Онлайн книга «Магия математики. Как найти x и зачем это нужно»
|
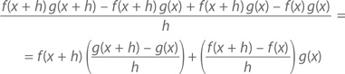
Отступление Почему f(x) = ex соответствует f'(x) = ex? Смотрите, в чем секрет. Сначала обратите внимание на то, что ![]() Вспомним, что е, по сути, есть ![]() что означает, что с увеличением n значение члена (1 + 1/n)n будет все ближе и ближе подходить к e. Теперь предположим, что h = 1/n. При очень большом значении n h = 1/n находится очень близко к 0. Следовательно, при h, близком к 0, e ≈ (1 + h)1/h Возведя обе части в степень h (и помня, что (ab)c = abc), получаем ![]() А есть ли еще такие функции, которые равны своим производным? Есть. Но все они сводятся к y = cex, где c заменяется любым действительным числом (в том числе и 0, который превращает функцию в постоянную y = 0). Не так давно мы выяснили, что при сложении функций производная суммы равна сумме производных. А что насчет умножения? Увы, но производная произведения не равна произведению производных. Тем не менее посчитать ее не очень сложно – для этого достаточно воспользоваться несложной теоремой. Теорема (правило дифференцирования произведения функций): Если y = f(x)g(x), то y' = f(x)g'(x) + f'(x)g(x) Например, согласно правилу дифференцирования произведения, чтобы продифференцировать y = x3ex, нам нужно взять f(x) = x³ и g(x) = ex. В результате у нас получится y' = f(x)g'(x) + f'(x)g(x) = x3ex + 3x2ex Обратите внимание, что при f(x) = x3 и g(x) = x5 их произведение, согласно тому же правилу, составит x3x5 = x8. Производная же будет выглядеть как y' = x3(5x4) + 3x2(x5) = 5x7 + 3x7 = 8x7 что полностью соответствует правилу дифференцирования степенной функции. Отступление Доказательство (правило дифференцирования произведения функций): Предположим, что u(x) = f(x)g(x). Тогда ![]() А дальше творим истинно математическое волшебство – добавляем к числителю 0, но не привычным способом, а с помощью прибавления и вычитания f(x + h)g(x): ![]() Так как h → 0, в результате имеем f(x)g'(x) + f'(x)g(x), что и требовалось доказать.◻ Но доказанное правило полезно не только в этом конкретном случае – с его помощью можно найти производные других функций. Мы уже доказали, что правило дифференцирования степенной функции верно при положительных значениях показателя степени. Давайте посмотрим, как оно поведет себя при дробных и отрицательных значениях. Например, согласно правилу дифференцирования степенной функции ![]() Сможем ли мы доказать его с помощью правила дифференцирования произведения? Предположим u(x) = √x. Тогда u(x) u(x) = √x √x = x Продифференцировав обе стороны и применив правило дифференцирования произведения, получаем u(x) u'(x) + u'(x) u(x) = 1 Следовательно,
Отступление Правило дифференцирования произведения при отрицательных значениях степени гласит, что y = x−n будет иметь производную
u(x)xn = x–nxn = x0 = 1 Продифференцировав обе стороны и применив правило дифференцирования произведения, получаем u(x)(nxn−1) + u'(x)xn = 0 |
![Иллюстрация к книге — Магия математики. Как найти x и зачем это нужно [i_466.jpg] Иллюстрация к книге — Магия математики. Как найти x и зачем это нужно [i_466.jpg]](img/book_covers/072/72991/i_466.jpg)
![Иллюстрация к книге — Магия математики. Как найти x и зачем это нужно [i_467.jpg] Иллюстрация к книге — Магия математики. Как найти x и зачем это нужно [i_467.jpg]](img/book_covers/072/72991/i_467.jpg)
![Иллюстрация к книге — Магия математики. Как найти x и зачем это нужно [i_468.jpg] Иллюстрация к книге — Магия математики. Как найти x и зачем это нужно [i_468.jpg]](img/book_covers/072/72991/i_468.jpg)
![Иллюстрация к книге — Магия математики. Как найти x и зачем это нужно [i_469.jpg] Иллюстрация к книге — Магия математики. Как найти x и зачем это нужно [i_469.jpg]](img/book_covers/072/72991/i_469.jpg)
![Иллюстрация к книге — Магия математики. Как найти x и зачем это нужно [i_470.jpg] Иллюстрация к книге — Магия математики. Как найти x и зачем это нужно [i_470.jpg]](img/book_covers/072/72991/i_470.jpg)
![Иллюстрация к книге — Магия математики. Как найти x и зачем это нужно [i_471.jpg] Иллюстрация к книге — Магия математики. Как найти x и зачем это нужно [i_471.jpg]](img/book_covers/072/72991/i_471.jpg)
![Иллюстрация к книге — Магия математики. Как найти x и зачем это нужно [i_472.jpg] Иллюстрация к книге — Магия математики. Как найти x и зачем это нужно [i_472.jpg]](img/book_covers/072/72991/i_472.jpg)
![Иллюстрация к книге — Магия математики. Как найти x и зачем это нужно [i_473.jpg] Иллюстрация к книге — Магия математики. Как найти x и зачем это нужно [i_473.jpg]](img/book_covers/072/72991/i_473.jpg)