Онлайн книга «Журнал "Наука. Величайшие теории" №2. Самая притягательная сила природы. Ньютон. Закон всемирного тяготения»
|
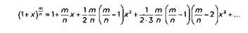
Ньютон приехал в Кембридж в начале лета 1661 года, и там началось его научное образование. В то время программа обучения в университете веками не менялась и опиралась на аристотелеву модель. Так что Кембридж нельзя было назвать площадкой научного новаторства, однако там были очень хорошие библиотеки. Таким образом, своим образованием Ньютон обязан не столько лекциям, сколько научным книгам и трактатам. Он довольно рано серьезно проштудировал «Геометрию» Декарта, впервые опубликованную в 1637 году как приложение к «Рассуждению о методе». Юноша начал с изучения первых десяти страниц. Он останавливался каждый раз, когда у него скапливалось определенное количество вопросов, и снова возвращался к началу. Этот цикл повторялся, пока Ньютон не приходил к полному пониманию изложенного, затем он двигался дальше, а когда после нескольких новых страниц у него вновь накапливалось непонимание, опять возвращался в начало. В конце концов, попытка за попыткой, Ньютон изучил это сложнейшее произведение французского философа. Позже, во время создания анализа бесконечно малых, эти знания сослужили Ньютону отличную службу. После трех лет, проведенных в Кембридже, Исаак вернулся в Вулсторп: университет был вынужден закрыться в связи с эпидемией чумы. Ньютон пробыл дома почти 20 месяцев в 1665 и 1666 годах. Это время стало исключительно плодотворным и даже получило определение anni mirabiles (год чудес) Ньютона: анализ бесконечно малых, механика, гравитация, теория цвета, разработка бинома, который теперь носит его имя, – и это далеко не все идеи, обдуманные в этот удивительный период. БИНОМ НЬЮТОНА В своем самом распространенном значении термин «бином» означает любое выражение, состоящее из двух слагаемых. Ньютон создал простую формулу в виде ряда, позволяющую рассчитать результат возведения любого бинома в степень. Согласно ей: ![]() Например, возьмем m = 1 и n = 2. Формула позволяет извлечь квадратный корень из числа, основанный на бесконечном ряде: ![]() С помощью приведенной выше формулы Ньютон смог разложить на слагаемые большую часть элементарных функций: обратных тригонометрических (арксинус, арккосинус и арктангенс) и тригонометрических (синус, косинус и тангенс); аналогичным образом он рассчитал логарифмические и экспоненциальные функции. Формула для расчета бинома, открытая, по словам самого Ньютона, в 1665 году, стала ключевым моментом в создании и последующем развитии анализа бесконечно малых. АНАЛИЗ БЕСКОНЕЧНО МАЛЫХ Из всех математических открытий Ньютона самым значительным и повлекшим огромное количество научных достижений стал, без сомнения, анализ бесконечно малых, хотя очень важны и другие его математические работы, например сделанные в сфере аналитической геометрии или вычислительной математики. Достижения Ньютона и Лейбница были уточнены и дополнены последующими математиками, такими как Огюстен Луи Коши (1789-1857) или Карл Вейерштрасс (1815-1897), и легли в основу дифференциального и интегрального анализа – области математики, которая изучает количественное изменение так же, как геометрия изучает формы, и используется при решении огромного количества технических и физических задач. Анализ бесконечно малых является самым мощным и эффективным инструментом, когда-либо созданным математиками, он состоит из двух разделов: дифференциального (его основное понятие – производная) и интегрального исчисления. ПРОИЗВОДНАЯ Производная – это фундаментальное понятие не только дифференциального исчисления или математики, но и всей науки в целом. Этот термин объединяет скорость или силу в физике, тангенс в геометрии… В общих словах производная – это мера того, как изменяются значения функции в зависимости от значений, которые принимают ее переменные. Например, если у нас есть функция, описывающая положение объекта в каждое мгновение времени, то производная этой функции будет описывать, как меняется положение объекта в разные моменты времени (учитывая скорость объекта). Рассмотрим две функции: с одной стороны – функция s, которая в каждый отрезок времени t определяет расстояние s(t), проходимое телом; с другой – функция v, которая в каждое мгновение времени t определяет скорость v(t), с которой тело движется. Рассмотрим следующее выражение: s(t) = sqrt(t) и v(t) = t² . Обе функции принимают значение 1 при t = 1: s(1) = 1 и v(1) = 1. Однако таблица значений показывает, что вблизи значения t = 1 функции изменяются по-разному.
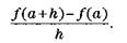
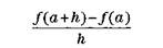
Видно, что функция v меняется сильнее, чем функция s. Чтобы определить это изменение – то есть определить производную, – возьмем некоторое число а и число а + h и сравним, как изменяются разности ƒ(a + h) – ƒ(a), с одной стороны, и a + h – а = h, с другой стороны. Затем определим частное: ![]() Используя формулы функций s(t) = sqrt(t) и v(t) = t² , определим значение частного при а = 1 и различных значениях h.
Результат для функции v близок к 2, в то время как для функции s – около 0,5, и это подтверждает данные первой таблицы, где мы заметили, что функция v менялась сильнее, чем функция s. Теперь нас интересует значение частного ![]() при h = 0, то есть когда а + h совпадает с a. Это значение мы назовем производной ƒ в точке а и, вслед за математиком Жозефом Луи Лагранжем (1736-1813), обозначим его ƒ'(a). Как можно убедиться, результат вычислений будет равен 0/0, то есть не имеет смысла. |
![Иллюстрация к книге — Журнал "Наука. Величайшие теории" №2. Самая притягательная сила природы. Ньютон. Закон всемирного тяготения [pic_28.jpg] Иллюстрация к книге — Журнал "Наука. Величайшие теории" №2. Самая притягательная сила природы. Ньютон. Закон всемирного тяготения [pic_28.jpg]](img/book_covers/073/73029/pic_28.jpg)
![Иллюстрация к книге — Журнал "Наука. Величайшие теории" №2. Самая притягательная сила природы. Ньютон. Закон всемирного тяготения [pic_29.jpg] Иллюстрация к книге — Журнал "Наука. Величайшие теории" №2. Самая притягательная сила природы. Ньютон. Закон всемирного тяготения [pic_29.jpg]](img/book_covers/073/73029/pic_29.jpg)
![Иллюстрация к книге — Журнал "Наука. Величайшие теории" №2. Самая притягательная сила природы. Ньютон. Закон всемирного тяготения [pic_30.jpg] Иллюстрация к книге — Журнал "Наука. Величайшие теории" №2. Самая притягательная сила природы. Ньютон. Закон всемирного тяготения [pic_30.jpg]](img/book_covers/073/73029/pic_30.jpg)
![Иллюстрация к книге — Журнал "Наука. Величайшие теории" №2. Самая притягательная сила природы. Ньютон. Закон всемирного тяготения [pic_31.jpg] Иллюстрация к книге — Журнал "Наука. Величайшие теории" №2. Самая притягательная сила природы. Ньютон. Закон всемирного тяготения [pic_31.jpg]](img/book_covers/073/73029/pic_31.jpg)