Онлайн книга «Магия математики. Как найти x и зачем это нужно»
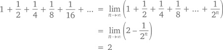
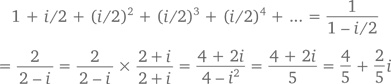
![]() что и требовалось доказать.◻ А что, если мы немного схитрим, прибегнем к алгебре «со сдвигом»? Доказательство 2: Предположим, что S = 1 + x + x2 + x3 +… + xn Умножим обе стороны на x: xS = x + x2 + x3 +… + xn + xn + 1 Вычтем xS и, проведя ряд упрощений, получим S − xS = 1 − xn + 1 Другими словами, S(1 − x) = 1 − xn + 1, то есть ![]() что и требовалось доказать. Обратите внимание, что при x = 1/2 конечный геометрический ряд подтверждает выведенную нами ранее закономерность: ![]() Чем больше n, тем ближе (1/2)n будет к 0. Следовательно, при n → ∞, у нас получится ![]() Отступление На этот счет, кстати, есть одна шутка, понять которую сможет только математик. Бесконечное количество математиков заходит в бар. Первый заказывает полный бокал пива, второй – половину бокала, третий – четверть, четвертый – одну восьмую… Наконец, бармен не выдерживает и, воскликнув «Нет, ну есть же этому какой-то предел!», наливает им на всех две полные кружки. Обобщая, можно сказать, что любое число в интервале от –1 до 1, возводимое во все бо́льшую и бо́льшую степень, все ближе и ближе подходит к нулю. В результате мы имеем крайне важный и полезный (бесконечный) геометрический ряд. Теорема (геометрический ряд): При –1 < x < 1 ![]() Чтобы решить нашу последнюю задачу, примем x = 1/2: ![]() Выглядит знакомо, не правда ли? Это потому что мы уже встречались с подобным рядом – в самом конце главы 11, когда с помощью исчисления старались показать, что функция y = 1/(1 – x) соответствует ряду Тейлора 1 + x + x2 + x3 + x4 +…. А что еще мы можем «выжать» из этого ряда? Как насчет следующей суммы? ![]() Если вынести за скобки дробь 1/4, убрав ее из каждого члена, получится ![]() то есть при x = 1/4 мы можем упростить ряд до ![]() Доказать это можно практически без слов – просто посмотрите на рисунок ниже и обратите внимание, что закрашенные квадраты занимают ровно треть общей площади большого квадрата. Геометрический ряд можно использовать также для доказательства нашей задачи с 0,99999…, ведь бесконечное количество знаков после запятой есть не что иное, как замаскированный бесконечный ряд. Просто примем x = 1/10 и получим ![]() ![]() Формула геометрического ряда верна и тогда, когда х – комплексное число, при условии, что длина x – меньше 1. Например, мнимое число i/2 имеет длину 1/2, из чего следует, что ![]() что показано на следующем графике, расположенном на комплексной плоскости. ![]() И хотя формула конечного геометрического ряда верна для любого значения x ≠ 1, (бесконечный) геометрический ряд требует, чтобы |x| был меньше 1. Например, при x = 2 конечный геометрический ряд покажет нам (как мы уже выяснили в шестой главе), что ![]() а бесконечный – что ![]() что выглядит нелепо (хотя это впечатление может быть и обманчивым: в предпоследнем разделе этой главы мы увидим вполне правдоподобное объяснение такого результата). Отступление Число положительных целых величин бесконечно: 1, 2, 3, 4, 5… Равно как бесконечно и количество положительных четных целых величин: |
![Иллюстрация к книге — Магия математики. Как найти x и зачем это нужно [i_520.jpg] Иллюстрация к книге — Магия математики. Как найти x и зачем это нужно [i_520.jpg]](img/book_covers/072/72991/i_520.jpg)
![Иллюстрация к книге — Магия математики. Как найти x и зачем это нужно [i_521.jpg] Иллюстрация к книге — Магия математики. Как найти x и зачем это нужно [i_521.jpg]](img/book_covers/072/72991/i_521.jpg)
![Иллюстрация к книге — Магия математики. Как найти x и зачем это нужно [i_522.jpg] Иллюстрация к книге — Магия математики. Как найти x и зачем это нужно [i_522.jpg]](img/book_covers/072/72991/i_522.jpg)
![Иллюстрация к книге — Магия математики. Как найти x и зачем это нужно [i_523.jpg] Иллюстрация к книге — Магия математики. Как найти x и зачем это нужно [i_523.jpg]](img/book_covers/072/72991/i_523.jpg)
![Иллюстрация к книге — Магия математики. Как найти x и зачем это нужно [i_524.jpg] Иллюстрация к книге — Магия математики. Как найти x и зачем это нужно [i_524.jpg]](img/book_covers/072/72991/i_524.jpg)
![Иллюстрация к книге — Магия математики. Как найти x и зачем это нужно [i_525.jpg] Иллюстрация к книге — Магия математики. Как найти x и зачем это нужно [i_525.jpg]](img/book_covers/072/72991/i_525.jpg)
![Иллюстрация к книге — Магия математики. Как найти x и зачем это нужно [i_526.jpg] Иллюстрация к книге — Магия математики. Как найти x и зачем это нужно [i_526.jpg]](img/book_covers/072/72991/i_526.jpg)
![Иллюстрация к книге — Магия математики. Как найти x и зачем это нужно [i_527.jpg] Иллюстрация к книге — Магия математики. Как найти x и зачем это нужно [i_527.jpg]](img/book_covers/072/72991/i_527.jpg)
![Иллюстрация к книге — Магия математики. Как найти x и зачем это нужно [i_528.jpg] Иллюстрация к книге — Магия математики. Как найти x и зачем это нужно [i_528.jpg]](img/book_covers/072/72991/i_528.jpg)
![Иллюстрация к книге — Магия математики. Как найти x и зачем это нужно [i_529.jpg] Иллюстрация к книге — Магия математики. Как найти x и зачем это нужно [i_529.jpg]](img/book_covers/072/72991/i_529.jpg)
![Иллюстрация к книге — Магия математики. Как найти x и зачем это нужно [i_530.jpg] Иллюстрация к книге — Магия математики. Как найти x и зачем это нужно [i_530.jpg]](img/book_covers/072/72991/i_530.jpg)
![Иллюстрация к книге — Магия математики. Как найти x и зачем это нужно [i_531.jpg] Иллюстрация к книге — Магия математики. Как найти x и зачем это нужно [i_531.jpg]](img/book_covers/072/72991/i_531.jpg)
![Иллюстрация к книге — Магия математики. Как найти x и зачем это нужно [i_532.jpg] Иллюстрация к книге — Магия математики. Как найти x и зачем это нужно [i_532.jpg]](img/book_covers/072/72991/i_532.jpg)
![Иллюстрация к книге — Магия математики. Как найти x и зачем это нужно [i_533.jpg] Иллюстрация к книге — Магия математики. Как найти x и зачем это нужно [i_533.jpg]](img/book_covers/072/72991/i_533.jpg)
![Иллюстрация к книге — Магия математики. Как найти x и зачем это нужно [i_534.jpg] Иллюстрация к книге — Магия математики. Как найти x и зачем это нужно [i_534.jpg]](img/book_covers/072/72991/i_534.jpg)