Онлайн книга «Магия математики. Как найти x и зачем это нужно»
|
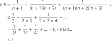
Если в этом уравнении мы подставим x = –1, у нас получится ![]() То есть в классе, состоящем из n учеников, вероятность того, что никто из них не получит свою тетрадь, составляет ровно ![]() Например, если n = 4, pn = 1 – 1 + 1/2 – 1/6 + 1/24 = 9/24 – ответ, к которому мы уже приходили выше. Приближение к 1/e здесь невероятно стремительно. Промежуток между pn и 1/e меньше, чем 1/(n + 1)!. Следовательно, значение p4 находится в диапазоне от 1/5! = 0,0083 до 1/e, значение p10 совпадает с 1/e вплоть до 7 знаков после запятой, а значение p100 – вплоть до 150 знаков! Отступление Теорема: Число e является иррациональным. Доказательство: Предположим обратное – что число e является рациональным. Тогда при положительных целых значениях m и n будет верно то, что e = m/n. С помощью n разобьем бесконечную последовательность для e на две части – так, чтобы e было равно L + R, то есть ![]() ![]() Обратите внимание, что n!e = en(n–1)! = m(n–1)! должно быть целой величиной (потому что и m, и (n – 1)! суть целые величины), равно как и n!L (потому что n!/k! есть целая величина при любом k ≤ n). Следовательно, n!R = n!e – n!L представляет собой разность двух целых чисел, а значит, и само является целым числом, что невозможно: поскольку условие, что n ≥ 1, означает, что ![]() Не существует целых величин меньше 1, поэтому мы не можем считать n!R целым числом. Значит, наше предположение, что e = m/n, ведет к противоречию, из чего следует, что число e – иррациональное.◻ Уравнение Эйлера
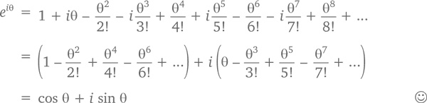
Число e было открыто и введено в оборот великим математиком Леонардом Эйлером. И именно Эйлер впервые обозначил его буквой e. Но, как полагает большинство специалистов по истории математики, вовсе не потому, что это была первая буква его фамилии [34]. Тем не менее e до сих пор достаточно часто называют «числом Эйлера». Нам уже встречались бесконечные последовательности для функций ex, cos x и sin x. Откуда они берутся, мы узнаем в следующей главе. Сейчас же просто соберем их в одном месте: ![]() Считалось, что эти формулы работают при любых действительных значениях x. Эйлеру же хватило дерзости предположить, что они будут истинны и при мнимых значениях х. Задавшись вопросом, что произойдет, если возвести число в степень мнимого числа, он сформулировал свою известную теорему. Теорема Эйлера: Для любого значения угла θ (выраженного в радианах) eiθ = cos θ + i sin θ Доказательство: Посмотрим, что будет происходить с последовательностью для ex при x = iθ: ![]() Обратите внимание на поведение i при возведении его в последовательные степени: i0 = 1, i1 = i, i2 = –1, i3 = –i (последнее потому, что i3 = i2i = –i). Затем закономерность повторяется: i4 = 1, i5 = i, i6 = –1, i7 = –i, i8 = 1 и т. д. Еще более пристальное внимание следует обратить на то, что среди полученных результатов последовательно чередуются действительные и мнимые величины, что дает нам возможность выносить число i за скобки при каждом втором шаге: ![]() Это приводит нас к доказательству «уравнения Бога», с которого мы начинали эту главу. Приняв θ = π рад (или 180°), мы получим eiπ = cos π + i sin π = –1 + i(0) = –1 Но это далеко не все, о чем говорит нам теорема Эйлера. Мы уже встречались с cos θ + i sin θ – это есть точка на единичной окружности, лежащей на комплексной плоскости. Вместе с «положительной» половиной оси x она образует угол θ. Так вот, с помощью теоремы Эйлера эту точку можно представить очень простым способом – таким, какой показан на графике ![]() Но и это еще не все! Любая точка комплексной плоскости имеет на окружности свое соответствие. А именно комплексная величина z с модулем R и углом θ представляет собой некую в R раз увеличенную точку, лежащую на окружности. Другими словами, z = Reiθ Следовательно, если у нас на комплексной плоскости есть две точки z1 = R1eiθ1 и z2 = R2eiθ2, то, согласно правилам действий со степенями (в версии, касающейся комплексных величин) |
![Иллюстрация к книге — Магия математики. Как найти x и зачем это нужно [i_434.jpg] Иллюстрация к книге — Магия математики. Как найти x и зачем это нужно [i_434.jpg]](img/book_covers/072/72991/i_434.jpg)
![Иллюстрация к книге — Магия математики. Как найти x и зачем это нужно [i_435.jpg] Иллюстрация к книге — Магия математики. Как найти x и зачем это нужно [i_435.jpg]](img/book_covers/072/72991/i_435.jpg)
![Иллюстрация к книге — Магия математики. Как найти x и зачем это нужно [i_436.jpg] Иллюстрация к книге — Магия математики. Как найти x и зачем это нужно [i_436.jpg]](img/book_covers/072/72991/i_436.jpg)
![Иллюстрация к книге — Магия математики. Как найти x и зачем это нужно [i_437.jpg] Иллюстрация к книге — Магия математики. Как найти x и зачем это нужно [i_437.jpg]](img/book_covers/072/72991/i_437.jpg)
![Иллюстрация к книге — Магия математики. Как найти x и зачем это нужно [i_438.jpg] Иллюстрация к книге — Магия математики. Как найти x и зачем это нужно [i_438.jpg]](img/book_covers/072/72991/i_438.jpg)
![Иллюстрация к книге — Магия математики. Как найти x и зачем это нужно [i_439.jpg] Иллюстрация к книге — Магия математики. Как найти x и зачем это нужно [i_439.jpg]](img/book_covers/072/72991/i_439.jpg)
![Иллюстрация к книге — Магия математики. Как найти x и зачем это нужно [i_440.jpg] Иллюстрация к книге — Магия математики. Как найти x и зачем это нужно [i_440.jpg]](img/book_covers/072/72991/i_440.jpg)
![Иллюстрация к книге — Магия математики. Как найти x и зачем это нужно [i_441.jpg] Иллюстрация к книге — Магия математики. Как найти x и зачем это нужно [i_441.jpg]](img/book_covers/072/72991/i_441.jpg)
![Иллюстрация к книге — Магия математики. Как найти x и зачем это нужно [i_442.jpg] Иллюстрация к книге — Магия математики. Как найти x и зачем это нужно [i_442.jpg]](img/book_covers/072/72991/i_442.jpg)