиц. Мы имеем в виду, что взаимодействие частиц друг с другом оказывает определенное влияние на их движение. Например, две частицы могут разлететься в разные стороны, изменив при этом направление движения. Или могут вращаться друг вокруг друга по орбите, попав в ситуацию, которую физики называют состоянием связи. Атом – один из примеров такого состояния. В случае атома водорода один электрон и один протон связаны друг с другом в соответствии с правилами, сформулированными в основном уравнении. В предыдущей главе мы с вами много говорили об энергии связи, а также о правилах ее расчета для атома, молекулы или атомного ядра, которые отображены в центральном уравнении. В определенном смысле знание правил игры означает, что мы описываем устройство Вселенной на самом фундаментальном уровне. Так каковы же частицы, из которых все состоит, и как они взаимодействуют друг с другом?

В стандартной модели в качестве отправной точки используется факт существования материи. Точнее говоря, эта модель предполагает существование шести типов кварков, трех типов заряженных лептонов (один из которых электрон) и трех типов нейтрино. Вы можете увидеть, как эти частицы вещества появляются в основном уравнении: они обозначены символом Ψ (произносится как «пси»). Кроме того, у каждой частицы есть соответствующая античастица. Антиматерия – это не продукт научной фантастики, а неотъемлемая составляющая Вселенной. В 20-х годах XX века британский физик-теоретик Поль Дирак [46] первым осознал необходимость в антиматерии, когда предсказал существование партнера электрона под названием позитрон, который должен был иметь точно такую же массу, но противоположный электрический заряд. Мы уже встречались с позитронами и знаем их как побочный продукт процесса слияния двух протонов и образования дейтрона. Одна из самых впечатляющих характеристик успешной научной теории состоит в ее способности прогнозировать нечто такое, что прежде было неизвестно. Последующее наблюдение этого «нечто» в ходе эксперимента убедительно подтверждает тот факт, что мы поняли что-то истинное об устройстве Вселенной. Если углубиться в суть вопроса, можно констатировать следующее: чем больше прогнозов способна сделать теория, тем большее впечатление производит ее подтверждение в ходе экспериментов. Напротив, если эксперименты не позволяют обнаружить прогнозируемое явление, то теория не может быть верной и ее необходимо отбросить. В таком интеллектуальном поиске нет места для споров: эксперимент – это последний судья. Звездный час Дирака наступил через несколько лет после того, как Карл Андерсон [47] осуществил первое непосредственное наблюдение позитронов, применив для этого космические лучи. За свой труд Дирак получил Нобелевскую премию в 1933 году, а Андерсон – в 1936-м. Каким бы загадочным ни казался позитрон, в наше время факт его существования подтверждается тем, что он используется в повседневной практике в больницах по всему миру. Использование позитронов в ПЭТ-сканерах (PET, positron emission tomography – позитронно-эмиссионная томография) позволяет врачам составить трехмерную карту организма. Скорее всего, Дирак не думал о диагностической визуализации, когда работал над идеей антиматерии. Это в очередной раз говорит о том, что понимание внутреннего устройства Вселенной приносит людям конкретную пользу.

Предположительно существует еще одна частица, но пока заявлять об этом с абсолютной уверенностью не стоит. Эта частица обозначается греческой буквой ϕ (произносится как «фи») и появляется в третьей и четвертой строках центрального уравнения. За исключением этой «еще одной» частицы все кварки, заряженные лептоны и нейтрино (а также их частицы-партнеры из антиматерии) были обнаружены в ходе экспериментов. Безусловно, их нельзя увидеть человеческим глазом. В последнее время это делается с помощью детекторов частиц, напоминающих фотокамеры с высоким разрешением, которые могут сделать мгновенный снимок элементарной частицы в момент ее мимолетного появления. Во многих случаях открыватели элементарных частиц получали Нобелевскую премию. Последней в 2000 году была обнаружена частица под названием тау-нейтрино. Этот призрачный кузен электронных нейтрино, излучаемых Солнцем в процессе ядерного синтеза, замыкает группу из 12 известных частиц материи.

Самые легкие кварки называются верхними и нижними. Из них построены протоны и нейтроны. В состав протонов входят главным образом два верхних и один нижний кварк, тогда как нейтроны состоят из двух нижних кварков и одного верхнего. Обычная материя образована из атомов, а в состав атомов входит ядро, сформированное из протонов и нейтронов, вокруг которых на достаточно большом расстоянии вращаются электроны. Таким образом, наряду с электронами верхние и нижние кварки – самые распространенные частицы в обычной материи. Кстати, их название не имеет специального значения. Американский физик Марри Гелл-Манн [48] позаимствовал слово «кварк» из романа ирландского писателя Джеймса Джойса Finnegan’s Wake («Поминки по Финнегану»). Для того чтобы объяснить известные на то время частицы, Гелл-Манну необходимо было три кварка, а небольшой отрывок из романа Джойса казался для этого весьма подходящим:

Вход
Поиск по сайту
Ищем:
Календарь