Книга Магия математики. Как найти x и зачем это нужно, страница 52 – Артур Бенджамин

Авторы: А Б В Г Д Е Ж З И Й К Л М Н О П Р С Т У Ф Х Ч Ш Ы Э Ю Я
Книги: А Б В Г Д Е Ж З И Й К Л М Н О П Р С Т У Ф Х Ц Ч Ш Щ Ы Э Ю Я
Бесплатная онлайн библиотека LoveRead.ec

Онлайн книга «Магия математики. Как найти x и зачем это нужно»

📃 Cтраница 52

AC/AB = AD/AC AC² = AD × AB

Точно так же для первого и третьего треугольников –

CB/BA = DB/BC BC² = DB × AB

Сложим эти два уравнения и получим

AC² + BC² = AB × (AD + DB)

А так как AD + DB = AB = c, мы приходим к

b² + a² = c²

что и требовалось доказать.☺

Следующее доказательство будет чисто геометрическим – никакой алгебры, зато очень много непростой визуализации.

Доказательство 5: В этот раз возьмем два квадрата с площадями a² и b². Расположим их вплотную друг к другу – как показано на рисунке слева, и их общая площадь тогда составит a² + b². «Разрежем» получившуюся фигуру на два прямоугольных треугольника (длины катетов составят a и b, длина гипотенузы – c) и один странной формы геометрический объект. Обратите внимание, что угол в нижней части этого «странного объекта» должен быть равен 90°, потому что его окружают ∠A и ∠B. Представьте себе, что в левом верхнем углу большого квадрата и правом верхнем углу маленького квадрата расположено нечто вроде опорных стержней, вокруг которых потенциально может происходить «вращение» (подобно тому, как комнатная дверь «вращается» вокруг дверной петли, закрепленной на косяке).

Иллюстрация к книге — Магия математики. Как найти x и зачем это нужно [i_315.jpg]

А теперь мысленно поверните нижнюю часть левого треугольника на 90° против часовой стрелки – так, чтобы «вывести» его за верхнюю границу большого квадрата. Поверните на 90° и второй треугольник, только теперь по часовой стрелке – так, чтобы прямые углы «легли» один на другой в точке сочленения двух квадратов, как показано на рисунке:

Иллюстрация к книге — Магия математики. Как найти x и зачем это нужно [i_316.jpg]

В результате получится квадрат, площадь которого будет равна c². Следовательно, a² + b² = c², что и требовалось доказать.☺

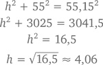
Теорема Пифагора нужна нам для того, чтобы объяснить ответ на четвертый вопрос нашей викторины – вопрос о футбольном поле и двух его воротах, расположенных в 110 метрах друг от друга, с натянутой между ними веревкой длиной 110 метров 30 сантиметров.

Иллюстрация к книге — Магия математики. Как найти x и зачем это нужно [i_317.jpg]

Расстояние от ворот до центра поля составляет 55 метров. Поднятая в этом месте вверх – до точки h – веревка дает нам прямоугольный треугольник с длиной одного катета 55 и длиной гипотенузы 55,15. Берем теорему Пифагора, добавляем немного алгебры по вкусу, перемешиваем… и получаем

Иллюстрация к книге — Магия математики. Как найти x и зачем это нужно [i_318.jpg]

Достаточно высоко даже для самого большого грузовика, правда?

Магия геометрии

Давайте закончим эту главу тем же, чем начали ее – небольшим геометрическим фокусом. Большинство доказательств теоремы Пифагора основываются на перестановке частей одной геометрической фигуры с целью получения другой с той же площадью. Но смотрите, какой обнаруживается парадокс. Возьмем квадрат 8 на 8. Его, пожалуй, вполне можно разделить на четыре части, как на рисунке чуть ниже – длина одной стороны каждой части должна равняться 3, 5 или 8 (да-да, одному из чисел Фибоначчи!). Перегруппируем эти части так, чтобы получился прямоугольник 5 на 13. (Обязательно попробуйте сделать это сами!) Но ведь площадь начальной фигуры равна 8 × 8 = 64, а конечной – 5 × 13 = 65! Но как это возможно?

Иллюстрация к книге — Магия математики. Как найти x и зачем это нужно [i_319.jpg]

Разгадка этого парадокса заключается в том, что прямая линия, являющаяся «диагональю» прямоугольника 5 на 13, на самом деле не такая уж и прямая. Смотрите сами: треугольник, обозначенный буквой С, имеет гипотенузу с наклоном 3/8 = 0,375 (потому что значение ее y-координаты увеличивается на 3, а значение x-координаты – на 8) притом, что верхняя грань фигуры (трапеции), обозначенной буквой D, имеет наклон 2/5 = 0,4 (потому что значение ее y-координаты увеличивается на 2, а значение x-координаты – на 5). То же происходит и с нижними гранями трапеции и треугольника, находящихся в верхней части. Отрезки с разным наклоном никогда и ни за что не образуют прямую линию, а значит, если мы присмотримся к нашему прямоугольнику, то увидим небольшой зазор между двумя почти «прямыми» почти «диагоналями» (см. рисунок). И получается, что, будучи растянутой по всей площади, эта щель дает нам лишнюю единицу общей площади.

Иллюстрация к книге — Магия математики. Как найти x и зачем это нужно [i_320.jpg]

В этой главе мы узнали много интересного о треугольниках, квадратах, прямоугольниках и других полигонах, образованных с помощью разного количества прямых линий. Геометрия окружностей и других фигур изогнутой формы более сложна. Здесь нам не обойтись без тригонометрии и ее специфических методов счисления. И, конечно же, без основы основ – удивительного числа π.

Глава номер восемь
Магия числа π
Иллюстрация к книге — Магия математики. Как найти x и зачем это нужно [i_321.jpg]
Вокруг да около окружности

Прошлую главу мы начали с проверки своей геометрической интуиции: речь шла сначала о прямоугольниках, затем – о треугольниках и наконец – о натянутой между двух футбольных ворот веревке. Пора поговорить и об окружностях, и тут уж мы мелочиться не будем – начнем с того, что обмотаем веревкой Землю!

Вопрос 1. Представьте себе веревку, достаточно длинную, чтобы обернуть ее вокруг Земли по экватору (это примерно 40 075 км). Но перед тем как завязать узелок, добавим к ней еще три метра. Так вот, если неким волшебным образом нам удастся поднять веревку над землей и водой по всей ее длине на одну и ту же высоту, какой будет эта высота?

Вход
Поиск по сайту
Ищем:
Календарь