Книга Объясняя мир. Истоки современной науки, страница 88 – Стивен Вайнберг

Авторы: А Б В Г Д Е Ж З И Й К Л М Н О П Р С Т У Ф Х Ч Ш Ы Э Ю Я
Книги: А Б В Г Д Е Ж З И Й К Л М Н О П Р С Т У Ф Х Ц Ч Ш Щ Ы Э Ю Я
Бесплатная онлайн библиотека LoveRead.ec

Онлайн книга «Объясняя мир. Истоки современной науки»

📃 Cтраница 88

Сегодня мы знаем число π = 3,14159… такое, что длина окружности радиусом r будет равняться 2πr. Тогда площадь круга равна

Иллюстрация к книге — Объясняя мир. Истоки современной науки [i_032.jpg]
Иллюстрация к книге — Объясняя мир. Истоки современной науки [i_033.jpg]

Рис. 4. Вычисление площади круга. Чтобы рассчитать площадь круга, используется описанный многоугольник. На этом рисунке у многоугольника восемь сторон, и его площадь уже приблизительно равна площади круга. Чем больше будет сторон у многоугольника, тем точнее его площадь будет совпадать с площадью круга.


Те же самые выводы справедливы и если мы будем вписывать многоугольник внутрь круга, а не описывать его снаружи, как на рис. 4. Поскольку окружность всегда находится между вписанным и описанным многоугольником, расчет площадей обоих этих многоугольников позволил Архимеду найти верхние и нижние границы для отношения длины окружности к ее радиусу, то есть для величины 2π.

11. Размеры Солнца и Луны и расстояния до них

Аристарх использовал четыре наблюдательных факта, чтобы определить расстояния от Земли до Солнца и Луны, а также диаметры Солнца и Луны. Все полученные результаты он выразил в единицах диаметра Земли. Рассмотрим каждое из выполненных им наблюдений по очереди и посмотрим, что можно узнать, основываясь на них. Далее расстояния между Землей и Солнцем и Землей и Луной будут обозначаться соответственно и , а диаметры Солнца, Луны и Земли – Dс, Dл и . Предполагая, что диаметры этих тел ничтожно малы по сравнению с расстояниями между ними, примем, что в рассуждениях о расстояниях между Землей, Луной и Солнцем не обязательно брать во внимание расположение на Земле точек, из которых выполняются наблюдения.

Наблюдение 1

Когда Луна в фазе первой или последней четверти, угол между направлениями на Луну и на Солнце составляет 87°.

Если в этот момент смотреть с Луны, угол между направлениями на Солнце и на Землю должен составлять точно 90° (см. рис. 5а), поэтому треугольник, образованный отрезками Луна – Солнце, Луна – Земля и Земля – Солнце, является прямоугольным, в котором отрезок Земля – Солнце есть гипотенуза. Отношение катета, прилежащего к углу θ (тета) в прямоугольном треугольнике, к его гипотенузе – тригонометрическая функция косинус угла θ, которая обозначается cos θ, и ее значение мы можем взять из таблицы или рассчитать на калькуляторе с тригонометрическими функциями. Итак,

Иллюстрация к книге — Объясняя мир. Истоки современной науки [i_034.jpg]

и значит, из наблюдения следует, что Солнце в 19,11 раз дальше от Земли, чем Луна. Не зная тригонометрии, Аристарх мог лишь заключить, что это число не меньше 19 и не больше 20. На самом деле этот угол равен не 87°, а 89,853°, и поэтому Солнце в действительности находится в 389,77 раз дальше от Земли, чем Луна.

Иллюстрация к книге — Объясняя мир. Истоки современной науки [i_035.jpg]

Рис. 5. Четыре наблюдения, которые Аристарх использовал для расчета размеров Солнца и Луны и расстояний от Земли до них: а) треугольник, образуемый Землей, Солнцем и Луной в момент, когда Луна находится в середине фазы первой или последней четверти; б) диск Луны точно закрывает диск Солнца для земного наблюдателя во время полного солнечного затмения; в) Луна заходит в тень Земли во время полного лунного затмения. Сфера, которая на месте Луны точно перекрывала бы конус тени, имеет диаметр, вдвое больший, чем у Луны, а точка P – крайняя точка конуса тени, отбрасываемой Землей; г) видимый угловой размер Луны по Аристарху составляет 2°; истинное его значение близко к 0,5°.


Наблюдение 2

Луна точно покрывает видимый диск Солнца во время полного солнечного затмения.

Это показывает, что у Луны и Солнца примерно один и тот же видимый угловой размер, в том смысле, что угол между направлениями от земного наблюдателя на противоположные края диска Солнца такой же, как между направлениями на противоположные края диска Луны (см. рис. 5б). Отсюда следует, что треугольники, образуемые этими линиями и поперечными диаметрами Луны и Солнца, являются «подобными», то есть углы при вершинах у них попарно равны. Поскольку соотношения размеров сторон в подобных треугольниках одинаковы для всех сторон, то

Иллюстрация к книге — Объясняя мир. Истоки современной науки [i_036.jpg]

Исходя из результатов наблюдения 1, Аристарх получил значение отношения Dс/Dл = 19,11, в то время как настоящее соотношение диаметров двух тел близко к 390.

Наблюдение 3

Тень Земли в месте расположения Луны во время лунного затмения широка настолько, что может точно вместить сферу диаметром в два раза больше Луны.

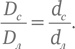
Обозначим P точку, где находится вершина конуса тени, отбрасываемой Землей. У нас получается три подобных треугольника: треугольник, образованный поперечным диаметром Солнца и линиями между его концами и точкой P; треугольник, образованный поперечным диаметром Земли и линиями между его концами и точкой P; и треугольник, образованный двойным поперечным диаметром Луны и линиями между его концами и точкой P (см. рис. 5в). Следовательно, соотношения подобных сторон во всех этих треугольниках взаимно равны. Предположим, что точка P находится на расстоянии d0 позади Луны. Тогда расстояние между этой точкой и Солнцем составляет dс + + dл + d0, а между ней же и Землей – dл + d0, поэтому

Иллюстрация к книге — Объясняя мир. Истоки современной науки [i_037.jpg]

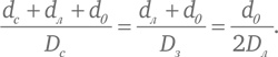
Выполнив несложные алгебраические преобразования, мы можем найти из второго равенства выражение для d0:

Иллюстрация к книге — Объясняя мир. Истоки современной науки [i_038.jpg]

Подставляя его в первое равенство и перемножая обе части на DзDс (Dз – 2Dл), получаем:

Иллюстрация к книге — Объясняя мир. Истоки современной науки [i_039.jpg]
Вход
Поиск по сайту
Ищем:
Календарь