Онлайн книга «Магия математики. Как найти x и зачем это нужно»
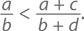
![]() Начиная, например, с дробей 1/3 и 1/2, для которых медианта будет 2/5, она расположена в интервале 1/3 < 2/5 < 1/2. Отступление Почему медианта всегда будет располагаться примерно между изначальными числами? Если мы начинаем с дробей
Обратите внимание, что при x, y > 0 ![]() Следовательно, медианта этих двух дробей должна находиться между ними. Другими словами, ![]() Вот почему частное чисел из 10 и 9 рядов должно начинаться с 1,61, как мы уже до этого и посчитали. Отступление Прежде чем открыть секрет числа 1,61, можете поразить свою аудиторию, постоянно добавляя числа к своей таблице. Так, в нашем примере, где мы начали с 3 и 7, достаточно беглого взгляда, чтобы узнать результат – 781. Как? С помощью алгебры. Если сложить значения из 2 таблицы, мы получим сумму, равную 55x + 88y. И что? А то, что вместо этого можно написать 11(5x + 8y) = 11 × ряд 7. Поэтому, взяв число из 7 ряда (в нашем примере это 71) и умножив его на 11 (здесь можно использовать фокус с умножением на 11 из главы 1), получим 781. В чем важность числа 1,61? Если не останавливаться на 10 ряду и продолжать расширять таблицу, вы легко обнаружите, что частное двух соседних чисел будет от ряда к ряду все больше приближаться к значению, которое называют «золотым сечением» – ![]() Кроме g, для обозначения этого числа математики часто используют греческую букву φ, которая произносится как «фи» (да-да, «Фи-боначчи»). Отступление Алгебра покажет нам, на самом ли деле частное двух соседних чисел последовательности Фибоначчи приближается к g. Предположим, что частное Fn+1/Fn приближается к значению r при увеличении n. Но ведь о числах Фибоначчи мы знаем, что Fn+1 = Fn + Fn–1, поэтому ![]() При увеличении значения n левая сторона приближается к r, а правая – к
![]() Умножив обе стороны этого уравнения на r, получим r² = r + 1 Другими словами, r² – r – 1 = 0, а согласно формуле корней квадратного уравнения здесь имеется только один положительный ответ:
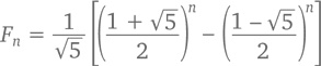
Существует еще одна будоражащая воображение формула для n-ного числа последовательности Фибоначчи, которая использует золотое сечение. Это формула Бине, которая говорит, что ![]() Глядя на нее, я не перестаю удивляться: как такое возможно, что вся эта формула, построенная вокруг √5, приводит к целым величинам?! Мы можем ее немного упростить, потому что значение ![]() находится между –1 и 0, и чем больше мы увеличиваем степень, тем больше оно приближается к 0. По большому счету, можно утверждать, что для любого n ≥ 0, Fn вычисляется через gn/√5 с последующим округлением до ближайшего целого. Можете взять калькулятор и проверить. Если взять g = 1,618, то, возведя 1,618 в десятую степень, получим 122,966… (что подозрительно близко к 123). А разделив этот результат на √5 ≈ 2,236, придем к 54,992. Округление даст F10 = 55 – известный нам результат. Из g20 получается 15 126,99993, которое после деления на √5 превращается в 6765,00003, то есть F20 = 6765. А калькулятор легко проведет нас от g100/√5 к F100 ≈ 3,54 × 1020. Все эти вычисления показывают, что g10 и g20 настолько близки к целым числам, что практически ими являются. Что именно здесь происходит? Посмотрите на последовательность Люка́ 1, 3, 4, 7, 11, 18, 29, 47, 76, 123, 199, 322, 521… названную в честь французского математика Эдуарда Люка (1842–1891) – первооткрывателя многих удивительных свойств этих чисел, а заодно и чисел Фибоначчи, включая формулу с наибольшим общим делителем, о которой мы не так давно говорили. Кстати, именно Люка впервые назвал набор чисел 1, 1, 2, 3, 5, 8… последовательностью Фибоначчи. Последовательность же Люка соответствует его собственной (несколько упрощенной) версии формулы Бине – |
![Иллюстрация к книге — Магия математики. Как найти x и зачем это нужно [i_216.jpg] Иллюстрация к книге — Магия математики. Как найти x и зачем это нужно [i_216.jpg]](img/book_covers/072/72991/i_216.jpg)
![Иллюстрация к книге — Магия математики. Как найти x и зачем это нужно [i_217.jpg] Иллюстрация к книге — Магия математики. Как найти x и зачем это нужно [i_217.jpg]](img/book_covers/072/72991/i_217.jpg)
![Иллюстрация к книге — Магия математики. Как найти x и зачем это нужно [i_218.jpg] Иллюстрация к книге — Магия математики. Как найти x и зачем это нужно [i_218.jpg]](img/book_covers/072/72991/i_218.jpg)
![Иллюстрация к книге — Магия математики. Как найти x и зачем это нужно [i_219.jpg] Иллюстрация к книге — Магия математики. Как найти x и зачем это нужно [i_219.jpg]](img/book_covers/072/72991/i_219.jpg)
![Иллюстрация к книге — Магия математики. Как найти x и зачем это нужно [i_220.jpg] Иллюстрация к книге — Магия математики. Как найти x и зачем это нужно [i_220.jpg]](img/book_covers/072/72991/i_220.jpg)
![Иллюстрация к книге — Магия математики. Как найти x и зачем это нужно [i_221.jpg] Иллюстрация к книге — Магия математики. Как найти x и зачем это нужно [i_221.jpg]](img/book_covers/072/72991/i_221.jpg)
![Иллюстрация к книге — Магия математики. Как найти x и зачем это нужно [i_222.jpg] Иллюстрация к книге — Магия математики. Как найти x и зачем это нужно [i_222.jpg]](img/book_covers/072/72991/i_222.jpg)
![Иллюстрация к книге — Магия математики. Как найти x и зачем это нужно [i_223.jpg] Иллюстрация к книге — Магия математики. Как найти x и зачем это нужно [i_223.jpg]](img/book_covers/072/72991/i_223.jpg)
![Иллюстрация к книге — Магия математики. Как найти x и зачем это нужно [i_224.jpg] Иллюстрация к книге — Магия математики. Как найти x и зачем это нужно [i_224.jpg]](img/book_covers/072/72991/i_224.jpg)
![Иллюстрация к книге — Магия математики. Как найти x и зачем это нужно [i_225.jpg] Иллюстрация к книге — Магия математики. Как найти x и зачем это нужно [i_225.jpg]](img/book_covers/072/72991/i_225.jpg)
![Иллюстрация к книге — Магия математики. Как найти x и зачем это нужно [i_226.jpg] Иллюстрация к книге — Магия математики. Как найти x и зачем это нужно [i_226.jpg]](img/book_covers/072/72991/i_226.jpg)
![Иллюстрация к книге — Магия математики. Как найти x и зачем это нужно [i_227.jpg] Иллюстрация к книге — Магия математики. Как найти x и зачем это нужно [i_227.jpg]](img/book_covers/072/72991/i_227.jpg)
![Иллюстрация к книге — Магия математики. Как найти x и зачем это нужно [i_228.jpg] Иллюстрация к книге — Магия математики. Как найти x и зачем это нужно [i_228.jpg]](img/book_covers/072/72991/i_228.jpg)